Bài học hôm nay, chúng ta sẽ cùng nhau khám phá về hình thang và cách tính diện tích của nó. Đây là một kiến thức quan trọng trong chương trình Toán 5, giúp các em hiểu rõ hơn về các hình học cơ bản.
giaibaitoan.com sẽ cung cấp lời giải chi tiết, dễ hiểu cho từng bài tập trong Vở bài tập Toán 5 trang 93, giúp các em tự tin hơn trong việc giải toán.
Viết câu trả lời thích hợp vào chỗ chấm.
Giải Bài 1 trang 93 VBT Toán 5 tập 1 – Kết nối tri thức với cuộc sống
Viết câu trả lời thích hợp vào chỗ chấm.
a) Diện tích của hình thang có độ dài hai đáy là 5 cm và 7 cm, chiều cao 4 cm là:
………………………………………………………………………………………………….
b) Diện tích của hình thang có độ dài hai đáy là 12 dm và 8 dm, chiều cao 5 dm là:
………………………………………………………………………………………………….
Phương pháp giải:
Diện tích hình thang: S = $\frac{{(a + b) \times h}}{2}$
Trong đó:
+ S: diện tích
+ a, b: độ dài các đáy
+ h: chiều cao
Lời giải chi tiết:
a) Diện tích của hình thang có độ dài hai đáy là 5 cm và 7 cm, chiều cao 4 cm là:
$$\frac{{(5 + 7) \times 4}}{2} = 24 (cm²)$$
b) Diện tích của hình thang có độ dài hai đáy là 12 dm và 8 dm, chiều cao 5 dm là:
$$\frac{{(12 + 8) \times 5}}{2} = 50 (dm²)$$
Giải Bài 3 trang 94 VBT Toán 5 tập 1 – Kết nối tri thức với cuộc sống
Hình dưới đây cho biết phần trồng lúa và trồng ngô trên một thửa ruộng có dạng hình thang vuông. Tính diện tích thửa ruộng đó.

Phương pháp giải:
Thửa ruộng có hình thang, độ dài đáy lớn = 30 m + 10 m = 40 (m)
Diện tích hình thang: S = $\frac{{(a + b) \times h}}{2}$
Trong đó:
+ S: diện tích
+ a, b: độ dài các đáy
+ h: chiều cao
Lời giải chi tiết:
Độ dài đáy lớn của thửa ruộng hình thang là:
30 + 10 = 40 (m)
$$\frac{{(30 + 40) \times 20}}{2} = 700 (m²)$$
Đáp số: 700 m²
Giải Bài 4 trang 94 VBT Toán 5 tập 1 – Kết nối tri thức với cuộc sống
Khoanh vào chữ đặt trước câu trả lời đúng.

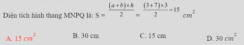
Diện tích hình thang MNPQ là:
A. 15 cm² | B. 30 cm | C. 15 cm | D. 30 cm² |
Phương pháp giải:
Quan sát hình, xác định độ dài các đáy và đường cao sau đó tính diện tích hình thang.
Diện tích hình thang: S = $\frac{{(a + b) \times h}}{2}$
Trong đó:
+ S: diện tích
+ a, b: độ dài các đáy
+ h: chiều cao
Lời giải chi tiết:
Hình thang MNPQ có MN = 3 cm; QP = 7 cm; đường cao = 3 cm

Giải Bài 2 trang 93 VBT Toán 5 tập 1 – Kết nối tri thức với cuộc sống
Viết tiếp vào chỗ chấm cho thích hợp.
Dùng 6 cái bàn giống nhau với mặt bàn hình thang có kích thước như hình 1 để ghép thành một bàn đa năng như hình 2.

Diện tích mặt bàn đa năng là …………………………………………………………….
Phương pháp giải:
Diện tích mặt bàn đa năng = diện tích một mặt bàn hình thang × 6
Diện tích hình thang: S = $\frac{{(a + b) \times h}}{2}$
Trong đó:
+ S: diện tích
+ a, b: độ dài các đáy
+ h: chiều cao
Lời giải chi tiết:
Diện tích một mặt bàn hình thang là: $$\frac{{(50 + 100) \times 45}}{2} = 3375 (cm²)$$
Diện tích mặt bàn đa năng là: 3 375 x 6 = 20 250 ( cm²)
Giải Bài 1 trang 93 VBT Toán 5 tập 1 – Kết nối tri thức với cuộc sống
Viết câu trả lời thích hợp vào chỗ chấm.
a) Diện tích của hình thang có độ dài hai đáy là 5 cm và 7 cm, chiều cao 4 cm là:
………………………………………………………………………………………………….
b) Diện tích của hình thang có độ dài hai đáy là 12 dm và 8 dm, chiều cao 5 dm là:
………………………………………………………………………………………………….
Phương pháp giải:
Diện tích hình thang: S = $\frac{{(a + b) \times h}}{2}$
Trong đó:
+ S: diện tích
+ a, b: độ dài các đáy
+ h: chiều cao
Lời giải chi tiết:
a) Diện tích của hình thang có độ dài hai đáy là 5 cm và 7 cm, chiều cao 4 cm là:
$$\frac{{(5 + 7) \times 4}}{2} = 24 (cm²)$$
b) Diện tích của hình thang có độ dài hai đáy là 12 dm và 8 dm, chiều cao 5 dm là:
$$\frac{{(12 + 8) \times 5}}{2} = 50 (dm²)$$
Giải Bài 2 trang 93 VBT Toán 5 tập 1 – Kết nối tri thức với cuộc sống
Viết tiếp vào chỗ chấm cho thích hợp.
Dùng 6 cái bàn giống nhau với mặt bàn hình thang có kích thước như hình 1 để ghép thành một bàn đa năng như hình 2.

Diện tích mặt bàn đa năng là …………………………………………………………….
Phương pháp giải:
Diện tích mặt bàn đa năng = diện tích một mặt bàn hình thang × 6
Diện tích hình thang: S = $\frac{{(a + b) \times h}}{2}$
Trong đó:
+ S: diện tích
+ a, b: độ dài các đáy
+ h: chiều cao
Lời giải chi tiết:
Diện tích một mặt bàn hình thang là: $$\frac{{(50 + 100) \times 45}}{2} = 3375 (cm²)$$
Diện tích mặt bàn đa năng là: 3 375 x 6 = 20 250 ( cm²)
Giải Bài 3 trang 94 VBT Toán 5 tập 1 – Kết nối tri thức với cuộc sống
Hình dưới đây cho biết phần trồng lúa và trồng ngô trên một thửa ruộng có dạng hình thang vuông. Tính diện tích thửa ruộng đó.

Phương pháp giải:
Thửa ruộng có hình thang, độ dài đáy lớn = 30 m + 10 m = 40 (m)
Diện tích hình thang: S = $\frac{{(a + b) \times h}}{2}$
Trong đó:
+ S: diện tích
+ a, b: độ dài các đáy
+ h: chiều cao
Lời giải chi tiết:
Độ dài đáy lớn của thửa ruộng hình thang là:
30 + 10 = 40 (m)
$$\frac{{(30 + 40) \times 20}}{2} = 700 (m²)$$
Đáp số: 700 m²
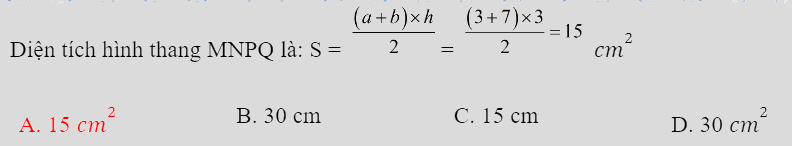
Giải Bài 4 trang 94 VBT Toán 5 tập 1 – Kết nối tri thức với cuộc sống
Khoanh vào chữ đặt trước câu trả lời đúng.

Diện tích hình thang MNPQ là:
A. 15 cm² | B. 30 cm | C. 15 cm | D. 30 cm² |
Phương pháp giải:
Quan sát hình, xác định độ dài các đáy và đường cao sau đó tính diện tích hình thang.
Diện tích hình thang: S = $\frac{{(a + b) \times h}}{2}$
Trong đó:
+ S: diện tích
+ a, b: độ dài các đáy
+ h: chiều cao
Lời giải chi tiết:
Hình thang MNPQ có MN = 3 cm; QP = 7 cm; đường cao = 3 cm

Chào mừng các em học sinh đến với bài học Toán 5 hôm nay! Chúng ta sẽ cùng nhau ôn lại kiến thức về hình thang và đi sâu vào phương pháp tính diện tích hình thang. Bài học này nằm trong chương trình Kết nối tri thức, Vở bài tập Toán 5, trang 93.
Trước khi đi vào giải bài tập, chúng ta hãy cùng nhau ôn lại một số kiến thức cơ bản về hình thang:
Diện tích hình thang được tính theo công thức sau:
Diện tích = (Tổng độ dài hai đáy) x Chiều cao / 2
Hay viết gọn lại:
S = (a + b) x h / 2
Trong đó:
Bây giờ, chúng ta sẽ cùng nhau giải các bài tập trong Vở bài tập Toán 5 trang 93. Các bài tập này sẽ giúp các em hiểu rõ hơn về cách áp dụng công thức tính diện tích hình thang vào thực tế.
Giải:
Diện tích hình thang là:
(5 + 7) x 4 / 2 = 24 (cm2)
Đáp số: 24cm2
Giải:
Tổng độ dài hai đáy là:
6 + 10 = 16 (cm)
Chiều cao của hình thang là:
36 x 2 / 16 = 4.5 (cm)
Đáp số: 4.5cm
Một mảnh đất hình thang có đáy lớn 20m, đáy bé 15m và chiều cao 8m. Người ta sử dụng mảnh đất đó để trồng rau. Hỏi diện tích phần đất trồng rau là bao nhiêu mét vuông?
Giải:
Diện tích mảnh đất hình thang là:
(20 + 15) x 8 / 2 = 140 (m2)
Vậy diện tích phần đất trồng rau là 140m2.
Để củng cố kiến thức, các em có thể tự giải thêm các bài tập sau:
Qua bài học hôm nay, chúng ta đã cùng nhau ôn lại kiến thức về hình thang và học cách tính diện tích hình thang. Hy vọng rằng, các em đã nắm vững kiến thức này và có thể tự tin giải các bài tập liên quan. Chúc các em học tốt!
| Đáy lớn (a) | Đáy bé (b) | Chiều cao (h) | Diện tích (S) |
|---|---|---|---|
| 5cm | 7cm | 4cm | 24cm2 |
| 6cm | 10cm | 4.5cm | 36cm2 |
| 20m | 15m | 8m | 140m2 |