Chào mừng các em học sinh lớp 5 đến với chuyên mục giải bài tập Toán 5 Kết Nối trên giaibaitoan.com. Chúng tôi cung cấp lời giải chi tiết, dễ hiểu cho tất cả các bài tập trong sách Toán 5 Kết Nối, giúp các em nắm vững kiến thức và tự tin hơn trong học tập.
Ở bài viết này, chúng ta sẽ cùng nhau giải phần B. Kết nối trang 3, tập trung vào việc rèn luyện và phát triển năng lực toán học cần thiết cho các em.
Khoanh vào chữ đặt trước câu trả lời đúng: a) Trong các phân số sau, phân số nào bằng phân số 3/4 là: Viết các phân số sau thành phân số thập phân: 7/2 ...
Lớp 5A có 45 học sinh. Trong đợt kiểm tra sức khỏe đầu năm có \(\frac{1}{3}\) số học sinh có cân nặng dưới 35 kg, \(\frac{2}{5}\) số học sinh có cân nặng từ 35 kg đến 40 kg. Còn lại là học sinh có cân nặng trên 40 kg. Hỏi:
a) Lớp 5A có bao nhiêu học sinh có cân nặng dưới 35 kg? Bao nhiêu học sinh có cân nặng từ 35 kg đến 40 kg?
b) Lớp 5A có bao nhiêu học sinh có cân nặng trên 40 kg?
Phương pháp giải:
a) Số học sinh nặng dưới 35 kg = số học sinh cả lớp nhân với \(\frac{1}{3}\)
Số học sinh nặng từ 35 kg đến 40 kg = số học sinh cả lớp nhân với \(\frac{2}{5}\)
b) Số học sinh nặng trên 40 kg = số học sinh cả lớp – (số học sinh nặng dưới 35 kg + số học sinh nặng từ 35 kg đến 40 kg)
Lời giải chi tiết:
a) Số học sinh nặng dưới 35 kg là:
\(45 \times \frac{1}{3} = 15\) (học sinh)
Số học sinh nặng từ 35 kg đến 40 kg là:
\(45 \times \frac{2}{5} = 18\) (học sinh)
b) Số học sinh nặng trên 40 kg là:
45 – (15 + 18) = 12 (học sinh)
Đáp số: a) 15 học sinh; 18 học sinh
b) 12 học sinh
Viết các phân số sau thành phân số thập phân:

Phương pháp giải:
Nhân hoặc chia cả tử số và mẫu số của các phân số đã cho với một số thích hợp để được phân số có mẫu là 10; 100; 1000; ....
Lời giải chi tiết:

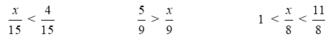
Tìm các số tự nhiên x khác 0 thỏa mãn:

Phương pháp giải:
Dựa vào cách so sánh hai phân số để tìm ra số tự nhiên x thỏa mãn.
Lời giải chi tiết:

Khoanh vào chữ đặt trước câu trả lời đúng:

Phương pháp giải:
Phân số thập phân là các phân số có mẫu số là 10; 100; 1000; ...
Lời giải chi tiết:

Quy đồng mẫu số các phân số:

Phương pháp giải:
- Chọn mẫu số chung nhỏ nhất.
- Lấy mẫu số chung nhỏ nhất chia cho mẫu số của phân số cần quy đồng.
- Nhân cả tử và mẫu của phân số với số vừa tìm được.
Lời giải chi tiết:

Khoanh vào chữ đặt trước câu trả lời đúng:

Phương pháp giải:
a) Nếu nhân cả tử số và mẫu số của một phân số với cùng một số tự nhiên khác 0 thì được một phân số bằng phân số đã cho. b) Quy đồng rồi so sánh các phân số đã cho để tìm phân số bé nhất.
c) Khi quy đồng mẫu số hai phân số có thể làm như sau:
- Lấy tử số và mẫu số của phân số thứ nhất nhân với mẫu số của phân số thứ hai.
- Lấy tử số và mẫu số của phân số thứ hai nhân với mẫu số của phân số thứ nhất.
Lời giải chi tiết:

Sắp xếp các phân số sau theo thứ tự từ lớn đến bé:

Phương pháp giải:
Quy đồng mẫu số các phân số rồi so sánh.
Lời giải chi tiết:


Khoanh vào chữ đặt trước câu trả lời đúng:

Phương pháp giải:
a) Nếu nhân cả tử số và mẫu số của một phân số với cùng một số tự nhiên khác 0 thì được một phân số bằng phân số đã cho. b) Quy đồng rồi so sánh các phân số đã cho để tìm phân số bé nhất.
c) Khi quy đồng mẫu số hai phân số có thể làm như sau:
- Lấy tử số và mẫu số của phân số thứ nhất nhân với mẫu số của phân số thứ hai.
- Lấy tử số và mẫu số của phân số thứ hai nhân với mẫu số của phân số thứ nhất.
Lời giải chi tiết:

Quy đồng mẫu số các phân số:

Phương pháp giải:
- Chọn mẫu số chung nhỏ nhất.
- Lấy mẫu số chung nhỏ nhất chia cho mẫu số của phân số cần quy đồng.
- Nhân cả tử và mẫu của phân số với số vừa tìm được.
Lời giải chi tiết:

Sắp xếp các phân số sau theo thứ tự từ lớn đến bé:

Phương pháp giải:
Quy đồng mẫu số các phân số rồi so sánh.
Lời giải chi tiết:


Tìm các số tự nhiên x khác 0 thỏa mãn:

Phương pháp giải:
Dựa vào cách so sánh hai phân số để tìm ra số tự nhiên x thỏa mãn.
Lời giải chi tiết:

Khoanh vào chữ đặt trước câu trả lời đúng:

Phương pháp giải:
Phân số thập phân là các phân số có mẫu số là 10; 100; 1000; ...
Lời giải chi tiết:

Viết các phân số sau thành phân số thập phân:

Phương pháp giải:
Nhân hoặc chia cả tử số và mẫu số của các phân số đã cho với một số thích hợp để được phân số có mẫu là 10; 100; 1000; ....
Lời giải chi tiết:

Lớp 5A có 45 học sinh. Trong đợt kiểm tra sức khỏe đầu năm có \(\frac{1}{3}\) số học sinh có cân nặng dưới 35 kg, \(\frac{2}{5}\) số học sinh có cân nặng từ 35 kg đến 40 kg. Còn lại là học sinh có cân nặng trên 40 kg. Hỏi:
a) Lớp 5A có bao nhiêu học sinh có cân nặng dưới 35 kg? Bao nhiêu học sinh có cân nặng từ 35 kg đến 40 kg?
b) Lớp 5A có bao nhiêu học sinh có cân nặng trên 40 kg?
Phương pháp giải:
a) Số học sinh nặng dưới 35 kg = số học sinh cả lớp nhân với \(\frac{1}{3}\)
Số học sinh nặng từ 35 kg đến 40 kg = số học sinh cả lớp nhân với \(\frac{2}{5}\)
b) Số học sinh nặng trên 40 kg = số học sinh cả lớp – (số học sinh nặng dưới 35 kg + số học sinh nặng từ 35 kg đến 40 kg)
Lời giải chi tiết:
a) Số học sinh nặng dưới 35 kg là:
\(45 \times \frac{1}{3} = 15\) (học sinh)
Số học sinh nặng từ 35 kg đến 40 kg là:
\(45 \times \frac{2}{5} = 18\) (học sinh)
b) Số học sinh nặng trên 40 kg là:
45 – (15 + 18) = 12 (học sinh)
Đáp số: a) 15 học sinh; 18 học sinh
b) 12 học sinh
Phần B. Kết nối trang 3 trong sách Toán 5 Kết Nối tập trung vào việc củng cố kiến thức về các phép tính với số tự nhiên, đặc biệt là phép cộng, trừ, nhân, chia và các tính chất của chúng. Các bài tập trong phần này được thiết kế để giúp học sinh vận dụng kiến thức đã học vào giải quyết các bài toán thực tế, từ đó phát triển tư duy logic và khả năng giải quyết vấn đề.
Phần B bao gồm một số bài tập với các dạng khác nhau, yêu cầu học sinh thực hiện các thao tác toán học khác nhau. Dưới đây là phân tích chi tiết từng bài tập:
Bài tập này yêu cầu học sinh tính nhẩm nhanh các phép tính cộng, trừ, nhân, chia với số tự nhiên. Mục đích của bài tập là giúp học sinh rèn luyện kỹ năng tính toán nhanh và chính xác. Để giải bài tập này, học sinh cần nắm vững bảng cửu chương và các quy tắc tính toán cơ bản.
Bài tập này yêu cầu học sinh giải các bài toán có lời văn liên quan đến các phép tính với số tự nhiên. Để giải bài tập này, học sinh cần đọc kỹ đề bài, xác định đúng các yếu tố quan trọng và lựa chọn phép tính phù hợp để giải quyết bài toán. Ngoài ra, học sinh cũng cần kiểm tra lại kết quả để đảm bảo tính chính xác.
Bài tập này yêu cầu học sinh tìm số thích hợp để điền vào chỗ trống trong các biểu thức toán học. Để giải bài tập này, học sinh cần hiểu rõ các quy tắc tính toán và vận dụng kiến thức đã học để tìm ra số thích hợp.
Để giải các bài tập trong phần B. Kết nối trang 3 một cách hiệu quả, học sinh có thể áp dụng một số phương pháp sau:
Bài tập: Một cửa hàng có 25 kg gạo. Buổi sáng cửa hàng bán được 12 kg gạo, buổi chiều bán được 8 kg gạo. Hỏi cửa hàng còn lại bao nhiêu kg gạo?
Giải:
Để củng cố kiến thức và rèn luyện kỹ năng giải bài tập, học sinh có thể tự giải thêm các bài tập tương tự trong sách Toán 5 Kết Nối hoặc trên các trang web học toán online. Việc luyện tập thường xuyên sẽ giúp học sinh nắm vững kiến thức và tự tin hơn trong học tập.
Phần B. Kết nối trang 3 trong sách Toán 5 Kết Nối là một phần quan trọng giúp học sinh củng cố kiến thức và phát triển năng lực toán học. Bằng cách nắm vững các kiến thức cơ bản, áp dụng các phương pháp giải bài tập hiệu quả và luyện tập thường xuyên, học sinh có thể tự tin giải quyết các bài tập trong phần này và đạt kết quả tốt trong môn Toán.
| Bài tập | Mục tiêu | Phương pháp giải |
|---|---|---|
| Bài 1: Tính nhẩm nhanh | Rèn luyện kỹ năng tính toán nhanh | Nắm vững bảng cửu chương, quy tắc tính toán |
| Bài 2: Giải bài toán có lời văn | Vận dụng kiến thức vào thực tế | Đọc kỹ đề, xác định yếu tố, chọn phép tính |
| Bài 3: Tìm số thích hợp | Hiểu rõ quy tắc tính toán | Vận dụng kiến thức đã học |