Chào mừng các em học sinh lớp 5 đến với bài giải chi tiết phần B, trang 8 trong sách Bài tập phát triển năng lực Toán 5 Kết nối. Bài viết này sẽ cung cấp lời giải đầy đủ, dễ hiểu cho từng bài tập, giúp các em nắm vững kiến thức và rèn luyện kỹ năng giải toán.
Giaibaitoan.com luôn đồng hành cùng các em trên con đường chinh phục môn Toán, mang đến những giải pháp học tập hiệu quả và thú vị.
Một mảnh vườn dành 1/2 diện tích trồng hoa hồng đỏ, 1/6 diện tích trồng hoa hồng vàng ...
Một mảnh vườn dành \(\frac{1}{2}\) diện tích trồng hoa hồng đỏ, \(\frac{1}{6}\) diện tích trồng hoa hồng vàng, còn lại là diện tích trồng hoa hồng trắng. Tìm phân số chỉ phần diện tích trồng hoa hồng trắng.
Phương pháp giải:
Số phần chỉ diện tích trồng hoa hồng trắng = 1 – (số phần diện tích trồng hoa hồng đỏ + số phần diện tích trồng hoa hồng vàng)
Lời giải chi tiết:
Tóm tắt
Hoa hồng đỏ: \(\frac{1}{2}\) diện tích
Hoa hồng vàng: \(\frac{1}{6}\) diện tích
Hoa hồng trắng: ? diện tích vườn
Bài giải
Phần diện tích trồng hoa hồng đỏ và hoa hồng vàng là
$\frac{1}{2} + \frac{1}{6} = \frac{2}{3}$ (diện tích)
Phần diện tích trồng hoa hồng trắng là
\(1 - \frac{2}{3} = \frac{1}{3}\) (diện tích)
Đáp số: \(\frac{1}{3}\) diện tích
Một mảnh đất hình chữ nhật có chiều dài \(23\frac{2}{5}\) m, chiều rộng \(12\frac{9}{{13}}\) m. Người ta chia mảnh đất đó thành ba lô đất bằng nhau. Tính diện tích của mỗi lô đất.
Phương pháp giải:
Bước 1: Diện tích mảnh đất = chiều dài x chiều rộng
Bước 2: Diện tích mỗi lô đất = diện tích mảnh đất : số lô đất
Lời giải chi tiết:
Diện tích mảnh đất hình chữ nhật là:
\[23\frac{2}{5} \times 12\frac{9}{{13}} = 297{\text{ }}({{\text{m}}^{\text{2}}}{\text{)}}\]
Diện tích mỗi lô đất là:
297 : 3 = 99 (m2)
Đáp số: 99 m2
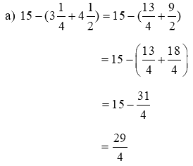
Tính bằng cách thuận tiện:

Phương pháp giải:
Áp dụng các tính chất của phép cộng, phép nhân, … để tính giá trị của biểu thức một cách thuận tiện.
Lời giải chi tiết:

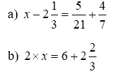
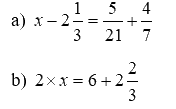
Tìm x, biết:

Phương pháp giải:
- Thực hiện tính vế phải
- Tìm x theo quy tắc:
+ Muốn tìm số bị trừ ta lấy hiệu cộng với số trừ.
+ Muốn tìm thừa số chưa biết ta lấy tích chia cho thừa số đã biết.
Lời giải chi tiết:

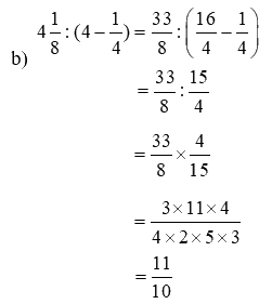
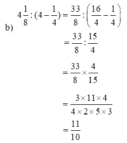
Chuyển các hỗn số sau thành phân số rồi tính:

Phương pháp giải:
Chuyển các hỗn số thành phân số rồi thực hiện phép tính phân số như thông thường.
Lời giải chi tiết:



Tính bằng cách thuận tiện:

Phương pháp giải:
Áp dụng các tính chất của phép cộng, phép nhân, … để tính giá trị của biểu thức một cách thuận tiện.
Lời giải chi tiết:

Một mảnh vườn dành \(\frac{1}{2}\) diện tích trồng hoa hồng đỏ, \(\frac{1}{6}\) diện tích trồng hoa hồng vàng, còn lại là diện tích trồng hoa hồng trắng. Tìm phân số chỉ phần diện tích trồng hoa hồng trắng.
Phương pháp giải:
Số phần chỉ diện tích trồng hoa hồng trắng = 1 – (số phần diện tích trồng hoa hồng đỏ + số phần diện tích trồng hoa hồng vàng)
Lời giải chi tiết:
Tóm tắt
Hoa hồng đỏ: \(\frac{1}{2}\) diện tích
Hoa hồng vàng: \(\frac{1}{6}\) diện tích
Hoa hồng trắng: ? diện tích vườn
Bài giải
Phần diện tích trồng hoa hồng đỏ và hoa hồng vàng là
$\frac{1}{2} + \frac{1}{6} = \frac{2}{3}$ (diện tích)
Phần diện tích trồng hoa hồng trắng là
\(1 - \frac{2}{3} = \frac{1}{3}\) (diện tích)
Đáp số: \(\frac{1}{3}\) diện tích
Chuyển các hỗn số sau thành phân số rồi tính:

Phương pháp giải:
Chuyển các hỗn số thành phân số rồi thực hiện phép tính phân số như thông thường.
Lời giải chi tiết:



Tìm x, biết:

Phương pháp giải:
- Thực hiện tính vế phải
- Tìm x theo quy tắc:
+ Muốn tìm số bị trừ ta lấy hiệu cộng với số trừ.
+ Muốn tìm thừa số chưa biết ta lấy tích chia cho thừa số đã biết.
Lời giải chi tiết:

Một mảnh đất hình chữ nhật có chiều dài \(23\frac{2}{5}\) m, chiều rộng \(12\frac{9}{{13}}\) m. Người ta chia mảnh đất đó thành ba lô đất bằng nhau. Tính diện tích của mỗi lô đất.
Phương pháp giải:
Bước 1: Diện tích mảnh đất = chiều dài x chiều rộng
Bước 2: Diện tích mỗi lô đất = diện tích mảnh đất : số lô đất
Lời giải chi tiết:
Diện tích mảnh đất hình chữ nhật là:
\[23\frac{2}{5} \times 12\frac{9}{{13}} = 297{\text{ }}({{\text{m}}^{\text{2}}}{\text{)}}\]
Diện tích mỗi lô đất là:
297 : 3 = 99 (m2)
Đáp số: 99 m2
Phần B của bài tập phát triển năng lực Toán 5 Kết nối trang 8 tập trung vào việc củng cố kiến thức về các phép tính với số tự nhiên, đặc biệt là phép cộng, trừ, nhân, chia và các bài toán có liên quan đến đơn vị đo độ dài, khối lượng. Các bài tập được thiết kế để giúp học sinh rèn luyện tư duy logic, khả năng giải quyết vấn đề và áp dụng kiến thức vào thực tế.
Bài 1 yêu cầu học sinh thực hiện các phép cộng với số tự nhiên. Để giải bài này, học sinh cần nắm vững quy tắc cộng các số tự nhiên, thực hiện cộng từ phải sang trái, nhớ sang hàng kế tiếp khi tổng của hai chữ số lớn hơn 9.
Ví dụ:
Bài 2 yêu cầu học sinh thực hiện các phép trừ với số tự nhiên. Để giải bài này, học sinh cần nắm vững quy tắc trừ các số tự nhiên, thực hiện trừ từ phải sang trái, mượn từ hàng kế tiếp khi chữ số bị trừ nhỏ hơn chữ số trừ.
Ví dụ:
Bài 3 yêu cầu học sinh thực hiện các phép nhân với số tự nhiên. Để giải bài này, học sinh cần nắm vững bảng nhân, thực hiện nhân từ phải sang trái, nhớ sang hàng kế tiếp khi tích của hai chữ số lớn hơn 9.
Ví dụ:
Bài 4 yêu cầu học sinh thực hiện các phép chia với số tự nhiên. Để giải bài này, học sinh cần nắm vững quy tắc chia các số tự nhiên, thực hiện chia từ trái sang phải, xác định thương và số dư.
Ví dụ:
Bài 5 là bài toán ứng dụng, yêu cầu học sinh vận dụng kiến thức về các phép tính đã học để giải quyết các tình huống thực tế. Để giải bài này, học sinh cần đọc kỹ đề bài, xác định các dữ kiện và yêu cầu, sau đó lựa chọn phép tính phù hợp để giải quyết bài toán.
Ví dụ:
Một cửa hàng có 250 kg gạo. Buổi sáng cửa hàng bán được 120 kg gạo, buổi chiều bán được 80 kg gạo. Hỏi cửa hàng còn lại bao nhiêu kg gạo?
Giải:
Tổng số gạo đã bán là: 120 + 80 = 200 (kg)
Số gạo còn lại là: 250 - 200 = 50 (kg)
Đáp số: 50 kg
Sách Bài tập phát triển năng lực Toán 5 Kết nối
Sách giáo khoa Toán 5 Kết nối
Các trang web học toán online uy tín
Hy vọng với bài giải chi tiết và những lời khuyên trên, các em học sinh lớp 5 sẽ tự tin hơn khi giải phần B. Kết nối trang 8 Bài tập phát triển năng lực Toán 5. Chúc các em học tập tốt!