Chào mừng các em học sinh lớp 5 đến với bài giải chi tiết phần B của bài tập phát triển năng lực Toán 5, trang 33. Bài viết này sẽ cung cấp cho các em lời giải chính xác, dễ hiểu, giúp các em nắm vững kiến thức và rèn luyện kỹ năng giải toán.
Giaibaitoan.com luôn đồng hành cùng các em trên con đường chinh phục môn Toán, mang đến những giải pháp học tập hiệu quả và thú vị.
Điền dấu >, <, = thích hợp vào chỗ chấm: Tìm số tự nhiên x thỏa mãn:
Tìm số tự nhiên x thỏa mãn:
a) 1,23 < x < 2,13
b) 47,8 > x > 45,6
c) 164,32 < x < 169,9
Phương pháp giải:
Tìm số tự nhiên thỏa mãn yêu cầu của đề bài.
Lời giải chi tiết:
a) 1,23 < x < 2,13
Vậy x = 2
b) 47,8 > x > 45,6
Vậy x = 46 hoặc x = 47
c) 164,32 < x < 169,9
Vậy x = 165 ; 166 ; 167 ; 168 hoặc 169
Tìm số thập phân có một chữ số ở phần thập phân thỏa mãn:
a) 34,12 < x < 34,56
b) 9,86 < x < 9,45
c) 12 < x < 13
Phương pháp giải:
Áp dụng quy tắc so sánh hai số thập phân:
+ So sánh các phần nguyên của hai số đó như so sánh hai số tự nhiên, số thập phân nào có phần nguyên lớn hơn thì số đó lớn hơn.
+ Nếu phần nguyên của hai số đó bằng nhau thì ta so sánh phần thập phân, lần lượt từ hàng phần mười, hàng phần trăm, hàng phần nghìn ...
Lời giải chi tiết:
a) 34,12 < x < 34,56
Vậy x = 34,2 ; 34,3 ; 34,4 hoặc 34,5
b) 9,86 > x > 9,45
Vậy x = 9,8 ; 9,7 ; 9,6 hoặc 9,5
c) 12 < x < 13
Vậy x = 12,1 ; 12,2 ; 12,3 ; 12,4 ; 12,5 ; 12,6 ; 12,7 ; 12,8 ; 12,9
Tìm hai số tự nhiên x, y liên tiếp sao cho:
a) x < 20,3 < y
b) x < 16,78 < y
Phương pháp giải:
Dựa vào cách so sánh số thập phân để tìm giá trị thích hợp của x, y.
Lời giải chi tiết:
a) x < 20,3 < y
Ta có 20 < 20,3 < 21
Vậy x = 20, y = 21
b) x < 16,78 < y
Ta có 16 < 16,78 < 17
Vậy x = 16, y = 17
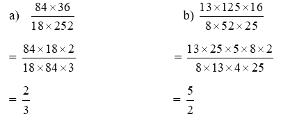
Tính bằng cách thuận tiện:
a) $\frac{{84 \times 36}}{{18 \times 252}}$
b) $\frac{{13 \times 125 \times 16}}{{8 \times 52 \times 25}}$
Phương pháp giải:
Tách tích ở tử số thành tích của các thừa số, sau đó lần lượt chia tử số và mẫu số cho các thừa số chung.
Lời giải chi tiết:

Viết chữ số thích hợp vào chỗ chấm:
34,….67 < 34,167 231,45 = 231,4…..
12…,321 < 121,321 26,3…6 > 26,386
345,4…5 = 345,…25 461,2…4 < 461,214
Phương pháp giải:
Nếu phần nguyên của hai số đó bằng nhau thì ta so sánh phần thập phân, lần lượt từ hàng phần mười, hàng phần trăm, hàng phần nghìn ... đến cùng một hàng nào đó, số thập phân nào có chữ số ở hàng tương ứng lớn hơn thì số đó lớn hơn.
Lời giải chi tiết:

Điền dấu >, <, = thích hợp vào chỗ chấm:

Phương pháp giải:
So sánh các số thập phân rồi điền dấu thích hợp vào chỗ chấm.
Lời giải chi tiết:

Điền dấu >, <, = thích hợp vào chỗ chấm:

Phương pháp giải:
So sánh các số thập phân rồi điền dấu thích hợp vào chỗ chấm.
Lời giải chi tiết:

Viết chữ số thích hợp vào chỗ chấm:
34,….67 < 34,167 231,45 = 231,4…..
12…,321 < 121,321 26,3…6 > 26,386
345,4…5 = 345,…25 461,2…4 < 461,214
Phương pháp giải:
Nếu phần nguyên của hai số đó bằng nhau thì ta so sánh phần thập phân, lần lượt từ hàng phần mười, hàng phần trăm, hàng phần nghìn ... đến cùng một hàng nào đó, số thập phân nào có chữ số ở hàng tương ứng lớn hơn thì số đó lớn hơn.
Lời giải chi tiết:

Tìm số tự nhiên x thỏa mãn:
a) 1,23 < x < 2,13
b) 47,8 > x > 45,6
c) 164,32 < x < 169,9
Phương pháp giải:
Tìm số tự nhiên thỏa mãn yêu cầu của đề bài.
Lời giải chi tiết:
a) 1,23 < x < 2,13
Vậy x = 2
b) 47,8 > x > 45,6
Vậy x = 46 hoặc x = 47
c) 164,32 < x < 169,9
Vậy x = 165 ; 166 ; 167 ; 168 hoặc 169
Tìm số thập phân có một chữ số ở phần thập phân thỏa mãn:
a) 34,12 < x < 34,56
b) 9,86 < x < 9,45
c) 12 < x < 13
Phương pháp giải:
Áp dụng quy tắc so sánh hai số thập phân:
+ So sánh các phần nguyên của hai số đó như so sánh hai số tự nhiên, số thập phân nào có phần nguyên lớn hơn thì số đó lớn hơn.
+ Nếu phần nguyên của hai số đó bằng nhau thì ta so sánh phần thập phân, lần lượt từ hàng phần mười, hàng phần trăm, hàng phần nghìn ...
Lời giải chi tiết:
a) 34,12 < x < 34,56
Vậy x = 34,2 ; 34,3 ; 34,4 hoặc 34,5
b) 9,86 > x > 9,45
Vậy x = 9,8 ; 9,7 ; 9,6 hoặc 9,5
c) 12 < x < 13
Vậy x = 12,1 ; 12,2 ; 12,3 ; 12,4 ; 12,5 ; 12,6 ; 12,7 ; 12,8 ; 12,9
Tìm hai số tự nhiên x, y liên tiếp sao cho:
a) x < 20,3 < y
b) x < 16,78 < y
Phương pháp giải:
Dựa vào cách so sánh số thập phân để tìm giá trị thích hợp của x, y.
Lời giải chi tiết:
a) x < 20,3 < y
Ta có 20 < 20,3 < 21
Vậy x = 20, y = 21
b) x < 16,78 < y
Ta có 16 < 16,78 < 17
Vậy x = 16, y = 17
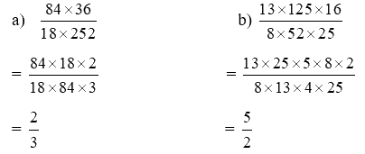
Tính bằng cách thuận tiện:
a) $\frac{{84 \times 36}}{{18 \times 252}}$
b) $\frac{{13 \times 125 \times 16}}{{8 \times 52 \times 25}}$
Phương pháp giải:
Tách tích ở tử số thành tích của các thừa số, sau đó lần lượt chia tử số và mẫu số cho các thừa số chung.
Lời giải chi tiết:

Phần B của bài tập phát triển năng lực Toán 5 trang 33 tập trung vào việc củng cố kiến thức về các phép tính với số thập phân, đặc biệt là phép nhân và phép chia số thập phân. Các bài tập được thiết kế để giúp học sinh vận dụng kiến thức đã học vào giải quyết các bài toán thực tế, từ đó nâng cao khả năng tư duy logic và kỹ năng giải quyết vấn đề.
Phần B bao gồm các bài tập với nhiều dạng khác nhau, yêu cầu học sinh:
Để tính nhẩm nhanh các phép nhân và chia số thập phân với 10, 100, 1000, các em chỉ cần di chuyển dấu phẩy sang phải (khi nhân) hoặc sang trái (khi chia) một số đơn vị bằng số lượng chữ số 0 trong số 10, 100, 1000.
Ví dụ: 3,5 x 10 = 35; 12,4 : 100 = 0,124
Khi giải bài toán có lời văn, các em cần:
Ví dụ: Một cửa hàng bán được 25,5 kg gạo trong một ngày. Hỏi cửa hàng đó bán được bao nhiêu ki-lô-gam gạo trong 5 ngày?
Giải:
Số ki-lô-gam gạo cửa hàng bán được trong 5 ngày là: 25,5 x 5 = 127,5 (kg)
Đáp số: 127,5 kg
Để tìm x trong các biểu thức chứa phép nhân và chia số thập phân, các em cần sử dụng các quy tắc sau:
Ví dụ: x x 2,5 = 10
Giải:
x = 10 : 2,5 = 4
Các bài toán ứng dụng giúp các em hiểu rõ hơn về cách sử dụng số thập phân trong cuộc sống hàng ngày. Các em cần đọc kỹ đề bài, xác định các thông tin liên quan và lựa chọn phép tính phù hợp để giải quyết bài toán.
Sách giáo khoa Toán 5 Kết Nối tri thức với cuộc sống
Sách bài tập Toán 5 Kết Nối tri thức với cuộc sống
Các trang web học toán online uy tín
Hy vọng với bài giải chi tiết này, các em học sinh lớp 5 sẽ tự tin hơn khi giải các bài tập phần B trang 33 Bài tập phát triển năng lực Toán 5. Chúc các em học tập tốt và đạt kết quả cao!