Bài 58 Toán lớp 5 thuộc chương trình SGK Bình Minh tập trung vào việc rèn luyện kỹ năng chia số thập phân cho số thập phân. Đây là một phần kiến thức quan trọng giúp học sinh nắm vững các phép tính với số thập phân và ứng dụng vào giải quyết các bài toán thực tế.
Tại giaibaitoan.com, chúng tôi cung cấp lời giải chi tiết, dễ hiểu cùng với các bài tập luyện tập đa dạng để giúp các em học sinh tự tin chinh phục bài học này.
Đặt tính rồi tính: a) 3,9 : 2,6 b) 12,22 : 0,47 Tính: a) 19,8 l : 0,3 b) 4,48 m : 2,8 c) 9,06 kg : 0,15 Biết rằng 1,5 l nước biển cân nặng 1,539 kg. Hỏi 1 l nước biển như thế cân nặng bao nhiêu ki-lô-gam?
Trả lời câu hỏi 2 trang 73 SGK Toán 5 Bình minh
Tính:
a) 19,8 l : 0,3
b) 4,48 m : 2,8
c) 9,06 kg : 0,15
Phương pháp giải:
Muốn chia một số thập phân cho một số thập phân ta làm như sau:
- Đếm xem có bao nhiêu chữ số ở phần thập phân của số chia thì chuyển dấu phẩy ở số bị chia sang bên phải bấy nhiêu chữ số.
- Bỏ dấu phẩy ở số chia rồi thực hiện phép chia như chia số tự nhiên.
Lời giải chi tiết:
a) 19,8 l : 0,3 = 66 l
b) 4,48 m : 2,8 = 1,6 m
c) 9,06 kg : 0,15 = 60,4 kg
Trả lời câu hỏi 3 trang 73 SGK Toán 5 Bình Minh
Biết rằng 1,5 l nước biển cân nặng 1,539 kg. Hỏi 1 l nước biển như thế cân nặng bao nhiêu ki-lô-gam?
Phương pháp giải:
Tìm cân nặng của 1 l nước biển = cân nặng của 1,5 l nước biển : 1,5
Lời giải chi tiết:
Tóm tắt
1,5 l : 1,539 kg
1 l : ? kg
Bài giải
1 l nước biển như thế cân nặng số ki-lô-gam là:
1,539 : 1,5 = 1,026 (kg)
Đáp số: 1,026 kg.
Trả lời câu hỏi 1 trang 73 SGK Toán 5 Bình minh
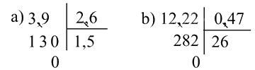
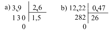
Đặt tính rồi tính:
a) 3,9 : 2,6
b) 12,22 : 0,47
Phương pháp giải:
Muốn chia một số thập phân cho một số thập phân ta làm như sau:
- Đếm xem có bao nhiêu chữ số ở phần thập phân của số chia thì chuyển dấu phẩy ở số bị chia sang bên phải bấy nhiêu chữ số.
- Bỏ dấu phẩy ở số chia rồi thực hiện phép chia như chia số tự nhiên.
Lời giải chi tiết:

Trả lời câu hỏi 2 trang 73 SGK Toán 5 Bình minh
Tính:
a) 19,8 l : 0,3
b) 4,48 m : 2,8
c) 9,06 kg : 0,15
Phương pháp giải:
Muốn chia một số thập phân cho một số thập phân ta làm như sau:
- Đếm xem có bao nhiêu chữ số ở phần thập phân của số chia thì chuyển dấu phẩy ở số bị chia sang bên phải bấy nhiêu chữ số.
- Bỏ dấu phẩy ở số chia rồi thực hiện phép chia như chia số tự nhiên.
Lời giải chi tiết:
a) 19,8 l : 0,3 = 66 l
b) 4,48 m : 2,8 = 1,6 m
c) 9,06 kg : 0,15 = 60,4 kg
Trả lời câu hỏi 3 trang 73 SGK Toán 5 Bình Minh
Biết rằng 1,5 l nước biển cân nặng 1,539 kg. Hỏi 1 l nước biển như thế cân nặng bao nhiêu ki-lô-gam?
Phương pháp giải:
Tìm cân nặng của 1 l nước biển = cân nặng của 1,5 l nước biển : 1,5
Lời giải chi tiết:
Tóm tắt
1,5 l : 1,539 kg
1 l : ? kg
Bài giải
1 l nước biển như thế cân nặng số ki-lô-gam là:
1,539 : 1,5 = 1,026 (kg)
Đáp số: 1,026 kg.
Trả lời câu hỏi 1 trang 73 SGK Toán 5 Bình minh
Đặt tính rồi tính:
a) 3,9 : 2,6
b) 12,22 : 0,47
Phương pháp giải:
Muốn chia một số thập phân cho một số thập phân ta làm như sau:
- Đếm xem có bao nhiêu chữ số ở phần thập phân của số chia thì chuyển dấu phẩy ở số bị chia sang bên phải bấy nhiêu chữ số.
- Bỏ dấu phẩy ở số chia rồi thực hiện phép chia như chia số tự nhiên.
Lời giải chi tiết:

Bài 58 Toán lớp 5 chương trình SGK Bình Minh là một bước quan trọng trong việc củng cố kiến thức về số thập phân. Bài học này tập trung vào việc thực hành phép chia số thập phân cho số thập phân, một kỹ năng cần thiết cho các bài toán phức tạp hơn ở các lớp trên.
Trước khi đi vào giải bài tập, chúng ta cần ôn lại một số kiến thức cơ bản:
Dưới đây là lời giải chi tiết cho các bài tập trong SGK Bình Minh:
Giải thích: Trong mỗi phép tính trên, ta thực hiện phép chia tương tự như chia số tự nhiên, nhưng cần chú ý đến vị trí dấu phẩy.
Giải thích: Đối với các phép chia có số chia là số thập phân, ta cần chuyển số chia thành số tự nhiên bằng cách nhân cả số bị chia và số chia với một lũy thừa của 10 phù hợp.
Bài giải:
Giá mỗi ki-lô-gam gạo là: 15 000 : 2,5 = 6 000 (đồng)
Đáp số: 6 000 đồng
Để nắm vững hơn kiến thức về phép chia số thập phân cho số thập phân, các em có thể luyện tập thêm với các bài tập sau:
| Bài tập | Kết quả |
|---|---|
| 10,5 : 3 | 3,5 |
| 24,6 : 6 | 4,1 |
| 56,7 : 9 | 6,3 |
Hy vọng với những hướng dẫn chi tiết này, các em học sinh sẽ tự tin giải quyết các bài tập về phép chia số thập phân cho số thập phân trong Toán lớp 5 Bài 58 - SGK Bình Minh. Chúc các em học tốt!