Chào mừng các em học sinh lớp 3 đến với bài giải bài 15: Luyện tập chung (tiết 1) trang 41 Vở bài tập Toán 3 - Kết nối tri thức. Bài học này giúp các em củng cố kiến thức đã học về các phép tính cộng, trừ, nhân, chia và ứng dụng vào giải quyết các bài toán thực tế.
Giaibaitoan.com cung cấp lời giải chi tiết, dễ hiểu, giúp các em tự tin làm bài tập và nâng cao kết quả học tập môn Toán.
Tô màu vào những đám mây ghi phép tính có kết quả bé hơn 7.
Mai xếp mỗi bàn 6 cái li và xếp 8 bàn như vậy. Hỏi Mai xếp tất cả bao nhiêu cái li?
Phương pháp giải:
Số cái li Mai xếp = Số cái li mỗi bàn x Số cái bàn
Lời giải chi tiết:
Tóm tắt:
1 bàn: 6 cái
8 bàn: ….. cái?
Bài giải
Mai xếp tất cả số cái li là
6 x 8 = 48 (cái li)
Đáp số: 48 cái li
Tính nhẩm.

Phương pháp giải:
Tính nhẩm dựa vào bảng nhân đã học.
Lời giải chi tiết:

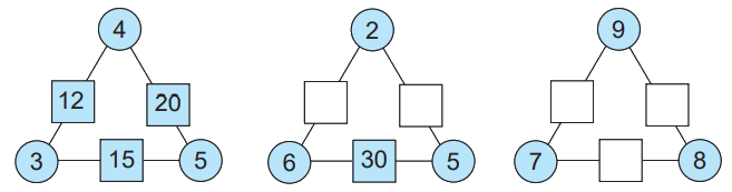
Số ?

Phương pháp giải:
Bước 1: Quan sát ta nhận thấy quy luật: Trên mỗi cạnh của tam giác, tích của hai số trong hình tròn chính bằng số trong hình vuông.
Bước 2: Tính nhẩm để điền số thích hợp vào ô trống.
Lời giải chi tiết:
Quan sát ta nhận thấy quy luật: Trên mỗi cạnh của tam giác, tích của hai số trong hình tròn chính bằng số ở giữa.
Ta điền như sau:

Số?

Phương pháp giải:
- Để tìm thừa số ta lấy tích chia cho thừa số kia.
- Để tìm số bị chia ta lấy thương nhân với số chia.
- Để tìm số chia ta lấy số bị chia chia cho thương.
Lời giải chi tiết:

Tô màu vào những đám mây ghi phép tính có kết quả bé hơn 7.

Phương pháp giải:
- Bước 1: Tính nhẩm dựa vào bảng chia đã học.
- Bước 2: Tô màu những đám mây ghi phép tính có kết quả bé hơn 7.
Lời giải chi tiết:
28 : 7 = 4 48 : 8 = 6
35 : 5 = 7 72 : 9 = 8
45 : 9 = 5
Những phép tính có kết quả bé hơn 7 là:
28 : 7 ; 45 : 9 ; 48 : 8

Tính nhẩm.

Phương pháp giải:
Tính nhẩm dựa vào bảng nhân đã học.
Lời giải chi tiết:

Tô màu vào những đám mây ghi phép tính có kết quả bé hơn 7.

Phương pháp giải:
- Bước 1: Tính nhẩm dựa vào bảng chia đã học.
- Bước 2: Tô màu những đám mây ghi phép tính có kết quả bé hơn 7.
Lời giải chi tiết:
28 : 7 = 4 48 : 8 = 6
35 : 5 = 7 72 : 9 = 8
45 : 9 = 5
Những phép tính có kết quả bé hơn 7 là:
28 : 7 ; 45 : 9 ; 48 : 8

Số?

Phương pháp giải:
- Để tìm thừa số ta lấy tích chia cho thừa số kia.
- Để tìm số bị chia ta lấy thương nhân với số chia.
- Để tìm số chia ta lấy số bị chia chia cho thương.
Lời giải chi tiết:

Mai xếp mỗi bàn 6 cái li và xếp 8 bàn như vậy. Hỏi Mai xếp tất cả bao nhiêu cái li?
Phương pháp giải:
Số cái li Mai xếp = Số cái li mỗi bàn x Số cái bàn
Lời giải chi tiết:
Tóm tắt:
1 bàn: 6 cái
8 bàn: ….. cái?
Bài giải
Mai xếp tất cả số cái li là
6 x 8 = 48 (cái li)
Đáp số: 48 cái li
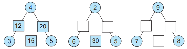
Số ?

Phương pháp giải:
Bước 1: Quan sát ta nhận thấy quy luật: Trên mỗi cạnh của tam giác, tích của hai số trong hình tròn chính bằng số trong hình vuông.
Bước 2: Tính nhẩm để điền số thích hợp vào ô trống.
Lời giải chi tiết:
Quan sát ta nhận thấy quy luật: Trên mỗi cạnh của tam giác, tích của hai số trong hình tròn chính bằng số ở giữa.
Ta điền như sau:

Bài 15: Luyện tập chung (tiết 1) trang 41 Vở bài tập Toán 3 - Kết nối tri thức là một bài tập quan trọng giúp học sinh ôn lại và củng cố các kiến thức đã học trong chương. Bài tập bao gồm nhiều dạng toán khác nhau, đòi hỏi học sinh phải vận dụng linh hoạt các kiến thức đã học để giải quyết.
Bài tập Luyện tập chung (tiết 1) trang 41 Vở bài tập Toán 3 - Kết nối tri thức bao gồm các dạng bài tập sau:
Dưới đây là hướng dẫn giải chi tiết từng bài tập trong bài 15: Luyện tập chung (tiết 1) trang 41 Vở bài tập Toán 3 - Kết nối tri thức:
a) 345 + 213 = ?
Hướng dẫn: Thực hiện phép cộng các số theo hàng, bắt đầu từ hàng đơn vị.
Giải: 345 + 213 = 558
b) 678 - 456 = ?
Hướng dẫn: Thực hiện phép trừ các số theo hàng, bắt đầu từ hàng đơn vị.
Giải: 678 - 456 = 222
a) 234 x 3 = ?
Hướng dẫn: Thực hiện phép nhân các số theo hàng.
Giải: 234 x 3 = 702
b) 846 : 2 = ?
Hướng dẫn: Thực hiện phép chia các số theo hàng.
Giải: 846 : 2 = 423
Một cửa hàng có 456 kg gạo. Buổi sáng cửa hàng bán được 123 kg gạo, buổi chiều bán được 135 kg gạo. Hỏi cửa hàng còn lại bao nhiêu kg gạo?
Hướng dẫn: Bài toán yêu cầu tìm số gạo còn lại sau khi bán. Ta thực hiện phép trừ số gạo đã bán khỏi tổng số gạo ban đầu.
Giải:
Tổng số gạo đã bán là: 123 + 135 = 258 (kg)
Số gạo còn lại là: 456 - 258 = 198 (kg)
Đáp số: 198 kg
Để giải bài tập Luyện tập chung (tiết 1) trang 41 Vở bài tập Toán 3 - Kết nối tri thức một cách hiệu quả, các em có thể tham khảo các mẹo sau:
Để củng cố kiến thức và rèn luyện kỹ năng giải toán, các em có thể tự tìm thêm các bài tập tương tự để luyện tập. Ngoài ra, các em cũng có thể tham khảo các tài liệu học tập khác như sách giáo khoa, sách bài tập, các trang web học toán online.
Bài 15: Luyện tập chung (tiết 1) trang 41 Vở bài tập Toán 3 - Kết nối tri thức là một bài tập quan trọng giúp học sinh củng cố kiến thức và rèn luyện kỹ năng giải toán. Hy vọng với hướng dẫn chi tiết và các mẹo giải bài tập hiệu quả, các em sẽ tự tin làm bài tập và đạt kết quả tốt.