Bài học này giúp các em học sinh ôn lại kiến thức về diện tích và chu vi của các hình phẳng cơ bản như hình vuông và hình chữ nhật. Thông qua việc giải các bài tập trong vở bài tập, các em sẽ nắm vững phương pháp tính toán và ứng dụng vào thực tế.
Giaibaitoan.com cung cấp lời giải chi tiết, dễ hiểu, giúp các em tự học tại nhà hiệu quả.
Khoanh vào chữ đặt trước câu trả lời đúng.
Giải Bài 1 trang 122 VBT Toán 5 tập 1 – Kết nối tri thức với cuộc sống
Khoanh vào chữ đặt trước câu trả lời đúng.
Diện tích hình tam giác MNP là:
A. 4,8 dm²
B. 2,4 dm
C. 2,4 dm²
D. 2,4 m²

Phương pháp giải:
Diện tích hình tam giác = $\frac{1}{2}$ x cạnh đáy × chiều cao
= $\frac{1}{2}$x3,2x1,5
= 2,4 dm²
Lời giải chi tiết:
Diện tích hình tam giác MNP là = $\frac{1}{2}$x3,2x1,5 = 2,4 dm²
Diện tích hình tam giác MNP là:
A. 4,8 dm²
B. 2,4 dm
C. 2,4 dm²
D. 2,4 m²
Giải Bài 4 trang 123 VBT Toán 5 tập 1 – Kết nối tri thức với cuộc sống
Khoanh vào chữ đặt trước câu trả lời đúng.
Rô – bốt cắt được một mảnh bìa hình tam giác PQK có diện tích 63 dm² và chiều cao là 7 dm (như hình vẽ).
Độ dài đáy QK của hình tam giác PQK là:
A. 9 dm | B. 18 dm² |
C. 18 dm | D. 81 dm |

Phương pháp giải:
Diện tích hình tam giác = $\frac{1}{{2}}$ x cạnh đáy × chiều cao
=> Cạnh đáy = Diện tích : $\frac{1}{{2}}$ : chiều cao
= 63 : $\frac{1}{{2}}$ : 7
= 18 dm
Lời giải chi tiết:
Độ dài đáy QK của hình tam giác PQK là:
A. 9 dm | B. 18 dm² |
C. 18 dm | D. 81 dm |
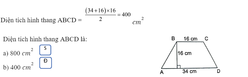
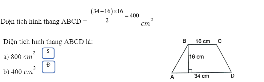
Giải Bài 2 trang 122 VBT Toán 5 tập 1 – Kết nối tri thức với cuộc sống
Điền Đ,S
Diện tích hình thang ABCD là:
a) 800 cm²
b) 400 cm²

Phương pháp giải:
Diện tích hình thang: S = $\frac{{(a + b) \times h}}{2}$
Trong đó:
+ S: diện tích
+ a, b: độ dài các đáy
+ h: chiều cao
Lời giải chi tiết:

Giải Bài 3 trang 122 VBT Toán 5 tập 1 – Kết nối tri thức với cuộc sống
Mảnh đất của ông Năm dạng hình thang vuông có chiều cao 13 m, đáy bé 24 m. và đáy lớn bằng $\frac{4}{3}$ đáy bé. Ông Năm đã dành phần đất hình tam giác BHC (như hình vẽ) để hiến đất mở rộng đường. Hỏi:
a) Ông Năm hiến bao nhiêu mét vuông đất để mở rộng đường?
b) Phần đất còn lại có diện tích bao nhiêu mét vuông?

Phương pháp giải:
a) Tính độ dài đáy lớn = $\frac{4}{3}$ × độ dài đáy bé
Tính diện tích phần đất để mở rộng đường = diện tích tam giác BHC
Diện tích tam giác = $\frac{1}{2}$ × đáy × chiều cao
b) Diện tích của phần đất còn lại được tính theo hai cách:
Cách 1 | Diện tích phần đất còn lại = Diện tích hình thang ABCD – Diện tích tam giác BHC $$ = \frac{{(DC + AB) \times AD}}{2} - \frac{1}{2} \times HC \times AD$$ |
Cách 2 | Diện tích phần đất còn lại = Diện tích hình thang ABHD $$ = \frac{{(AB + DH) \times AD}}{2}$$ |
Lời giải chi tiết:
Cách 1 | Cách 2 |
Độ dài đáy lớn của mảnh đất hình thang vuông là: a) 24x$\frac{4}{{3}}$=32(m) Ông Nam hiến số mét vuông đất để mở rộng đường là: $\frac{1}{{2}}$x10x13=65(m²) b) Độ dài đoạn DH là: 32 – 10 = 22 (m) Diện tích của phần đất còn lại là: $$\frac{{(24 + 22) \times 13}}{2} = 299$$(m²) Đáp số: a) 65 (m²) b) 299 (m²) | Độ dài đáy lớn của mảnh đất hình thang vuông là: $\frac{1}{{2}}$x10x13=65(m²) a) Ông Nam hiến số mét vuông đất để mở rộng đường là: $\frac{1}{{2}}$x10x13=65(m²) b) Diện tích mảnh đất hình thang ABCD là: $$\frac{{(24 + 32) \times 13}}{2} = 364$$(m²) Diện tích phần đất còn lại là: 364 – 65 = 299 (m²) Đáp số: a) 65 m² b) 299 m² |
Giải Bài 1 trang 122 VBT Toán 5 tập 1 – Kết nối tri thức với cuộc sống
Khoanh vào chữ đặt trước câu trả lời đúng.
Diện tích hình tam giác MNP là:
A. 4,8 dm²
B. 2,4 dm
C. 2,4 dm²
D. 2,4 m²

Phương pháp giải:
Diện tích hình tam giác = $\frac{1}{2}$ x cạnh đáy × chiều cao
= $\frac{1}{2}$x3,2x1,5
= 2,4 dm²
Lời giải chi tiết:
Diện tích hình tam giác MNP là = $\frac{1}{2}$x3,2x1,5 = 2,4 dm²
Diện tích hình tam giác MNP là:
A. 4,8 dm²
B. 2,4 dm
C. 2,4 dm²
D. 2,4 m²
Giải Bài 2 trang 122 VBT Toán 5 tập 1 – Kết nối tri thức với cuộc sống
Điền Đ,S
Diện tích hình thang ABCD là:
a) 800 cm²
b) 400 cm²

Phương pháp giải:
Diện tích hình thang: S = $\frac{{(a + b) \times h}}{2}$
Trong đó:
+ S: diện tích
+ a, b: độ dài các đáy
+ h: chiều cao
Lời giải chi tiết:

Giải Bài 3 trang 122 VBT Toán 5 tập 1 – Kết nối tri thức với cuộc sống
Mảnh đất của ông Năm dạng hình thang vuông có chiều cao 13 m, đáy bé 24 m. và đáy lớn bằng $\frac{4}{3}$ đáy bé. Ông Năm đã dành phần đất hình tam giác BHC (như hình vẽ) để hiến đất mở rộng đường. Hỏi:
a) Ông Năm hiến bao nhiêu mét vuông đất để mở rộng đường?
b) Phần đất còn lại có diện tích bao nhiêu mét vuông?

Phương pháp giải:
a) Tính độ dài đáy lớn = $\frac{4}{3}$ × độ dài đáy bé
Tính diện tích phần đất để mở rộng đường = diện tích tam giác BHC
Diện tích tam giác = $\frac{1}{2}$ × đáy × chiều cao
b) Diện tích của phần đất còn lại được tính theo hai cách:
Cách 1 | Diện tích phần đất còn lại = Diện tích hình thang ABCD – Diện tích tam giác BHC $$ = \frac{{(DC + AB) \times AD}}{2} - \frac{1}{2} \times HC \times AD$$ |
Cách 2 | Diện tích phần đất còn lại = Diện tích hình thang ABHD $$ = \frac{{(AB + DH) \times AD}}{2}$$ |
Lời giải chi tiết:
Cách 1 | Cách 2 |
Độ dài đáy lớn của mảnh đất hình thang vuông là: a) 24x$\frac{4}{{3}}$=32(m) Ông Nam hiến số mét vuông đất để mở rộng đường là: $\frac{1}{{2}}$x10x13=65(m²) b) Độ dài đoạn DH là: 32 – 10 = 22 (m) Diện tích của phần đất còn lại là: $$\frac{{(24 + 22) \times 13}}{2} = 299$$(m²) Đáp số: a) 65 (m²) b) 299 (m²) | Độ dài đáy lớn của mảnh đất hình thang vuông là: $\frac{1}{{2}}$x10x13=65(m²) a) Ông Nam hiến số mét vuông đất để mở rộng đường là: $\frac{1}{{2}}$x10x13=65(m²) b) Diện tích mảnh đất hình thang ABCD là: $$\frac{{(24 + 32) \times 13}}{2} = 364$$(m²) Diện tích phần đất còn lại là: 364 – 65 = 299 (m²) Đáp số: a) 65 m² b) 299 m² |
Giải Bài 4 trang 123 VBT Toán 5 tập 1 – Kết nối tri thức với cuộc sống
Khoanh vào chữ đặt trước câu trả lời đúng.
Rô – bốt cắt được một mảnh bìa hình tam giác PQK có diện tích 63 dm² và chiều cao là 7 dm (như hình vẽ).
Độ dài đáy QK của hình tam giác PQK là:
A. 9 dm | B. 18 dm² |
C. 18 dm | D. 81 dm |

Phương pháp giải:
Diện tích hình tam giác = $\frac{1}{{2}}$ x cạnh đáy × chiều cao
=> Cạnh đáy = Diện tích : $\frac{1}{{2}}$ : chiều cao
= 63 : $\frac{1}{{2}}$ : 7
= 18 dm
Lời giải chi tiết:
Độ dài đáy QK của hình tam giác PQK là:
A. 9 dm | B. 18 dm² |
C. 18 dm | D. 81 dm |
Bài 33 trong chương trình Toán 5 Kết nối tri thức tập trung vào việc củng cố kiến thức về diện tích và chu vi của các hình phẳng quen thuộc: hình vuông và hình chữ nhật. Đây là nền tảng quan trọng cho các bài học hình học phức tạp hơn ở các lớp trên. Việc nắm vững các công thức và phương pháp tính toán sẽ giúp học sinh giải quyết các bài toán thực tế một cách nhanh chóng và chính xác.
Trước khi đi vào giải bài tập, chúng ta cùng ôn lại lý thuyết cơ bản:
Trong đó:
Bài 1: Tính diện tích và chu vi của các hình sau (hình vẽ minh họa trong VBT). Bài này yêu cầu học sinh áp dụng trực tiếp công thức để tính toán. Cần chú ý đến đơn vị đo (cm, m, …) và ghi rõ đơn vị khi trả lời.
Bài 2: Một mảnh đất hình chữ nhật có chiều dài 20m, chiều rộng 15m. Tính diện tích mảnh đất đó.
Hướng dẫn giải:
Bài 3: Một hình vuông có chu vi là 36cm. Tính độ dài một cạnh của hình vuông đó.
Hướng dẫn giải:
Bài 4: (Bài toán thực tế) Một phòng học hình chữ nhật có chiều dài 8m, chiều rộng 6m. Người ta muốn lát gạch men toàn bộ nền phòng học, mỗi viên gạch có diện tích 40cm2. Hỏi cần bao nhiêu viên gạch để lát hết nền phòng học?
Hướng dẫn giải:
Bài 5: (Bài toán nâng cao) Một hình chữ nhật có chu vi là 48cm. Nếu tăng chiều dài thêm 4cm và giảm chiều rộng đi 2cm thì diện tích hình chữ nhật không đổi. Tính chiều dài và chiều rộng ban đầu của hình chữ nhật.
Hướng dẫn giải: Bài toán này đòi hỏi học sinh phải vận dụng kiến thức về diện tích, chu vi và giải phương trình đơn giản.
Để hiểu sâu hơn về bài học, các em có thể tự tạo thêm các bài toán tương tự và giải chúng. Ngoài ra, các em có thể tìm kiếm các bài tập ôn tập về diện tích và chu vi trên các trang web học toán online khác.
Hy vọng với lời giải chi tiết và hướng dẫn cụ thể này, các em học sinh sẽ tự tin hơn khi giải các bài tập về diện tích và chu vi của hình vuông, hình chữ nhật. Chúc các em học tốt!