Trong chương trình học Toán lớp 7 và lớp 8, việc nắm vững các trường hợp đồng dạng của tam giác là vô cùng quan trọng. Trường hợp đồng dạng thứ hai (c.g.c) là một trong những công cụ đắc lực giúp chúng ta chứng minh hai tam giác đồng dạng một cách hiệu quả.
Bài viết này sẽ cung cấp kiến thức chi tiết về trường hợp đồng dạng c.g.c, kèm theo các ví dụ minh họa và bài tập thực hành để bạn có thể hiểu rõ và áp dụng thành thạo.
Trường hợp đồng dạng thứ hai là gì?
1. Lý thuyết
Định lí Trường hợp đồng dạng thứ hai (cạnh – góc – cạnh):
Nếu hai cạnh của tam giác này tỉ lệ với hai cạnh của tam giác kia và hai góc tạo bởi các cặp cạnh đó bằng nhau thì hai tam giác đó đồng dạng. 
2. Ví dụ minh họa
Ví dụ 1: Cho hình thang ${ABCD}$ (${AB \parallel CD}$). Biết ${AB = 9}$ cm, ${BD = 12}$ cm và ${DC = 16}$ cm. Chứng minh $\Delta ABD\backsim \Delta BDC$.
Lời giải.

Ta có ${\widehat{ABD}=\widehat{BDC}}$ và ${\frac{BA}{BD}=\frac{DB}{DC}=\frac{3}{4}}$.
\(\Rightarrow \Delta ABD\backsim \Delta BDC\) (c.g.c).
Ví dụ 2: Cho tam giác ${ABC}$ có ${AB = 4}$ cm, ${AC = 8}$ cm. Trên cạnh ${AC}$ lấy ${D}$ sao cho ${AD = 2}$ cm. Chứng minh
a) ${\widehat{ABD} = \widehat{ACB}}$; b) ${BC = 2 BD}$.
Lời giải.

a) Xét $\Delta ABD$ và $\Delta ACB$ có
${\widehat{A}}$ chung, ${\frac{AD}{AB} = \frac{AB}{AC} = \frac{1}{2}}$
$\Rightarrow \Delta ABD\backsim \Delta ACB$ (c.g.c), suy ra ${\widehat{ABD} = \widehat{ACB}}$.
b) Từ câu a), ta có ${\frac{BC}{BD} = \frac{AC}{AB} = 2 \Rightarrow}$ đpcm.
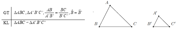
Trường hợp đồng dạng thứ hai (c.g.c) hay còn gọi là trường hợp đồng dạng cạnh - góc - cạnh, phát biểu như sau:
Nếu hai tam giác có hai cạnh tương ứng tỉ lệ và góc xen giữa hai cạnh đó bằng nhau thì hai tam giác đó đồng dạng.
Kí hiệu: ΔABC ~ ΔA'B'C' nếu:
Trong đó:
Để chứng minh hai tam giác đồng dạng theo trường hợp c.g.c, ta cần:
Ví dụ 1: Cho tam giác ABC và tam giác A'B'C' có AB = 6cm, BC = 8cm, A'B' = 9cm, B'C' = 12cm và ∠B = ∠B' = 60°. Chứng minh ΔABC ~ ΔA'B'C'.
Giải:
Ta có:
Vậy, ΔABC ~ ΔA'B'C' (c.g.c)
Ví dụ 2: Cho hình vẽ (cần có hình vẽ minh họa). Biết AB = 4cm, AD = 6cm, AC = 8cm, AE = 12cm và ∠A chung. Chứng minh ΔABC ~ ΔADE.
Giải:
Ta có:
Vậy, ΔABC ~ ΔADE (c.g.c)
Trường hợp đồng dạng c.g.c được ứng dụng rộng rãi trong việc:
Bài 1: Cho tam giác ABC và tam giác MNP có AB = 5cm, BC = 7cm, MN = 10cm, NP = 14cm và ∠B = ∠N = 70°. Chứng minh ΔABC ~ ΔMNP.
Bài 2: Cho hình vẽ (cần có hình vẽ minh họa). Biết DE // BC. Chứng minh ΔADE ~ ΔABC.
Bài 3: (Bài toán nâng cao) Cho tam giác ABC vuông tại A, có AB = 6cm, AC = 8cm. Gọi D là điểm trên BC sao cho BD = 2cm. Chứng minh ΔABD ~ ΔCBA.
Khi áp dụng trường hợp đồng dạng c.g.c, cần đảm bảo rằng:
Nếu chỉ một trong hai điều kiện trên không được thỏa mãn, thì hai tam giác không đồng dạng theo trường hợp c.g.c.
Trường hợp đồng dạng thứ hai (c.g.c) là một công cụ quan trọng trong việc chứng minh hai tam giác đồng dạng. Việc nắm vững lý thuyết và luyện tập thường xuyên với các bài tập sẽ giúp bạn tự tin giải quyết các bài toán liên quan đến đồng dạng tam giác.