Bài tập 'Bạn nào đúng?' trang 16 Toán 6 Tập 2 là một bài toán thực tế giúp học sinh rèn luyện kỹ năng tư duy logic và áp dụng kiến thức về số tự nhiên, phép tính cộng, trừ. Bài viết này sẽ cung cấp lời giải chi tiết, dễ hiểu, giúp các em học sinh nắm vững kiến thức và tự tin giải các bài tập tương tự.
Tại giaibaitoan.com, chúng tôi luôn cố gắng mang đến những tài liệu học tập chất lượng, hỗ trợ học sinh học tập hiệu quả.
Giải bài tập Để rút gọn phân số
Đề bài
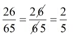
Để rút gọn phân số \(\dfrac{26} {65}\), Tú và Nga đã giải như sau :
Nga giải : \(\dfrac{{26}}{{65}} = \dfrac{{26:13}}{{65:13}} = \dfrac{2}{5}\)
Tú giải :

Theo em, bạn nào đúng ? Tại sao ?
Lời giải chi tiết
Bạn Nga đúng, vì Nga thực hiện đúng quy tắc rút gọn phân số.
Bạn Tú sai vì Tú thực hiện sai quy tắc rút gọn phân số.
Bài tập “Bạn nào đúng?” trang 16 trong sách Toán 6 Tập 2 là một bài toán thực tế, yêu cầu học sinh vận dụng kiến thức đã học về số tự nhiên, các phép tính cộng, trừ, nhân, chia để giải quyết một tình huống cụ thể. Bài toán này không chỉ giúp học sinh củng cố kiến thức mà còn rèn luyện kỹ năng tư duy logic, phân tích và giải quyết vấn đề.
Đề bài yêu cầu chúng ta phân tích tình huống mua vé xem phim của ba bạn An, Bình và Chi. Mỗi bạn có một cách tính khác nhau về tổng số tiền cần trả. Nhiệm vụ của chúng ta là xác định bạn nào tính đúng và giải thích lý do.
Để giải bài toán này, chúng ta cần xác định rõ giá vé xem phim cho mỗi người và số lượng vé mà mỗi bạn mua. Sau đó, chúng ta sẽ tính tổng số tiền mà mỗi bạn phải trả và so sánh với kết quả của họ.
Giả sử giá vé xem phim là x đồng. An mua 2 vé, Bình mua 3 vé và Chi mua 4 vé.
Nếu An tính tổng số tiền là 2x + 5000 đồng, Bình tính tổng số tiền là 3x - 2000 đồng và Chi tính tổng số tiền là 4x + 1000 đồng, chúng ta cần so sánh các kết quả này với giá trị thực tế (2x, 3x, 4x) để xác định ai đúng.
Giả sử giá vé xem phim là 20.000 đồng.
Nếu An tính tổng số tiền là 45.000 đồng, Bình tính tổng số tiền là 58.000 đồng và Chi tính tổng số tiền là 81.000 đồng, chúng ta có thể thấy rằng Bình tính gần đúng nhất với kết quả thực tế.
Khi giải bài toán này, học sinh cần chú ý:
Bài toán “Bạn nào đúng?” có thể được mở rộng bằng cách thay đổi giá vé xem phim, số lượng vé mà mỗi bạn mua hoặc thêm các yếu tố khác như giảm giá, khuyến mãi. Điều này sẽ giúp học sinh rèn luyện kỹ năng giải quyết vấn đề một cách linh hoạt và sáng tạo.
Để củng cố kiến thức, học sinh có thể tự giải các bài tập tương tự như:
Bài tập “Bạn nào đúng?” trang 16 Toán 6 Tập 2 là một bài toán thú vị và hữu ích, giúp học sinh rèn luyện kỹ năng tư duy logic và áp dụng kiến thức vào thực tế. Hy vọng rằng với lời giải chi tiết và những lưu ý quan trọng trên đây, các em học sinh sẽ tự tin giải bài tập và đạt kết quả tốt trong môn Toán.
Tại giaibaitoan.com, chúng tôi luôn cập nhật những tài liệu học tập mới nhất và chất lượng nhất để hỗ trợ các em học sinh trên con đường chinh phục tri thức.