Chào mừng các em học sinh lớp 5 đến với bài hướng dẫn giải bài tập phần B. Kết nối trang 29 trong sách Bài tập phát triển năng lực Toán 5. Bài viết này sẽ cung cấp lời giải chi tiết, dễ hiểu cho từng bài tập, giúp các em hiểu rõ bản chất và phương pháp giải.
Giaibaitoan.com luôn đồng hành cùng các em trên con đường chinh phục môn Toán, mang đến những giải pháp học tập hiệu quả và thú vị.
Một cửa hàng xăng dầu ngày thứ nhất bán được 2/5 số lít xăng trong bể chứa. Viết các hỗn số sau dưới dạng số thập phân
Một cửa hàng xăng dầu ngày thứ nhất bán được $\frac{2}{5}$số lít xăng trong bể chứa, ngày thứ hai bán được $\frac{4}{{15}}$số lít xăng trong bể chứa. Hỏi trung bình mỗi ngày cửa hàng xăng dầu đó bán được bao nhiêu phần số lít xăng trong bể chứa?
Phương pháp giải:
Trung bình mỗi ngày cửa hàng đó bán được = (số lít bán ngày thứ nhất + số lít bán ngày thứ hai) : 2
Lời giải chi tiết:
Trung bình mỗi ngày cửa hàng xăng dầu đó bán được số phần lít xăng trong bể chứa là:
$\left( {\frac{2}{5} + \frac{4}{{15}}} \right):2 = \frac{1}{3}$ (số lít xăng)
Đáp số: $\frac{1}{3}$số lít xăng
Thực hiện các yêu cầu sau:
a) Viết phân số $\frac{7}{2}$dưới dạng phân số thập phân có mẫu số là 10 và có mẫu số là 100.
b) Viết hai phân số thập phân tìm được ở trên thành hai số thập phân
c) Có thể viết $\frac{7}{2}$thành những số thập phân nào?
Phương pháp giải:
Nhân cả tử và mẫu số của phân số $\frac{7}{2}$với một số thích hợp để được phân số thập phân có mẫu số là 10 và có mẫu số là 100
Lời giải chi tiết:
a) $\frac{7}{2} = \frac{{35}}{{10}}$ ;
$\frac{7}{2} = \frac{{350}}{{100}}$
b) $\frac{{35}}{{10}} = 3,5$;
$\frac{{350}}{{100}} = 3,50$
c) $\frac{7}{2} = 3,5 = 3,50 = 3,500 = 3,5000 = ....$
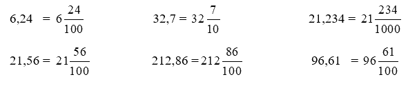
Viết các số thập phân sau thành hỗn số có chứa phân số thập phân:

Phương pháp giải:
Áp dụng cách viết:

Lời giải chi tiết:

Hoàn thành bảng sau (theo mẫu):

Phương pháp giải:
Xác định hàng của chữ số 6 và giá trị của chữ số đó theo mẫu.
Lời giải chi tiết:

Viết các hỗn số sau dưới dạng số thập phân:

Phương pháp giải:
Áp dụng cách viết:

Lời giải chi tiết:

Tìm x:

Phương pháp giải:
- Tìm x theo quy tắc:
+ Muốn tìm thừa số chưa biết ta lấy tích chia cho thừa số đã biết.
+ Muốn tìm số trừ ta lấy số bị trừ trừ đi hiệu
+ Muốn tìm số bị chia ta lấy thương nhân với số chia.
Lời giải chi tiết:


Tìm x:

Phương pháp giải:
- Tìm x theo quy tắc:
+ Muốn tìm thừa số chưa biết ta lấy tích chia cho thừa số đã biết.
+ Muốn tìm số trừ ta lấy số bị trừ trừ đi hiệu
+ Muốn tìm số bị chia ta lấy thương nhân với số chia.
Lời giải chi tiết:


Một cửa hàng xăng dầu ngày thứ nhất bán được $\frac{2}{5}$số lít xăng trong bể chứa, ngày thứ hai bán được $\frac{4}{{15}}$số lít xăng trong bể chứa. Hỏi trung bình mỗi ngày cửa hàng xăng dầu đó bán được bao nhiêu phần số lít xăng trong bể chứa?
Phương pháp giải:
Trung bình mỗi ngày cửa hàng đó bán được = (số lít bán ngày thứ nhất + số lít bán ngày thứ hai) : 2
Lời giải chi tiết:
Trung bình mỗi ngày cửa hàng xăng dầu đó bán được số phần lít xăng trong bể chứa là:
$\left( {\frac{2}{5} + \frac{4}{{15}}} \right):2 = \frac{1}{3}$ (số lít xăng)
Đáp số: $\frac{1}{3}$số lít xăng
Viết các hỗn số sau dưới dạng số thập phân:

Phương pháp giải:
Áp dụng cách viết:

Lời giải chi tiết:

Hoàn thành bảng sau (theo mẫu):

Phương pháp giải:
Xác định hàng của chữ số 6 và giá trị của chữ số đó theo mẫu.
Lời giải chi tiết:

Viết các số thập phân sau thành hỗn số có chứa phân số thập phân:

Phương pháp giải:
Áp dụng cách viết:

Lời giải chi tiết:

Thực hiện các yêu cầu sau:
a) Viết phân số $\frac{7}{2}$dưới dạng phân số thập phân có mẫu số là 10 và có mẫu số là 100.
b) Viết hai phân số thập phân tìm được ở trên thành hai số thập phân
c) Có thể viết $\frac{7}{2}$thành những số thập phân nào?
Phương pháp giải:
Nhân cả tử và mẫu số của phân số $\frac{7}{2}$với một số thích hợp để được phân số thập phân có mẫu số là 10 và có mẫu số là 100
Lời giải chi tiết:
a) $\frac{7}{2} = \frac{{35}}{{10}}$ ;
$\frac{7}{2} = \frac{{350}}{{100}}$
b) $\frac{{35}}{{10}} = 3,5$;
$\frac{{350}}{{100}} = 3,50$
c) $\frac{7}{2} = 3,5 = 3,50 = 3,500 = 3,5000 = ....$
Phần B. Kết nối trang 29 trong sách Bài tập phát triển năng lực Toán 5 tập trung vào việc rèn luyện các kỹ năng giải toán thực tế, áp dụng kiến thức đã học vào các tình huống cụ thể. Các bài tập thường mang tính ứng dụng cao, đòi hỏi học sinh phải tư duy logic và có khả năng phân tích vấn đề.
Bài 1 yêu cầu học sinh giải một bài toán về tỉ số. Để giải bài toán này, các em cần nắm vững khái niệm tỉ số, cách tìm tỉ số của hai đại lượng và cách sử dụng tỉ số để giải quyết các bài toán thực tế.
Bài 2 yêu cầu học sinh giải một bài toán về phần trăm. Để giải bài toán này, các em cần nắm vững khái niệm phần trăm, cách tính phần trăm của một số và cách sử dụng phần trăm để giải quyết các bài toán thực tế.
Ví dụ, để tính 20% của 100, ta thực hiện phép tính: 20/100 * 100 = 20.
Bài 3 yêu cầu học sinh giải một bài toán về tốc độ. Để giải bài toán này, các em cần nắm vững công thức tính tốc độ: Tốc độ = Quãng đường / Thời gian.
Ngoài ra, các em cũng cần chú ý đến việc đổi đơn vị thời gian và quãng đường cho phù hợp.
Bài 4 yêu cầu học sinh giải một bài toán về diện tích. Để giải bài toán này, các em cần nắm vững công thức tính diện tích của các hình học cơ bản như hình vuông, hình chữ nhật, hình tam giác.
Ví dụ, diện tích hình chữ nhật được tính bằng công thức: Diện tích = Chiều dài * Chiều rộng.
Bài 5 yêu cầu học sinh giải một bài toán về thể tích. Để giải bài toán này, các em cần nắm vững công thức tính thể tích của các hình học cơ bản như hình hộp chữ nhật, hình lập phương.
Ví dụ, thể tích hình hộp chữ nhật được tính bằng công thức: Thể tích = Chiều dài * Chiều rộng * Chiều cao.
Luyện tập thường xuyên là yếu tố quan trọng để nắm vững kiến thức và kỹ năng giải toán. Hãy dành thời gian giải các bài tập khác nhau để rèn luyện khả năng tư duy và giải quyết vấn đề.
Hy vọng bài hướng dẫn giải phần B. Kết nối trang 29 Toán 5 này sẽ giúp các em học sinh hiểu rõ hơn về các bài tập và tự tin hơn trong quá trình học tập. Chúc các em học tốt!