Bài học hôm nay, chúng ta sẽ cùng nhau khám phá cách nhân và chia các số thập phân với 10, 100, 1000 và các lũy thừa của 10 khác, cũng như với 0,1; 0,01; 0,001. Đây là một kỹ năng quan trọng trong chương trình Toán 5, giúp các em học sinh làm quen với các phép tính số thập phân một cách dễ dàng và hiệu quả.
giaibaitoan.com sẽ cung cấp lời giải chi tiết, dễ hiểu cho từng bài tập trong VBT Toán 5, giúp các em nắm vững kiến thức và tự tin giải quyết các bài toán tương tự.
Tính nhẩm:
Giải Bài 1 trang 78 VBT Toán 5 tập 1 – Kết nối tri thức với cuộc sống
Tính nhẩm:
a) 2,3 : 10 = …………. | 4 320 : 100 = …………. | 100 : 1 000 = …………. |
b) 0,8 : 0,1 = …………. | 29 : 0,01 = …………. | 103 : 0,001 = …………. |
Phương pháp giải:
- Muốn chia một số thập phân cho 10; 100; 1 000; ... ta chuyển dấu phẩy của số đó lần lượt sang bên trái một, hai, ba, ... chữ số.
- Muốn chia một số thập phân cho 0,1; 0,001; 0,0001; ... ta chuyển dấu phẩy của số đó lần lượt sang bên phải một, hai, ba, ... chữ số.
Lời giải chi tiết:
a) 2,3 : 10 = 0,23 | 4 320 : 100 = 43,2 | 100 : 1 000 = 0,1 |
b) 0,8 : 0,1 = 8 | 29 : 0,01 = 2 900 | 103 : 0,001 = 103 000 |
Giải Bài 2 trang 78 VBT Toán 5 tập 1 – Kết nối tri thức với cuộc sống
Viết số thập phân thích hợp vào chỗ chấm.
a) 23 kg = ………………. tạ
b) 145 g = ………………. kg
c) 1 293 kg = ……………. yến
Phương pháp giải:
Áp dụng cách đổi: 1 kg = $\frac{1}{{100}}$ tạ = $\frac{1}{{10}}$ yến; 1 g = $\frac{1}{{1000}}$ kg
Lời giải chi tiết:
Viết số thập phân thích hợp vào chỗ chấm.
a) 23 kg = 0,23 tạ
b) 145 g = 0,145 kg
c) 1 293 kg = 129,3 yến
Giải Bài 4 trang 78 VBT Toán 5 tập 1 – Kết nối tri thức với cuộc sống
Biết 100 ha ruộng muối cho sản lượng 1 720 tấn muối. Hỏi trung bình mỗi héc-ta ruộng muối cho sản lượng bao nhiêu tấn muối?
Phương pháp giải:
Trung bình mỗi héc ta thu hoạch được số tấn muối = tổng sản lượng muối : 100 ha
Lời giải chi tiết:
Trung bình mỗi héc-ta muối cho sản lượng số tấn muối là:
1 720 : 100 = 17,2 (tấn)
Đáp số: 17,2 tấn muối
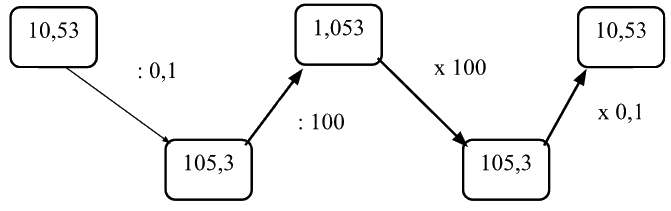
Giải Bài 3 trang 78 VBT Toán 5 tập 1 – Kết nối tri thức với cuộc sống
Viết số thích hợp vào ô trống.

Phương pháp giải:
- Muốn chia một số thập phân cho 10; 100; 1 000; ... ta chuyển dấu phẩy của số đó lần lượt sang bên trái một, hai, ba, ... chữ số.
- Muốn chia một số thập phân cho 0,1; 0,001; 0,0001; ... ta chuyển dấu phẩy của số đó lần lượt sang bên phải một, hai, ba, ... chữ số.
- Muốn nhân một số thập phân với 10; 100; 1 000; ...ta chuyển dấu phẩy của số đó lần lượt sang bên phải một, hai, ba, ... chữ số.
- Muốn nhân một số thập phân với 0,1; 0,01; 0,001; ... ta chuyển dấu phẩy của số đó lần lượt sang bên trái một, hai, ba, ... chữ số.
Lời giải chi tiết:

Giải Bài 1 trang 78 VBT Toán 5 tập 1 – Kết nối tri thức với cuộc sống
Tính nhẩm:
a) 2,3 : 10 = …………. | 4 320 : 100 = …………. | 100 : 1 000 = …………. |
b) 0,8 : 0,1 = …………. | 29 : 0,01 = …………. | 103 : 0,001 = …………. |
Phương pháp giải:
- Muốn chia một số thập phân cho 10; 100; 1 000; ... ta chuyển dấu phẩy của số đó lần lượt sang bên trái một, hai, ba, ... chữ số.
- Muốn chia một số thập phân cho 0,1; 0,001; 0,0001; ... ta chuyển dấu phẩy của số đó lần lượt sang bên phải một, hai, ba, ... chữ số.
Lời giải chi tiết:
a) 2,3 : 10 = 0,23 | 4 320 : 100 = 43,2 | 100 : 1 000 = 0,1 |
b) 0,8 : 0,1 = 8 | 29 : 0,01 = 2 900 | 103 : 0,001 = 103 000 |
Giải Bài 2 trang 78 VBT Toán 5 tập 1 – Kết nối tri thức với cuộc sống
Viết số thập phân thích hợp vào chỗ chấm.
a) 23 kg = ………………. tạ
b) 145 g = ………………. kg
c) 1 293 kg = ……………. yến
Phương pháp giải:
Áp dụng cách đổi: 1 kg = $\frac{1}{{100}}$ tạ = $\frac{1}{{10}}$ yến; 1 g = $\frac{1}{{1000}}$ kg
Lời giải chi tiết:
Viết số thập phân thích hợp vào chỗ chấm.
a) 23 kg = 0,23 tạ
b) 145 g = 0,145 kg
c) 1 293 kg = 129,3 yến
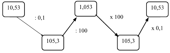
Giải Bài 3 trang 78 VBT Toán 5 tập 1 – Kết nối tri thức với cuộc sống
Viết số thích hợp vào ô trống.

Phương pháp giải:
- Muốn chia một số thập phân cho 10; 100; 1 000; ... ta chuyển dấu phẩy của số đó lần lượt sang bên trái một, hai, ba, ... chữ số.
- Muốn chia một số thập phân cho 0,1; 0,001; 0,0001; ... ta chuyển dấu phẩy của số đó lần lượt sang bên phải một, hai, ba, ... chữ số.
- Muốn nhân một số thập phân với 10; 100; 1 000; ...ta chuyển dấu phẩy của số đó lần lượt sang bên phải một, hai, ba, ... chữ số.
- Muốn nhân một số thập phân với 0,1; 0,01; 0,001; ... ta chuyển dấu phẩy của số đó lần lượt sang bên trái một, hai, ba, ... chữ số.
Lời giải chi tiết:

Giải Bài 4 trang 78 VBT Toán 5 tập 1 – Kết nối tri thức với cuộc sống
Biết 100 ha ruộng muối cho sản lượng 1 720 tấn muối. Hỏi trung bình mỗi héc-ta ruộng muối cho sản lượng bao nhiêu tấn muối?
Phương pháp giải:
Trung bình mỗi héc ta thu hoạch được số tấn muối = tổng sản lượng muối : 100 ha
Lời giải chi tiết:
Trung bình mỗi héc-ta muối cho sản lượng số tấn muối là:
1 720 : 100 = 17,2 (tấn)
Đáp số: 17,2 tấn muối
Bài 23 trong Vở bài tập Toán 5 Kết nối tri thức tập trung vào việc củng cố kỹ năng nhân và chia số thập phân với các lũy thừa của 10. Việc nắm vững quy tắc này là nền tảng quan trọng để giải quyết các bài toán phức tạp hơn về số thập phân trong tương lai.
Trước khi đi vào giải bài tập, chúng ta cần ôn lại lý thuyết cơ bản:
Dưới đây là lời giải chi tiết cho các bài tập trong VBT Toán 5 Kết nối tri thức trang 78:
Các bài tập tính trong bài 2 yêu cầu học sinh áp dụng các quy tắc đã học để thực hiện các phép nhân và chia số thập phân. Ví dụ:
5,67 x 10 = 56,7
123,45 : 10 = 12,345
0,123 x 100 = 12,3
456,78 : 100 = 4,5678
Bài 3 kiểm tra khả năng vận dụng kiến thức của học sinh vào các tình huống thực tế. Ví dụ:
5,6 x ... = 56
... : 10 = 1,23
Để củng cố kiến thức và kỹ năng, các em có thể tự tạo thêm các bài tập tương tự hoặc tìm kiếm các bài tập trực tuyến. Việc luyện tập thường xuyên sẽ giúp các em nắm vững kiến thức và tự tin giải quyết các bài toán về số thập phân.
Ngoài ra, các em có thể tham khảo thêm các tài liệu học tập khác như sách giáo khoa, sách bài tập, và các trang web học toán trực tuyến. giaibaitoan.com luôn đồng hành cùng các em trên con đường chinh phục môn Toán!
Hy vọng với bài viết này, các em học sinh đã hiểu rõ hơn về cách nhân và chia số thập phân với 10, 100, 1000 và các lũy thừa của 10. Chúc các em học tập tốt!