Chào mừng các em học sinh lớp 5 đến với bài giải chi tiết phần B. Kết nối trang 11 trong sách Bài tập phát triển năng lực Toán 5. Tại giaibaitoan.com, chúng tôi cung cấp lời giải dễ hiểu, giúp các em nắm vững kiến thức và tự tin giải các bài tập toán.
Bài tập này thuộc chương trình Toán 5 Kết Nối, tập trung vào việc rèn luyện các kỹ năng giải toán thực tế và phát triển tư duy logic.
Tính giá trị của các biểu thức sau: So sánh các hỗn số:
Một cửa hàng bán hết số gạo trong ba ngày. Ngày thứ nhất bán $\frac{1}{5}$số gạo, ngày thứ hai bán hết $\frac{2}{3}$số gạo. Biết số gạo bán trong ngày thứ ba là 66kg. Hỏi cửa hàng đó đã bán được bao nhiêu ki-lô-gam gạo trong ba ngày?
Phương pháp giải:
- Số phần gạo bán trong ngày thứ ba =1 – (Số phần gạo bán ngày thứ nhất – Số phần gạo bán ngày thứ hai)
Số ki-lô-gam gạo trong ba ngày cửa hàng đó bán được = 66 : Số phần gạo bán trong ngày thứ ba
Lời giải chi tiết:
Tóm tắt
Ngày thứ nhất: $\frac{1}{5}$số gạo
Ngày thứ hai: $\frac{2}{3}$số gạo
Ngày thứ ba: 66kg
Ba ngày: ? kg
Bài giải
Phân số chỉ số gạo bán trong ngày thứ ba là:
$1 - (\frac{1}{5} + \frac{2}{3}) = \frac{2}{{15}}$ (số gạo)
Số gạo cửa hàng đó bán được trong ba ngày là:
$66:\frac{2}{{15}} = 495\,(kg)$
Đáp số: 495 kg
Câu lạc bộ Toán học lúc đầu có 34 bạn tham gia, sau đó có thêm 6 bạn nam và 5 bạn nữ gia nhập nên lúc này số bạn nam bằng $\frac{2}{3}$số bạn nữ. Hỏi lúc đầu Câu lạc bộ có bao nhiêu bạn nam, bao nhiêu bạn nữ?
Phương pháp giải:
- Số bạn tham gia Câu lạc bộ = Số bạn tham gia lúc đầu + Số bạn nam và nữ gia nhập sau
- Tính tổng số phần bằng nhau
Giá trị 1 phần = tổng số bạn tham gia câu lạc bộ tổng số phần
Số bạn nam lúc đầu = Giá trị 1 phần x số phần của bạn nam – số bạn gia nhập sau
Số bạn nữ lúc đầu = Giá trị 1 phần x số phần của bạn nữ – số bạn gia nhập sau
Lời giải chi tiết:
Sau khi gia nhập thêm, số bạn tham gia Câu lạc bộ Toán là: 34 + 6 + 5 = 45 (bạn)
Gọi số nam là 2 phần, số nữ là 3 phần.
Tổng số phần bằng nhau là:
2 + 3 = 5 (phần)
Giá trị 1 phần là:
45 : 5 = 9 (bạn)
Số bạn nam lúc đầu là:
9 x 2 – 6 = 12 (bạn)
Số bạn nữ lúc đầu là:
9 x 3 – 5 = 22 (bạn)
Đáp số: Bạn nam: 12
Bạn nữ: 22
Viết các số đo độ dài sau dưới dạng hỗn số:
5m 4cm = ......................... m
6cm 8mm = ...................... cm
9m 5dm = ......................... m
6km 90dam = ................... km
15hm 6dam = ................... hm
Phương pháp giải:
Áp dụng các cách đổi:
1m = 100cm ; 1cm = 10mm
1m = 10dm ; 1km = 100dam
1hm = 10dam
Lời giải chi tiết:

Tính bằng cách thuận tiện:

Phương pháp giải:
Áp dụng các tính chất nhân một số với một tổng, tính chất kết hợp để tính giá trị của biểu thức một cách thuận tiện.
Lời giải chi tiết:

So sánh các hỗn số:

Phương pháp giải:
Cách 1: Chuyển hỗn số về phân số: để so sánh hai hỗn số, ta chuyển hai hỗn số về dạng phân số rồi so sánh hai phân số vừa chuyển đổi.
Cách 2: Khi so sánh hai hỗn số:
- Hỗn số nào có phần nguyên lớn hơn thì hỗn số đó lớn hơn
- Nếu hai phần nguyên bằng nhau thì ta so sánh phần phân số, hỗn số nào có phần phân số lớn hơn thì hỗn số đó lớn hơn.
Lời giải chi tiết:


Tính giá trị của các biểu thức sau:

Phương pháp giải:
Với biểu thức có dấu ngoặc ta thực hiện phép tính trong ngoặc trước.
Lời giải chi tiết:

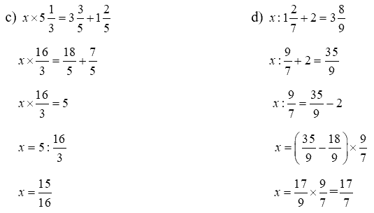
Tìm x, biết:

Phương pháp giải:
- Thực hiện tính vế phải
- Tìm x theo quy tắc:
+ Muốn tìm số bị trừ ta lấy hiệu cộng với số trừ.
+ Muốn tìm thừa số chưa biết ta lấy tích chia cho thừa số đã biết.
+ Muốn tìm số bị chia ta lấy thương nhân với số chia.
Lời giải chi tiết:


Tính giá trị của các biểu thức sau:

Phương pháp giải:
Với biểu thức có dấu ngoặc ta thực hiện phép tính trong ngoặc trước.
Lời giải chi tiết:

So sánh các hỗn số:

Phương pháp giải:
Cách 1: Chuyển hỗn số về phân số: để so sánh hai hỗn số, ta chuyển hai hỗn số về dạng phân số rồi so sánh hai phân số vừa chuyển đổi.
Cách 2: Khi so sánh hai hỗn số:
- Hỗn số nào có phần nguyên lớn hơn thì hỗn số đó lớn hơn
- Nếu hai phần nguyên bằng nhau thì ta so sánh phần phân số, hỗn số nào có phần phân số lớn hơn thì hỗn số đó lớn hơn.
Lời giải chi tiết:


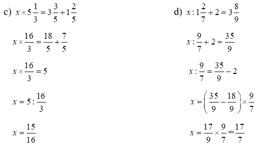
Tìm x, biết:

Phương pháp giải:
- Thực hiện tính vế phải
- Tìm x theo quy tắc:
+ Muốn tìm số bị trừ ta lấy hiệu cộng với số trừ.
+ Muốn tìm thừa số chưa biết ta lấy tích chia cho thừa số đã biết.
+ Muốn tìm số bị chia ta lấy thương nhân với số chia.
Lời giải chi tiết:


Một cửa hàng bán hết số gạo trong ba ngày. Ngày thứ nhất bán $\frac{1}{5}$số gạo, ngày thứ hai bán hết $\frac{2}{3}$số gạo. Biết số gạo bán trong ngày thứ ba là 66kg. Hỏi cửa hàng đó đã bán được bao nhiêu ki-lô-gam gạo trong ba ngày?
Phương pháp giải:
- Số phần gạo bán trong ngày thứ ba =1 – (Số phần gạo bán ngày thứ nhất – Số phần gạo bán ngày thứ hai)
Số ki-lô-gam gạo trong ba ngày cửa hàng đó bán được = 66 : Số phần gạo bán trong ngày thứ ba
Lời giải chi tiết:
Tóm tắt
Ngày thứ nhất: $\frac{1}{5}$số gạo
Ngày thứ hai: $\frac{2}{3}$số gạo
Ngày thứ ba: 66kg
Ba ngày: ? kg
Bài giải
Phân số chỉ số gạo bán trong ngày thứ ba là:
$1 - (\frac{1}{5} + \frac{2}{3}) = \frac{2}{{15}}$ (số gạo)
Số gạo cửa hàng đó bán được trong ba ngày là:
$66:\frac{2}{{15}} = 495\,(kg)$
Đáp số: 495 kg
Viết các số đo độ dài sau dưới dạng hỗn số:
5m 4cm = ......................... m
6cm 8mm = ...................... cm
9m 5dm = ......................... m
6km 90dam = ................... km
15hm 6dam = ................... hm
Phương pháp giải:
Áp dụng các cách đổi:
1m = 100cm ; 1cm = 10mm
1m = 10dm ; 1km = 100dam
1hm = 10dam
Lời giải chi tiết:

Tính bằng cách thuận tiện:

Phương pháp giải:
Áp dụng các tính chất nhân một số với một tổng, tính chất kết hợp để tính giá trị của biểu thức một cách thuận tiện.
Lời giải chi tiết:

Câu lạc bộ Toán học lúc đầu có 34 bạn tham gia, sau đó có thêm 6 bạn nam và 5 bạn nữ gia nhập nên lúc này số bạn nam bằng $\frac{2}{3}$số bạn nữ. Hỏi lúc đầu Câu lạc bộ có bao nhiêu bạn nam, bao nhiêu bạn nữ?
Phương pháp giải:
- Số bạn tham gia Câu lạc bộ = Số bạn tham gia lúc đầu + Số bạn nam và nữ gia nhập sau
- Tính tổng số phần bằng nhau
Giá trị 1 phần = tổng số bạn tham gia câu lạc bộ tổng số phần
Số bạn nam lúc đầu = Giá trị 1 phần x số phần của bạn nam – số bạn gia nhập sau
Số bạn nữ lúc đầu = Giá trị 1 phần x số phần của bạn nữ – số bạn gia nhập sau
Lời giải chi tiết:
Sau khi gia nhập thêm, số bạn tham gia Câu lạc bộ Toán là: 34 + 6 + 5 = 45 (bạn)
Gọi số nam là 2 phần, số nữ là 3 phần.
Tổng số phần bằng nhau là:
2 + 3 = 5 (phần)
Giá trị 1 phần là:
45 : 5 = 9 (bạn)
Số bạn nam lúc đầu là:
9 x 2 – 6 = 12 (bạn)
Số bạn nữ lúc đầu là:
9 x 3 – 5 = 22 (bạn)
Đáp số: Bạn nam: 12
Bạn nữ: 22
Bài tập phần B. Kết nối trang 11 Toán 5 tập trung vào việc ứng dụng các kiến thức đã học về các phép tính với số thập phân, các bài toán về diện tích, chu vi hình chữ nhật, hình vuông và các bài toán có liên quan đến thực tế.
Bài 1 yêu cầu học sinh thực hiện các phép tính cộng, trừ, nhân, chia với số thập phân. Để giải bài tập này, học sinh cần nắm vững các quy tắc về vị trí dấu phẩy, cách thực hiện các phép tính và kiểm tra lại kết quả.
Bài 2 yêu cầu học sinh tính diện tích và chu vi của hình chữ nhật và hình vuông khi biết độ dài các cạnh. Để giải bài tập này, học sinh cần nhớ công thức tính diện tích và chu vi của hai hình này.
Công thức:
Ví dụ: Một hình chữ nhật có chiều dài 5cm và chiều rộng 3cm. Tính diện tích và chu vi của hình chữ nhật đó. Giải: Diện tích = 5 x 3 = 15 cm2; Chu vi = (5 + 3) x 2 = 16 cm.
Bài 3 thường là các bài toán ứng dụng các kiến thức đã học vào các tình huống thực tế. Để giải bài tập này, học sinh cần đọc kỹ đề bài, xác định được các yếu tố quan trọng và lựa chọn phương pháp giải phù hợp.
Ví dụ: Một mảnh đất hình chữ nhật có chiều dài 12m và chiều rộng 8m. Người ta muốn trồng rau trên mảnh đất đó. Hỏi cần bao nhiêu mét vuông đất để trồng rau? Giải: Diện tích mảnh đất = 12 x 8 = 96 m2. Vậy cần 96 mét vuông đất để trồng rau.
Việc giải bài tập phát triển năng lực Toán 5 không chỉ giúp học sinh nắm vững kiến thức mà còn giúp các em phát triển các kỹ năng quan trọng như tư duy logic, khả năng giải quyết vấn đề, kỹ năng tính toán và kỹ năng ứng dụng toán học vào thực tế. Những kỹ năng này sẽ rất hữu ích cho các em trong học tập và cuộc sống.
Ngoài sách giáo khoa và sách bài tập, học sinh có thể tham khảo thêm các nguồn tài liệu sau để học Toán 5 hiệu quả:
Hy vọng với hướng dẫn chi tiết này, các em học sinh lớp 5 sẽ tự tin giải phần B. Kết nối trang 11 Bài tập phát triển năng lực Toán 5 và đạt kết quả tốt trong môn học Toán.