Bài học này sẽ hướng dẫn bạn cách thực hiện phép chia đa thức cho đa thức, tập trung vào trường hợp chia hết. Đây là một kỹ năng quan trọng trong chương trình toán học lớp 8 và lớp 9, là nền tảng cho các kiến thức nâng cao hơn.
Chúng ta sẽ cùng nhau tìm hiểu các bước thực hiện, các ví dụ minh họa cụ thể và các bài tập luyện tập để bạn có thể nắm vững kiến thức này.
Chia đa thức cho đa thức, trường hợp chia hết
Đặt tính chia:
Bước 1: Đặt tính chia tương tự chia hai số tự nhiên. Lấy hạng tử bậc cao nhất của A chia cho hạng tử bậc cao nhất của B.
Bước 2: Lấy A trừ đi tích của B với thương ở bước 1, được dư thứ nhất.
Bước 3: Lấy hạng tử bậc cao nhất của dư thứ nhất chia cho hạng tử bậc cao nhất của B.
Bước 4: Lấy dư thứ nhất trừ đi tích của B với thương ở bước 3, ta thu được dư thứ 2.
Bước 5: Làm tương tự như trên, đến khi dư bằng 0 thì kết thúc.
Ví dụ:
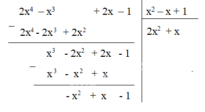
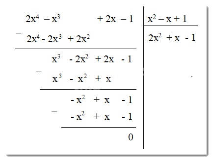
Tính \(\left(2x^4 - x^3 + 2x - 1\right) : \(left( x^2 - x + 1\right)
- Lấy \(2x^4 : x^2\) được \(2x^2\), ta viết \(2x^2\) vào thương. Sau đó nhân lần lượt \(2x^2\) với các hạng tử của đa thức chia, ta được \(2x^4 - 2x^3 + 2x^2\). Lấy đa thức bị chia trừ đi đa thức \(2x^4 - 2x^3 + 2x^2\), được \(x^3 - 2x^2 + 2x - 1\).

- Lấy \(x^3 : x^2\) được \(x\), ta viết \(+ x\) vào thương. Sau đó nhân lần lượt \(x\) với các hạng tử của đa thức chia, ta được \(x^3 - x^2 + x\). Lấy đa thức \(x^3 - 2x^2 + 2x - 1\) trừ đi đa thức \(x^3 - x^2 + x\), được \(-x^2 + x - 1\).

- Lấy \(-x^2 : x^2\) được \(-1\), ta viết \(-1\) vào thương. Sau đó nhân lần lượt \(-1\) với các hạng tử của đa thức chia, ta được \(-x^2 + x - 1\). Lấy đa thức \(-x^2 + x - 1\) trừ đi đa thức \(-x^2 + x - 1\), được \(0\).
Vậy \(\left(2x^4 - x^3 + 2x - 1\right) : \left( x^2 - x + 1\right) = 2x^2 + x - 1\)

Phép chia đa thức là một trong những phép toán cơ bản trong đại số, đóng vai trò quan trọng trong việc giải các bài toán liên quan đến đa thức. Trong bài viết này, chúng ta sẽ tập trung vào trường hợp chia đa thức cho đa thức khi phép chia là chia hết, tức là không có số dư.
Đa thức: Là biểu thức đại số bao gồm các số, các biến và các phép toán cộng, trừ, nhân, chia (với số mũ nguyên không âm). Ví dụ: 3x2 + 2x - 5.
Phép chia đa thức: Là phép toán tìm đa thức thương (Q(x)) và đa thức dư (R(x)) khi chia đa thức bị chia (P(x)) cho đa thức chia (D(x)). Công thức tổng quát: P(x) = D(x) * Q(x) + R(x).
Trường hợp chia hết: Khi đa thức dư R(x) bằng 0, ta nói đa thức P(x) chia hết cho đa thức D(x).
Phương pháp chia dài tương tự như phép chia số thông thường, nhưng áp dụng cho các đa thức. Các bước thực hiện như sau:
Ví dụ 1: Chia đa thức (x2 + 5x + 6) cho đa thức (x + 2).
Giải:
| x + 2 | x2 + 5x + 6 | |
|---|---|---|
| 1. | x2 + 5x + 6 | |
| 2. | x | x2 + 2x |
| 3. | 3x + 6 | |
| 4. | 3 | 3x + 6 |
| 5. | 0 |
Vậy, (x2 + 5x + 6) chia hết cho (x + 2) và thương là x + 3.
Ví dụ 2: Chia đa thức (2x3 - 5x2 + 3x - 1) cho đa thức (x - 1).
(Thực hiện tương tự như ví dụ 1)
Định lý Bezout phát biểu rằng: Số dư của phép chia đa thức P(x) cho nhị thức (x - a) bằng P(a). Định lý này có thể được sử dụng để kiểm tra xem đa thức P(x) có chia hết cho (x - a) hay không. Nếu P(a) = 0 thì P(x) chia hết cho (x - a).
Việc nắm vững phương pháp chia đa thức cho đa thức, đặc biệt là trường hợp chia hết, là rất quan trọng trong quá trình học toán. Hy vọng bài viết này đã cung cấp cho bạn những kiến thức cơ bản và hữu ích về chủ đề này. Hãy luyện tập thường xuyên để nâng cao kỹ năng của mình!