Bài học Toán lớp 5 Bài 28: Cộng hai số thập phân thuộc chương trình SGK Chân trời sáng tạo giúp các em học sinh nắm vững phương pháp cộng hai số thập phân một cách chính xác và hiệu quả. Bài học này cung cấp kiến thức nền tảng quan trọng cho các bài học toán học nâng cao hơn.
Tại giaibaitoan.com, chúng tôi cung cấp lời giải chi tiết, dễ hiểu cho tất cả các bài tập trong Toán lớp 5 Bài 28, giúp các em tự tin giải quyết các bài toán một cách nhanh chóng và chính xác.
Cách đặt tính nào sai? Đặt tính rồi tính. a) 51,4 + 23,7 b) 51,3 + 2,68
Video hướng dẫn giải
Trả lời câu hỏi 1 trang 69 SGK Toán 5 Chân trời sáng tạo
Cách đặt tính nào sai?
a) \(\begin{array}{l} + \begin{array}{*{20}{c}}{1{\rm{ }}7,5}\\{\underline {8,6{\rm{ }}1} }\end{array}\\{\rm{ }}\end{array}\)
b) \(\begin{array}{l} + \begin{array}{*{20}{c}}{17,5}\\{\underline {{\rm{ }}8,61} }\end{array}\\{\rm{ }}\end{array}\)
c) \(\begin{array}{l}{\rm{ + }}\begin{array}{*{20}{c}}{{\rm{ }}4,2}\\{\underline {{\rm{ 79 }}} }\end{array}\\{\rm{ }}\end{array}\)
d) \(\begin{array}{l} + \begin{array}{*{20}{c}}{4,2}\\{\underline {{\rm{ }}7{\rm{ }}9{\rm{ }}} }\end{array}\\{\rm{ }}\end{array}\)
Phương pháp giải:
Muốn cộng hai số thập phân, ta làm như sau:
- Viết số hạng này dưới số hạng kia sao cho các chữ số ở cùng một hàng đặt thẳng cột với nhau.
- Cộng như cộng hai số tự nhiên.
- Viết dấu phẩy ở tổng thẳng cột với các dấu phẩy của các số hạng
Lời giải chi tiết:
Các câu đặt tính sai là: a; d.
Video hướng dẫn giải
Trả lời câu hỏi 1 trang 69 SGK Toán 5 Chân trời sáng tạo
Tính rồi so sánh giá trị của các biểu thức.
a) 67,3 + 0,14 và 0,14 + 67,3
Nhận xét: Phép cộng các số thập phân có tính chất giao hoán.
a + b = b + a
b) (3,8 + 4,7) + 2,3 và 3,8 + (4,7 +2,3)
Nhận xét: Phép cộng các số thập phân có tính chất kết hợp.
(a + b) + c = a + (b + c)
Phương pháp giải:
*Muốn cộng hai số thập phân, ta làm như sau:
- Viết số hạng này dưới số hạng kia sao cho các chữ số ở cùng một hàng đặt thẳng cột với nhau.
- Cộng như cộng các số tự nhiên.
- Viết dấu phẩy ở tổng thẳng cột với các dấu phẩy của các số hạng.
*So sánh giá trị của các biểu thức
Lời giải chi tiết:
a) Ta có: 67,3 + 0,14 = 67,44
0,14 + 67,3 = 67,44
Vậy 67,3 + 0,14 = 0,14 + 67,3
b) Ta có: (3,8 + 4,7) + 2,3 = 8,5 + 2,3 = 10,8
3,8 + (4,7 +2,3) = 3,8 + 7,0 = 10,8
Vậy (3,8 + 4,7) + 2,3 = 3,8 + (4,7 +2,3)
Video hướng dẫn giải
Trả lời câu hỏi 2 trang 69 SGK Toán 5 Chân trời sáng tạo
Tính bằng cách thuận tiện.
a) 52,7 + 21,9 + 34,3
b) 0,4 + 0,8 + 0,2 + 0,6
c) 4,82 + 1,18 + 5,67
d) 3,1 + 4,3 + 6,9 + 5,7
Phương pháp giải:
Áp dụng tính chất: (a + b) + c = a + (b + c)
Lời giải chi tiết:
a) 52,7 + 21,9 + 34,3
= (52,7 + 34,3) + 21,9
= 87 + 21,9
= 108,9
b) 0,4 + 0,8 + 0,2 + 0,6
= (0,4 + 0,6) + (0,8 + 0,2)
= 1 + 1
= 2
c) 4,82 + 1,18 + 5,67
= (4,82 + 1,18) + 5,67
= 6 + 5,67
= 11,67
d) 3,1 + 4, 3 + 6,9 + 5,7
= (3,1 + 6,9) + (4,3 + 5,7)
= 10 + 10
= 20
Video hướng dẫn giải
Trả lời câu hỏi 3 trang 69 SGK Toán 5 Chân trời sáng tạo
Năm 2020, sản lượng xoài của nước ta khoảng 894,8 nghìn tấn. Năm 2021, sản lượng xoài tăng 104,8 nghìn tấn so với năm 2020. Hỏi cả hai năm, sản lượng xoài của nước ta khoảng bao nhiêu nghìn tấn?
Phương pháp giải:
Bước 1: Tìm sản lượng xoài của năm 2021 = sản lượng xoài của năm 2020 + sản lượng xoài tăng
Bước 2: Sản lượng xoài của nước ta ở cả hai năm = sản lượng xoài của năm 2020 + sản lượng xoài của năm 2021
Lời giải chi tiết:
Năm 2021, sản lượng xoài của nước ta là:
894,8 + 104,8 = 999,6 (nghìn tấn)
Cả hai năm, sản lượng xoài của nước ta là:
894,8 + 999,6 = 1894,4 ( nghìn tấn )
Đáp số: 1894,4 nghìn tấn
Video hướng dẫn giải
Trả lời câu hỏi 2 trang 69 SGK Toán 5 Chân trời sáng tạo
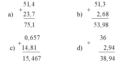
Đặt tính rồi tính.
a) 51,4 + 23,7
b) 51,3 + 2,68
c) 0,657 + 14,81
d) 36 + 2,94
Phương pháp giải:
Muốn cộng hai số thập phân, ta làm như sau:
- Viết số hạng này dưới số hạng kia sao cho các chữ số ở cùng một hàng đặt thẳng cột với nhau.
- Cộng như cộng các số tự nhiên.
- Viết dấu phẩy ở tổng thẳng cột với các dấu phẩy của các số hạng.
Lời giải chi tiết:

Video hướng dẫn giải
Trả lời câu hỏi Vui học trang 69 SGK Toán 5 Chân trời sáng tạo
Trong hình bên, ba trái xoài cát có khối lượng lần lượt là 0,62 kg; 0,7 kg; 0,78 kg. Con gà cân nặng 2 kg. Em hãy giúp các bạn nhỏ trả lời câu hỏi.

Phương pháp giải:
Bước 1: Tìm tổng số cân nặng của ba trái xoài
Bước 2. So sánh cân nặng của trái xoài và con gà
Bước 3. Kết luận
Lời giải chi tiết:
Ba trái xoài nặng số ki-lô-gam là:
0,62 + 0,7 + 0,78 = 2,1 (kg)
Vì 2,1 > 2, nên ba trái xoài nặng hơn con gà.
Video hướng dẫn giải
Trả lời câu hỏi 1 trang 69 SGK Toán 5 Chân trời sáng tạo
Cách đặt tính nào sai?
a) \(\begin{array}{l} + \begin{array}{*{20}{c}}{1{\rm{ }}7,5}\\{\underline {8,6{\rm{ }}1} }\end{array}\\{\rm{ }}\end{array}\)
b) \(\begin{array}{l} + \begin{array}{*{20}{c}}{17,5}\\{\underline {{\rm{ }}8,61} }\end{array}\\{\rm{ }}\end{array}\)
c) \(\begin{array}{l}{\rm{ + }}\begin{array}{*{20}{c}}{{\rm{ }}4,2}\\{\underline {{\rm{ 79 }}} }\end{array}\\{\rm{ }}\end{array}\)
d) \(\begin{array}{l} + \begin{array}{*{20}{c}}{4,2}\\{\underline {{\rm{ }}7{\rm{ }}9{\rm{ }}} }\end{array}\\{\rm{ }}\end{array}\)
Phương pháp giải:
Muốn cộng hai số thập phân, ta làm như sau:
- Viết số hạng này dưới số hạng kia sao cho các chữ số ở cùng một hàng đặt thẳng cột với nhau.
- Cộng như cộng hai số tự nhiên.
- Viết dấu phẩy ở tổng thẳng cột với các dấu phẩy của các số hạng
Lời giải chi tiết:
Các câu đặt tính sai là: a; d.
Video hướng dẫn giải
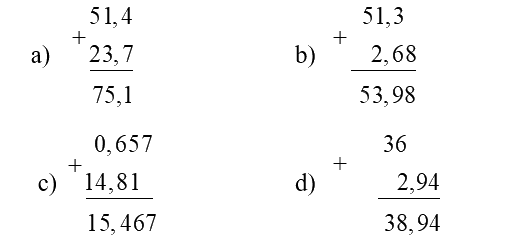
Trả lời câu hỏi 2 trang 69 SGK Toán 5 Chân trời sáng tạo
Đặt tính rồi tính.
a) 51,4 + 23,7
b) 51,3 + 2,68
c) 0,657 + 14,81
d) 36 + 2,94
Phương pháp giải:
Muốn cộng hai số thập phân, ta làm như sau:
- Viết số hạng này dưới số hạng kia sao cho các chữ số ở cùng một hàng đặt thẳng cột với nhau.
- Cộng như cộng các số tự nhiên.
- Viết dấu phẩy ở tổng thẳng cột với các dấu phẩy của các số hạng.
Lời giải chi tiết:

Video hướng dẫn giải
Trả lời câu hỏi 1 trang 69 SGK Toán 5 Chân trời sáng tạo
Tính rồi so sánh giá trị của các biểu thức.
a) 67,3 + 0,14 và 0,14 + 67,3
Nhận xét: Phép cộng các số thập phân có tính chất giao hoán.
a + b = b + a
b) (3,8 + 4,7) + 2,3 và 3,8 + (4,7 +2,3)
Nhận xét: Phép cộng các số thập phân có tính chất kết hợp.
(a + b) + c = a + (b + c)
Phương pháp giải:
*Muốn cộng hai số thập phân, ta làm như sau:
- Viết số hạng này dưới số hạng kia sao cho các chữ số ở cùng một hàng đặt thẳng cột với nhau.
- Cộng như cộng các số tự nhiên.
- Viết dấu phẩy ở tổng thẳng cột với các dấu phẩy của các số hạng.
*So sánh giá trị của các biểu thức
Lời giải chi tiết:
a) Ta có: 67,3 + 0,14 = 67,44
0,14 + 67,3 = 67,44
Vậy 67,3 + 0,14 = 0,14 + 67,3
b) Ta có: (3,8 + 4,7) + 2,3 = 8,5 + 2,3 = 10,8
3,8 + (4,7 +2,3) = 3,8 + 7,0 = 10,8
Vậy (3,8 + 4,7) + 2,3 = 3,8 + (4,7 +2,3)
Video hướng dẫn giải
Trả lời câu hỏi 2 trang 69 SGK Toán 5 Chân trời sáng tạo
Tính bằng cách thuận tiện.
a) 52,7 + 21,9 + 34,3
b) 0,4 + 0,8 + 0,2 + 0,6
c) 4,82 + 1,18 + 5,67
d) 3,1 + 4,3 + 6,9 + 5,7
Phương pháp giải:
Áp dụng tính chất: (a + b) + c = a + (b + c)
Lời giải chi tiết:
a) 52,7 + 21,9 + 34,3
= (52,7 + 34,3) + 21,9
= 87 + 21,9
= 108,9
b) 0,4 + 0,8 + 0,2 + 0,6
= (0,4 + 0,6) + (0,8 + 0,2)
= 1 + 1
= 2
c) 4,82 + 1,18 + 5,67
= (4,82 + 1,18) + 5,67
= 6 + 5,67
= 11,67
d) 3,1 + 4, 3 + 6,9 + 5,7
= (3,1 + 6,9) + (4,3 + 5,7)
= 10 + 10
= 20
Video hướng dẫn giải
Trả lời câu hỏi 3 trang 69 SGK Toán 5 Chân trời sáng tạo
Năm 2020, sản lượng xoài của nước ta khoảng 894,8 nghìn tấn. Năm 2021, sản lượng xoài tăng 104,8 nghìn tấn so với năm 2020. Hỏi cả hai năm, sản lượng xoài của nước ta khoảng bao nhiêu nghìn tấn?
Phương pháp giải:
Bước 1: Tìm sản lượng xoài của năm 2021 = sản lượng xoài của năm 2020 + sản lượng xoài tăng
Bước 2: Sản lượng xoài của nước ta ở cả hai năm = sản lượng xoài của năm 2020 + sản lượng xoài của năm 2021
Lời giải chi tiết:
Năm 2021, sản lượng xoài của nước ta là:
894,8 + 104,8 = 999,6 (nghìn tấn)
Cả hai năm, sản lượng xoài của nước ta là:
894,8 + 999,6 = 1894,4 ( nghìn tấn )
Đáp số: 1894,4 nghìn tấn
Video hướng dẫn giải
Trả lời câu hỏi Vui học trang 69 SGK Toán 5 Chân trời sáng tạo
Trong hình bên, ba trái xoài cát có khối lượng lần lượt là 0,62 kg; 0,7 kg; 0,78 kg. Con gà cân nặng 2 kg. Em hãy giúp các bạn nhỏ trả lời câu hỏi.

Phương pháp giải:
Bước 1: Tìm tổng số cân nặng của ba trái xoài
Bước 2. So sánh cân nặng của trái xoài và con gà
Bước 3. Kết luận
Lời giải chi tiết:
Ba trái xoài nặng số ki-lô-gam là:
0,62 + 0,7 + 0,78 = 2,1 (kg)
Vì 2,1 > 2, nên ba trái xoài nặng hơn con gà.
Bài 28 trong sách Toán lớp 5 Chân trời sáng tạo tập trung vào việc củng cố kỹ năng cộng hai số thập phân. Đây là một kỹ năng cơ bản nhưng vô cùng quan trọng trong toán học, được sử dụng rộng rãi trong nhiều lĩnh vực của cuộc sống.
Trước khi đi vào giải bài tập, chúng ta cần nắm vững các kiến thức lý thuyết sau:
Dưới đây là giải chi tiết các bài tập trong sách Toán lớp 5 Bài 28 Chân trời sáng tạo:
a) 3,5 + 2,7 = ?
Giải: Viết 3,5 và 2,7 thẳng hàng. Cộng các hàng: 5 + 7 = 12 (viết 2, nhớ 1). 3 + 2 + 1 (nhớ) = 6. Vậy 3,5 + 2,7 = 6,2
b) 12,4 + 8,6 = ?
Giải: Tương tự như trên, ta có 12,4 + 8,6 = 21
c) 5,9 + 1,1 = ?
Giải: 5,9 + 1,1 = 7
a) 1,23 + 2,45 = ?
Giải: Viết 1,23 và 2,45 thẳng hàng. Cộng các hàng: 3 + 5 = 8. 2 + 4 = 6. 1 + 2 = 3. Vậy 1,23 + 2,45 = 3,68
b) 0,8 + 0,25 = ?
Giải: Để cộng hai số thập phân, ta cần thêm số 0 vào phần thập phân của số 0,8 để có cùng số chữ số thập phân với 0,25. Vậy 0,8 = 0,80. Sau đó, ta có 0,80 + 0,25 = 1,05
Giải: Số mét vải còn lại là: 2,8 - 1,5 = 1,3 (m)
Đáp số: 1,3m
Để nắm vững hơn về phép cộng hai số thập phân, các em có thể thực hành thêm các bài tập sau:
Để đảm bảo tính chính xác khi cộng hai số thập phân, các em cần lưu ý:
Hy vọng với bài viết này, các em học sinh đã nắm vững kiến thức và kỹ năng cộng hai số thập phân. Chúc các em học tập tốt!