Bài 71 thuộc chương trình ôn tập phép nhân và phép chia, là một bước quan trọng trong việc củng cố kiến thức toán học cơ bản cho học sinh. Bài học này giúp học sinh rèn luyện kỹ năng thực hiện các phép tính nhân, chia một cách nhanh chóng và chính xác.
Tại giaibaitoan.com, chúng tôi cung cấp đầy đủ các bài tập và lời giải chi tiết cho Bài 71, giúp học sinh dễ dàng nắm vững kiến thức và tự tin giải quyết các bài toán.
Bài 4. Mỗi chùm có 5 quả dừa. Hỏi 4 chùm dừa như vậy có bao nhiêu quả?
Bài 4 (trang 123 SGK Toán 2 tập 2)
Mỗi chùm có 5 quả dừa. Hỏi 4 chùm dừa như vậy có bao nhiêu quả?
Phương pháp giải:
Để tìm số quả dừa có trong 4 chùm ta lấy số quả dừa có trong 1 chùm nhân với 4.
Lời giải chi tiết:
Tóm tắt
Mỗi chùm: 5 quả
4 chùm: ... quả ?
Bài giải
4 chùm dừa như vậy có số quả là:
5 × 4 = 20 (quả)
Đáp số: 20 quả dừa.
Bài 5 (trang 124 SGK Toán 2 tập 2)
Bác thợ mộc cưa một thanh gỗ dài 20 dm thành 5 đoạn bằng nhau. Hỏi mỗi đoạn dài bao nhiêu đề-xi-mét?
Phương pháp giải:
Để tìm độ dài mỗi đoạn ta lấy độ dài thanh gỗ ban đầu chia cho số đoạn được chia.
Lời giải chi tiết:
Tóm tắt
Thanh gỗ dài: 20 dm
Cưa thành 5 đoạn bằng nhau
Mỗi đoạn dài: ... dm?
Bài giải
Mỗi đoạn dài số đề-xi-mét là:
20 : 5 = 4 (dm)
Đáp số: 4 dm.
Bài 5 (trang 126 SGK Toán 2 tập 2)
Rô-bốt đếm trong chuồng cả gà và thỏ có 8 cái chân. Hỏi trong chuồng có mấy con thỏ?
Phương pháp giải:
Học sinh có thể làm theo cách thử chọn: trường hợp có 1 con thỏ, 2 con thỏ, ... từ đó tìm số con gà trong mỗi trường hợp và lựa chọn đáp án thích hợp.
Lời giải chi tiết:
• Nếu có 1 con thỏ, tức là có 4 cái chân thỏ. Suy ra có 4 cái chân gà (vì 8 – 4 = 4).
Khi đó trong chuồng có 2 con gà (Vì mỗi con gà có 2 chân và 4 : 2 = 2).
Vậy có 1 con thỏ và 2 con gà.
• Nếu có 2 con thỏ, tức là có 8 cái chân thỏ (vì mỗi con thỏ có 2 chân và 4 × 2 = 8).
Suy ra không có con gà nào (vì 8 – 8 = 0). Do đó trường hợp này không xảy ra.
Vậy trong chuồng có 1 con thỏ và 2 con gà.
Bài 2 (trang 122 SGK Toán 2 tập 2)
Viết tích thành tổng rồi tính (theo mẫu).
a) 3 × 4
b) 9 × 2
c) 6 × 5

Phương pháp giải:
Phép nhân 3 × 4 có nghĩa là “3 được lấy 4 lần”, hay ta có:
3 × 4 = 3 + 3 + 3 + 3 = 12
3 × 4 = 12
Ta thực hiện tương tự với các phép tính còn lại.
Lời giải chi tiết:
b) 9 × 2 = 9 + 9 = 18
9 × 2 = 18
c) 6 × 5 = 6 + 6 + 6 + 6 + 6 = 30
6 × 5 = 30
Bài 1 (trang 125 SGK Toán 2 tập 2)
Điền số thích hợp vào ô có dấu “?”.

Phương pháp giải:
- Áp dụng các công thức:
Thừa số × Thừa số = Tích ; Số bị chia : Số chia = Thương
- Thực hiện tính nhẩm các phép nhân, phép chia dựa vào bảng nhân 2, bảng nhân 5, bảng chia 2, bảng chia 5 đã học.
Lời giải chi tiết:

Bài 3 (trang 126 SGK Toán 2 tập 2)
Điền số thích hợp vào ô có dấu “?”.

Phương pháp giải:
Thực hiện lần lượt từng phép tính từ trái sang phải.
Lời giải chi tiết:
a) Ta có: 5 × 3 = 15 ;
15 + 9 = 24.
Vậy ta có kết quả như sau:

b) Ta có: 4 : 2 = 2 ;
2 × 5 = 10 ;
10 – 4 = 6.
Vậy ta có kết quả như sau:

Bài 5 (trang 123 SGK Toán 2 tập 2)
Liên hoan tết Trung thu, cô giáo mua về cho lớp 15 hộp bánh. Cô chia đều bánh cho 5 tổ. Hỏi mỗi tổ được mấy hộp bánh?

Phương pháp giải:
- Để tìm số hộp bánh mỗi tổ nhận được ta lấy số hộp bánh có tất cả chia cho số tổ được chia bánh.
Lời giải chi tiết:
Tóm tắt
Có: 15 hộp bánh
Chia đều cho 5 tổ
Mỗi tổ: ... hộp bánh ?
Bài giải
Mỗi tổ được số hộp bánh là:
15 : 5 = 3 (hộp)
Đáp số: 3 hộp bánh.
Bài 3 (trang 123 SGK Toán 2 tập 2)
Điền số thích hợp vào ô có dấu “?”.

Phương pháp giải:
Quan sát tranh, xác định phép nhân đã cho rồi viết hai phép chia tương ứng (theo mẫu đã cho).
Lời giải chi tiết:

Bài 1 (trang 122 SGK Toán 2 tập 2)
Tìm phép nhân thích hợp.

Phương pháp giải:
Đếm số quả cà chua ở mỗi nhóm và số nhóm từ đó nối với các phép nhân thích hợp.
Lời giải chi tiết:
Ta có:
10 + 10 = 20 tương ứng với phép nhân là 10 × 2 = 20 ;
3 + 3 + 3 + 3 + 3 + 3 = 18 tương ứng với phép nhân là 3 × 6 = 18 ;
4 + 4 + 4 + 4 + 4 = 20 tương ứng với phép nhân là 4 × 5 = 20 ;
6 + 6 + 6 + 6 = 24 tương ứng với phép nhân là 6 × 4 = 24.
Vậy ta có kết quả như sau:

Bài 1 (trang 123 SGK Toán 2 tập 2)
Điền số thích hợp vào ô có dấu “?”.

Phương pháp giải:
Thực hiện tính nhẩm các phép nhân, phép chia dựa vào bảng nhân 2, bảng nhân 5, bảng chia 2, bảng chia 5 đã học.
Lời giải chi tiết:

Bài 2 (trang 124 SGK Toán 2 tập 2)
Mỗi con ong sẽ đậu vào bông hoa nào?

Phương pháp giải:
Tính nhẩm kết quả các phép tính ghi trên mỗi con ong và bông hoa dựa vào bảng nhân, bảng chia 2 rồi nối hai phép tính có cùng kết quả để biết ong nào đậu vào hoa nào.
Lời giải chi tiết:
Ta có:
2 × 3 = 6 12 : 2 = 6
2 × 5 = 10 8 : 2 = 4
2 × 4 = 8 16 : 2 = 8
2 × 2 = 4 20 : 2 = 10
Vậy mỗi con ong được nối với bông hoa tương ứng như sau:

Bài 4 (trang 126 SGK Toán 2 tập 2)
Trong ngày hội đua thuyền, mỗi đợt đua có 5 thuyền tham gia. Hỏi 3 đợt đua như vậy có tất cả bao nhiêu thuyền tham gia?

Phương pháp giải:
- Để tìm số thuyền tham gia ở 3 đợt đua ta lấy số thuyền tham gia ở mỗi đợt đua nhân với 3.
Lời giải chi tiết:
Tóm tắt
Mỗi đợt đua: 5 thuyền
3 đợt đua: ... thuyền?
Bài giải
3 đợt đua như vậy có tất cả số thuyền tham gia là:
5 × 3 = 15 (thuyền)
Đáp số: 15 thuyền.
Bài 3 (trang 124 SGK Toán 2 tập 2)
Điền số thích hợp vào ô có dấu “?”.

Phương pháp giải:
Thực hiện lần lượt từng phép tính từ trái sang phải.
Lời giải chi tiết:
a) Ta có: 5 × 6 = 30 ;
30 – 9 = 21.
Vậy ta có kết quả như sau:

b) Ta có: 14 : 2 = 7 ;
7 + 15 = 22.
Vậy ta có kết quả như sau:

Bài 4 (trang 124 SGK Toán 2 tập 2)
Mỗi đợt thi múa rồng có 2 đội tham gia. Hỏi 4 đợt thi múa rồng như vậy có bao nhiêu đội tham gia?

Phương pháp giải:
Để tìm số đội tham gia có trong 4 đợt thi ta lấy số đội tham gia có trong mỗi đợt thi nhân với 4.
Lời giải chi tiết:
Tóm tắt
Mỗi đợt thi: 2 đội
4 đợt thi: ... đội?
Bài giải
4 đợt thi múa rồng như vậy có số đội tham gia là:
2 × 4 = 8 (đội)
Đáp số: 8 đội.
Bài 2 (trang 125 SGK Toán 2 tập 2)
Mỗi con thỏ được lấy các củ cà rốt ghi phép tính có kết quả là số ghi trên con thỏ đó. Hỏi con thỏ nào lấy được nhiều củ cà rốt nhất?

Phương pháp giải:
Tính nhẩm các phép tính ghi ở các củ cà rốt. Từ đó tìm ra thỏ đã lấy được những củ cà rốt nào và tìm được chú thỏ lấy được nhiều củ cà rốt nhất.
Lời giải chi tiết:
Ta có:
2 × 3 = 6 2 × 5 = 10
16 : 2 = 8 50 : 5 = 10
20 : 2 = 10 4 × 2 = 8
30 : 5 = 6 12 : 2 = 6
40 : 5 = 8 2 × 4 = 8
Do đó, mỗi chú thỏ lấy được cà rốt như sau:

Vậy thỏ ghi số 8 lấy được nhiều củ cà rốt nhất (4 củ).
Bài 1 (trang 122 SGK Toán 2 tập 2)
Tìm phép nhân thích hợp.

Phương pháp giải:
Đếm số quả cà chua ở mỗi nhóm và số nhóm từ đó nối với các phép nhân thích hợp.
Lời giải chi tiết:
Ta có:
10 + 10 = 20 tương ứng với phép nhân là 10 × 2 = 20 ;
3 + 3 + 3 + 3 + 3 + 3 = 18 tương ứng với phép nhân là 3 × 6 = 18 ;
4 + 4 + 4 + 4 + 4 = 20 tương ứng với phép nhân là 4 × 5 = 20 ;
6 + 6 + 6 + 6 = 24 tương ứng với phép nhân là 6 × 4 = 24.
Vậy ta có kết quả như sau:

Bài 2 (trang 122 SGK Toán 2 tập 2)
Viết tích thành tổng rồi tính (theo mẫu).
a) 3 × 4
b) 9 × 2
c) 6 × 5

Phương pháp giải:
Phép nhân 3 × 4 có nghĩa là “3 được lấy 4 lần”, hay ta có:
3 × 4 = 3 + 3 + 3 + 3 = 12
3 × 4 = 12
Ta thực hiện tương tự với các phép tính còn lại.
Lời giải chi tiết:
b) 9 × 2 = 9 + 9 = 18
9 × 2 = 18
c) 6 × 5 = 6 + 6 + 6 + 6 + 6 = 30
6 × 5 = 30
Bài 3 (trang 123 SGK Toán 2 tập 2)
Điền số thích hợp vào ô có dấu “?”.

Phương pháp giải:
Quan sát tranh, xác định phép nhân đã cho rồi viết hai phép chia tương ứng (theo mẫu đã cho).
Lời giải chi tiết:

Bài 4 (trang 123 SGK Toán 2 tập 2)
Mỗi chùm có 5 quả dừa. Hỏi 4 chùm dừa như vậy có bao nhiêu quả?
Phương pháp giải:
Để tìm số quả dừa có trong 4 chùm ta lấy số quả dừa có trong 1 chùm nhân với 4.
Lời giải chi tiết:
Tóm tắt
Mỗi chùm: 5 quả
4 chùm: ... quả ?
Bài giải
4 chùm dừa như vậy có số quả là:
5 × 4 = 20 (quả)
Đáp số: 20 quả dừa.
Bài 5 (trang 123 SGK Toán 2 tập 2)
Liên hoan tết Trung thu, cô giáo mua về cho lớp 15 hộp bánh. Cô chia đều bánh cho 5 tổ. Hỏi mỗi tổ được mấy hộp bánh?

Phương pháp giải:
- Để tìm số hộp bánh mỗi tổ nhận được ta lấy số hộp bánh có tất cả chia cho số tổ được chia bánh.
Lời giải chi tiết:
Tóm tắt
Có: 15 hộp bánh
Chia đều cho 5 tổ
Mỗi tổ: ... hộp bánh ?
Bài giải
Mỗi tổ được số hộp bánh là:
15 : 5 = 3 (hộp)
Đáp số: 3 hộp bánh.
Bài 1 (trang 123 SGK Toán 2 tập 2)
Điền số thích hợp vào ô có dấu “?”.

Phương pháp giải:
Thực hiện tính nhẩm các phép nhân, phép chia dựa vào bảng nhân 2, bảng nhân 5, bảng chia 2, bảng chia 5 đã học.
Lời giải chi tiết:

Bài 2 (trang 124 SGK Toán 2 tập 2)
Mỗi con ong sẽ đậu vào bông hoa nào?

Phương pháp giải:
Tính nhẩm kết quả các phép tính ghi trên mỗi con ong và bông hoa dựa vào bảng nhân, bảng chia 2 rồi nối hai phép tính có cùng kết quả để biết ong nào đậu vào hoa nào.
Lời giải chi tiết:
Ta có:
2 × 3 = 6 12 : 2 = 6
2 × 5 = 10 8 : 2 = 4
2 × 4 = 8 16 : 2 = 8
2 × 2 = 4 20 : 2 = 10
Vậy mỗi con ong được nối với bông hoa tương ứng như sau:

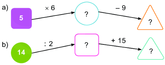
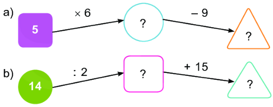
Bài 3 (trang 124 SGK Toán 2 tập 2)
Điền số thích hợp vào ô có dấu “?”.

Phương pháp giải:
Thực hiện lần lượt từng phép tính từ trái sang phải.
Lời giải chi tiết:
a) Ta có: 5 × 6 = 30 ;
30 – 9 = 21.
Vậy ta có kết quả như sau:

b) Ta có: 14 : 2 = 7 ;
7 + 15 = 22.
Vậy ta có kết quả như sau:

Bài 4 (trang 124 SGK Toán 2 tập 2)
Mỗi đợt thi múa rồng có 2 đội tham gia. Hỏi 4 đợt thi múa rồng như vậy có bao nhiêu đội tham gia?

Phương pháp giải:
Để tìm số đội tham gia có trong 4 đợt thi ta lấy số đội tham gia có trong mỗi đợt thi nhân với 4.
Lời giải chi tiết:
Tóm tắt
Mỗi đợt thi: 2 đội
4 đợt thi: ... đội?
Bài giải
4 đợt thi múa rồng như vậy có số đội tham gia là:
2 × 4 = 8 (đội)
Đáp số: 8 đội.
Bài 5 (trang 124 SGK Toán 2 tập 2)
Bác thợ mộc cưa một thanh gỗ dài 20 dm thành 5 đoạn bằng nhau. Hỏi mỗi đoạn dài bao nhiêu đề-xi-mét?
Phương pháp giải:
Để tìm độ dài mỗi đoạn ta lấy độ dài thanh gỗ ban đầu chia cho số đoạn được chia.
Lời giải chi tiết:
Tóm tắt
Thanh gỗ dài: 20 dm
Cưa thành 5 đoạn bằng nhau
Mỗi đoạn dài: ... dm?
Bài giải
Mỗi đoạn dài số đề-xi-mét là:
20 : 5 = 4 (dm)
Đáp số: 4 dm.
Bài 1 (trang 125 SGK Toán 2 tập 2)
Điền số thích hợp vào ô có dấu “?”.

Phương pháp giải:
- Áp dụng các công thức:
Thừa số × Thừa số = Tích ; Số bị chia : Số chia = Thương
- Thực hiện tính nhẩm các phép nhân, phép chia dựa vào bảng nhân 2, bảng nhân 5, bảng chia 2, bảng chia 5 đã học.
Lời giải chi tiết:

Bài 2 (trang 125 SGK Toán 2 tập 2)
Mỗi con thỏ được lấy các củ cà rốt ghi phép tính có kết quả là số ghi trên con thỏ đó. Hỏi con thỏ nào lấy được nhiều củ cà rốt nhất?

Phương pháp giải:
Tính nhẩm các phép tính ghi ở các củ cà rốt. Từ đó tìm ra thỏ đã lấy được những củ cà rốt nào và tìm được chú thỏ lấy được nhiều củ cà rốt nhất.
Lời giải chi tiết:
Ta có:
2 × 3 = 6 2 × 5 = 10
16 : 2 = 8 50 : 5 = 10
20 : 2 = 10 4 × 2 = 8
30 : 5 = 6 12 : 2 = 6
40 : 5 = 8 2 × 4 = 8
Do đó, mỗi chú thỏ lấy được cà rốt như sau:

Vậy thỏ ghi số 8 lấy được nhiều củ cà rốt nhất (4 củ).
Bài 3 (trang 126 SGK Toán 2 tập 2)
Điền số thích hợp vào ô có dấu “?”.

Phương pháp giải:
Thực hiện lần lượt từng phép tính từ trái sang phải.
Lời giải chi tiết:
a) Ta có: 5 × 3 = 15 ;
15 + 9 = 24.
Vậy ta có kết quả như sau:

b) Ta có: 4 : 2 = 2 ;
2 × 5 = 10 ;
10 – 4 = 6.
Vậy ta có kết quả như sau:

Bài 4 (trang 126 SGK Toán 2 tập 2)
Trong ngày hội đua thuyền, mỗi đợt đua có 5 thuyền tham gia. Hỏi 3 đợt đua như vậy có tất cả bao nhiêu thuyền tham gia?

Phương pháp giải:
- Để tìm số thuyền tham gia ở 3 đợt đua ta lấy số thuyền tham gia ở mỗi đợt đua nhân với 3.
Lời giải chi tiết:
Tóm tắt
Mỗi đợt đua: 5 thuyền
3 đợt đua: ... thuyền?
Bài giải
3 đợt đua như vậy có tất cả số thuyền tham gia là:
5 × 3 = 15 (thuyền)
Đáp số: 15 thuyền.
Bài 5 (trang 126 SGK Toán 2 tập 2)
Rô-bốt đếm trong chuồng cả gà và thỏ có 8 cái chân. Hỏi trong chuồng có mấy con thỏ?
Phương pháp giải:
Học sinh có thể làm theo cách thử chọn: trường hợp có 1 con thỏ, 2 con thỏ, ... từ đó tìm số con gà trong mỗi trường hợp và lựa chọn đáp án thích hợp.
Lời giải chi tiết:
• Nếu có 1 con thỏ, tức là có 4 cái chân thỏ. Suy ra có 4 cái chân gà (vì 8 – 4 = 4).
Khi đó trong chuồng có 2 con gà (Vì mỗi con gà có 2 chân và 4 : 2 = 2).
Vậy có 1 con thỏ và 2 con gà.
• Nếu có 2 con thỏ, tức là có 8 cái chân thỏ (vì mỗi con thỏ có 2 chân và 4 × 2 = 8).
Suy ra không có con gà nào (vì 8 – 8 = 0). Do đó trường hợp này không xảy ra.
Vậy trong chuồng có 1 con thỏ và 2 con gà.
Bài 71 trong chương trình toán tiểu học tập trung vào việc ôn tập và củng cố kiến thức về phép nhân và phép chia. Đây là hai phép tính cơ bản, nền tảng cho các phép toán phức tạp hơn trong tương lai. Việc nắm vững phép nhân và phép chia không chỉ giúp học sinh giải quyết các bài toán trong sách giáo khoa mà còn ứng dụng vào thực tế cuộc sống.
Phép nhân là một phép toán biểu thị sự lặp lại của một số lần. Ví dụ, 3 x 4 có nghĩa là 3 được cộng với chính nó 4 lần (3 + 3 + 3 + 3 = 12). Các yếu tố trong phép nhân bao gồm:
Các tính chất của phép nhân:
Phép chia là một phép toán phân chia một số thành các phần bằng nhau. Ví dụ, 12 : 3 có nghĩa là chia 12 thành 3 phần bằng nhau, mỗi phần có giá trị là 4. Các yếu tố trong phép chia bao gồm:
Mối quan hệ giữa phép nhân và phép chia: Phép chia là phép toán ngược của phép nhân. Ví dụ, nếu 3 x 4 = 12 thì 12 : 3 = 4 và 12 : 4 = 3.
Bài 71 thường bao gồm các dạng bài tập sau:
Ví dụ 1: Tính giá trị biểu thức: (5 x 3) + (18 : 2)
Giải:
(5 x 3) + (18 : 2) = 15 + 9 = 24
Ví dụ 2: Giải bài toán: Một cửa hàng có 6 thùng bánh, mỗi thùng có 12 chiếc bánh. Hỏi cửa hàng có tất cả bao nhiêu chiếc bánh?
Giải:
Số bánh cửa hàng có là: 6 x 12 = 72 (chiếc)
Đáp số: 72 chiếc bánh
Hy vọng với những hướng dẫn chi tiết và bài tập minh họa trên, các em học sinh sẽ tự tin hơn khi ôn tập Bài 71: Ôn tập phép nhân, phép chia. Chúc các em học tốt!