Chào mừng bạn đến với giaibaitoan.com, nơi cung cấp lời giải chi tiết và dễ hiểu cho các bài tập Toán 7. Bài viết này sẽ hướng dẫn bạn giải bài 44 trang 54 sách bài tập Toán 7 - Cánh Diều một cách nhanh chóng và hiệu quả.
Chúng tôi luôn cố gắng cung cấp những giải pháp tối ưu nhất, giúp bạn hiểu rõ bản chất của bài toán và áp dụng vào các bài tập tương tự.
Tính:
Đề bài
Tính:
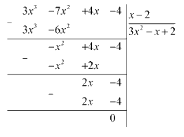
a) \((3{x^3} - 7{x^2} + 4x - 4):(x - 2)\)
b) \(({x^5} + x + 1):({x^3} - x)\)
Phương pháp giải - Xem chi tiết
Đặt tính chia rồi thực hiện chia 2 đa thức một biến theo quy tắc
Lời giải chi tiết
a)

Vậy \((3{x^3} - 7{x^2} + 4x - 4):(x - 2) = 3{x^2} - x + 2\)
b)

Vậy \(({x^5} + x + 1):({x^3} - x) = {x^2} + 1\) dư \(2x + 1\)
Bài 44 trang 54 sách bài tập Toán 7 - Cánh Diều thuộc chương trình học Toán 7, tập trung vào việc vận dụng các kiến thức về biểu thức đại số, các phép toán với số hữu tỉ và các tính chất của chúng. Bài tập này thường yêu cầu học sinh phải thực hiện các phép tính, rút gọn biểu thức hoặc chứng minh đẳng thức.
Bài 44 thường bao gồm các dạng bài tập sau:
Để giúp bạn hiểu rõ hơn về cách giải bài 44 trang 54 sách bài tập Toán 7 - Cánh Diều, chúng tôi sẽ cung cấp lời giải chi tiết cho từng phần của bài tập. (Ở đây sẽ là nội dung giải chi tiết từng phần của bài 44, ví dụ:)
Đề bài: Tính giá trị của biểu thức 3x + 5y khi x = 2 và y = -1.
Lời giải:
Thay x = 2 và y = -1 vào biểu thức 3x + 5y, ta được:
3x + 5y = 3 * 2 + 5 * (-1) = 6 - 5 = 1
Vậy, giá trị của biểu thức 3x + 5y khi x = 2 và y = -1 là 1.
Đề bài: Rút gọn biểu thức 2a - 3b + 5a - b.
Lời giải:
2a - 3b + 5a - b = (2a + 5a) + (-3b - b) = 7a - 4b
Vậy, biểu thức 2a - 3b + 5a - b được rút gọn thành 7a - 4b.
Để giải bài tập Toán 7 - Cánh Diều một cách hiệu quả, bạn nên:
Để củng cố kiến thức, bạn có thể thử giải các bài tập tương tự sau:
Hy vọng rằng bài viết này đã giúp bạn hiểu rõ hơn về cách giải bài 44 trang 54 sách bài tập Toán 7 - Cánh Diều. Chúc bạn học tập tốt và đạt kết quả cao trong môn Toán!