Chào mừng các em học sinh lớp 2 đến với bài học Giải bài 40: Bảng nhân 5 (tiết 1) Vở bài tập toán 2 - Kết nối tri thức. Bài học này sẽ giúp các em nắm vững bảng nhân 5, một kiến thức nền tảng quan trọng trong chương trình toán học.
Tại giaibaitoan.com, chúng tôi cung cấp lời giải chi tiết, dễ hiểu, cùng với các bài tập luyện tập để các em có thể tự tin giải quyết các bài toán liên quan đến bảng nhân 5.
Số? Nối (theo mẫu). Mỗi đèn ông sao có 5 cánh. Hỏi 4 đèn ông sao như vậy có bao nhiêu cánh?
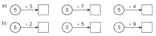
Số?

Phương pháp giải:
Tính nhẩm kết quả phép tính dựa vào bảng nhân 5.
Lời giải chi tiết:

Số?

Phương pháp giải:
Số cánh của 4 đèn ông sao = Số cánh của mỗi đèn ông sao x 4
Lời giải chi tiết:
Số cánh của 4 đèn ông sao là:
5 x 4 = 20 (cánh)
Đáp số: 20 cánh
Nối (theo mẫu)

Phương pháp giải:
Nối mỗi cái đĩa với chiếc cốc ghi kết quả phéo nhân thích hợp.
Lời giải chi tiết:

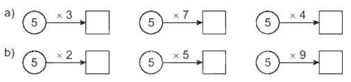
Số?

Phương pháp giải:
Tính nhẩm kết quả phép tính dựa vào bảng nhân 5.
Lời giải chi tiết:

Nối (theo mẫu)

Phương pháp giải:
Nối mỗi cái đĩa với chiếc cốc ghi kết quả phéo nhân thích hợp.
Lời giải chi tiết:

Số?

Phương pháp giải:
Số cánh của 4 đèn ông sao = Số cánh của mỗi đèn ông sao x 4
Lời giải chi tiết:
Số cánh của 4 đèn ông sao là:
5 x 4 = 20 (cánh)
Đáp số: 20 cánh
Bài 40 trong Vở bài tập Toán 2 - Kết nối tri thức với cuộc sống tập trung vào việc giúp học sinh làm quen và ghi nhớ bảng nhân 5. Đây là một bước quan trọng trong việc xây dựng nền tảng toán học vững chắc cho các em. Bài học này không chỉ giới thiệu bảng nhân 5 mà còn hướng dẫn các em cách áp dụng kiến thức này vào giải quyết các bài toán thực tế.
Bài 40 được chia thành các phần chính sau:
Dưới đây là lời giải chi tiết cho từng bài tập trong Vở bài tập Toán 2 - Kết nối tri thức:
| Phép nhân | Kết quả |
|---|---|
| 5 x 1 = | 5 |
| 5 x 2 = | 10 |
| 5 x 3 = | 15 |
| 5 x 4 = | 20 |
| 5 x 5 = | 25 |
| 5 x 6 = | 30 |
| 5 x 7 = | 35 |
| 5 x 8 = | 40 |
| 5 x 9 = | 45 |
| 5 x 10 = | 50 |
Ví dụ: 5 x 4 = 20
Các em hãy tự thực hiện các phép nhân còn lại tương tự.
Ví dụ: Có 5 nhóm, mỗi nhóm có 3 bạn. Hỏi có tất cả bao nhiêu bạn?
Bài giải: Có tất cả 5 x 3 = 15 bạn.
Để nắm vững hơn về bảng nhân 5, các em có thể thực hiện thêm các bài tập sau:
Hy vọng bài học Giải bài 40: Bảng nhân 5 (tiết 1) Vở bài tập toán 2 - Kết nối tri thức này sẽ giúp các em học tốt môn Toán. Chúc các em học tập tốt!