Tại giaibaitoan.com, chúng tôi cung cấp phương pháp học toán online hiệu quả, giúp bạn hiểu rõ bản chất và áp dụng thành thạo kỹ năng này.
Bài viết này sẽ hướng dẫn chi tiết cách nhân đa thức với đa thức, kèm theo ví dụ minh họa và bài tập thực hành để bạn có thể tự kiểm tra kiến thức.
Nhân đa thức với đa thức
Cách 1: Muốn nhân một đa thức với một đa thức, ta nhân mỗi hạng tử của đa thức này với từng hạng tử của đa thức kia rồi cộng các tích với nhau
Cách 2: Đặt tính nhân:
+ Nhân lần lượt mỗi hạng tử ở dòng dưới với đa thức ở dòng trên và viết kết quả trng một dòng riêng.
+ Viết các dòng sao cho các hạng tử cùng bậc thẳng cột với nhau để thực hiện phép cộng theo cột.
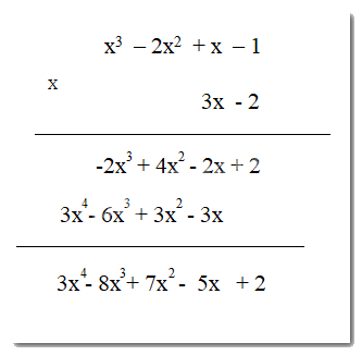
Ví dụ: Tính (x3 – 2x2 + x – 1)(3x – 2).
Cách 1:
(x3 – 2x2 + x – 1) (3x – 2)
= x3 . (3x – 2) + (-2x2) .(3x – 2) + x .(3x – 2) + (-1) . (3x – 2)
= x3 . 3x + x3 . (-2) + (-2x2). 3x + (-2x2) . (-2) + x . 3x + x. (-2) + (-1). 3x + (-1). (-2)
= 3x4 – 2x3 – 6x3 + 4x2 + 3x2 – 2x – 3x + 2
= 3x4 + (-2x3 -6x3) + (4x2 + 3x2 ) + (-2x – 3x) + 2
= x4 + (-8x3) + 7x2 + (-5x) + 2
= x4 – 8x3 +7x2 – 5x + 2
Cách 2:

Chú ý: Phép nhân đa thức cũng có các tính chất:
+ Giao hoán: A . B = B. A
+ Kết hợp: (A.B) . C = A . (B.C)
+ Phân phối đối với phép cộng: A . (B+C) = A.B + A.C
Nhân đa thức với đa thức là một kỹ năng toán học quan trọng, đặc biệt trong chương trình đại số ở cấp trung học cơ sở và trung học phổ thông. Việc nắm vững phép toán này không chỉ giúp bạn giải quyết các bài toán đại số một cách dễ dàng mà còn là nền tảng cho các kiến thức toán học nâng cao hơn.
Đa thức là biểu thức đại số bao gồm các số, các biến và các phép toán cộng, trừ, nhân, chia (với số khác 0) giữa chúng. Ví dụ: 3x2 + 2x - 5 là một đa thức. Phép nhân đa thức với đa thức là phép toán tìm tích của hai đa thức.
Để nhân đa thức với đa thức, ta thực hiện theo các bước sau:
Ví dụ 1: Nhân hai đa thức (x + 2) và (x - 3)
(x + 2)(x - 3) = x(x - 3) + 2(x - 3) = x2 - 3x + 2x - 6 = x2 - x - 6
Ví dụ 2: Nhân hai đa thức (2x2 - x + 1) và (x + 1)
(2x2 - x + 1)(x + 1) = 2x2(x + 1) - x(x + 1) + 1(x + 1) = 2x3 + 2x2 - x2 - x + x + 1 = 2x3 + x2 + 1
Trong trường hợp này, quy tắc nhân vẫn được áp dụng tương tự như trên. Tuy nhiên, việc thu gọn đa thức kết quả có thể đơn giản hơn.
Khi nhân đa thức với nhiều biến, cần chú ý đến việc nhân các biến tương ứng và thu gọn các hạng tử đồng dạng.
Hãy thực hiện các phép nhân đa thức sau:
Phép nhân đa thức có nhiều ứng dụng trong toán học và các lĩnh vực khác, bao gồm:
Nhân đa thức với đa thức là một phép toán cơ bản nhưng quan trọng trong đại số. Bằng cách nắm vững quy tắc và luyện tập thường xuyên, bạn có thể tự tin giải quyết các bài toán liên quan đến phép toán này. Chúc bạn học tập tốt!