Chào mừng các em học sinh đến với lời giải chi tiết bài 1 trang 91 SGK Toán 12 tập 1 - Kết nối tri thức tại giaibaitoan.com. Bài viết này sẽ cung cấp cho các em phương pháp giải bài tập một cách dễ hiểu, nhanh chóng và chính xác.
Chúng tôi luôn cố gắng mang đến những tài liệu học tập chất lượng cao, giúp các em học tập hiệu quả và đạt kết quả tốt nhất trong môn Toán.
Sử dụng phần mềm GeoGebra thực hiện các yêu cầu sau: Cho các hàm số đa thức sau: (1) (y = 3{x^2} + sqrt 3 x + 1); (2) (y = {x^3} - 6{x^2} + 9), (3) (y = {x^4} - 4{x^2} + 3). a) Tìm đạo hàm cấp một và đạo hàm cấp hai của các hàm số trên. b) Tìm tất cả các điểm cực trị của các hàm số trên. c) Vẽ đồ thị của các hàm số trên.
Đề bài
Sử dụng phần mềm GeoGebra thực hiện các yêu cầu sau:
Cho các hàm số đa thức sau:
(1) \(y = 3{x^2} + \sqrt 3 x + 1\); (2) \(y = {x^3} - 6{x^2} + 9\), (3) \(y = {x^4} - 4{x^2} + 3\).
a) Tìm đạo hàm cấp một và đạo hàm cấp hai của các hàm số trên.
b) Tìm tất cả các điểm cực trị của các hàm số trên.
c) Vẽ đồ thị của các hàm số trên.
Phương pháp giải - Xem chi tiết
a, b) Sử dụng kiến thức về các cú pháp lệnh trong GeoGebra để thực hiện:

c) Sử dụng kiến thức về vẽ đồ thị của hàm đa thức để vẽ đồ thị hàm số: Nhập hàm số vào ô lệnh, màn hình sẽ hiển thị đồ thị hàm số cần vẽ.
Lời giải chi tiết
a) Hàm số \(y = 3{x^2} + \sqrt 3 x + 1\)
Để tính đạo hàm cấp 1 ta nhập DaoHam (\(3{x^2} + \sqrt 3 x + 1\))

Do đó, đạo hàm cấp 1 của hàm số \(y = 3{x^2} + \sqrt 3 x + 1\) là \(6x + \sqrt 3 \)
Để tính đạo hàm cấp 2 ta nhập DaoHam (\(3{x^2} + \sqrt 3 x + 1\), 2)

Do đó, đạo hàm cấp 2 của hàm số \(y = 3{x^2} + \sqrt 3 x + 1\) là \(6\)
Hàm số \(y = {x^3} - 6{x^2} + 9\)
Để tính đạo hàm cấp 1 ta nhập DaoHam (\({x^3} - 6{x^2} + 9\))

Do đó, đạo hàm cấp 1 của hàm số \(y = {x^3} - 6{x^2} + 9\) là \(3{x^2} - 12x\)
Để tính đạo hàm cấp 2 ta nhập DaoHam (, 2)

Do đó, đạo hàm cấp 2 của hàm số \(y = {x^3} - 6{x^2} + 9\) là \(6x - 12\)
Hàm số \(y = {x^4} - 4{x^2} + 3\)

Để tính đạo hàm cấp 1 ta nhập DaoHam (\({x^4} - 4{x^2} + 3\))
Do đó, đạo hàm cấp 1 của hàm số \(y = {x^4} - 4{x^2} + 3\) là \(4{x^3} - 8x\)
Để tính đạo hàm cấp 2 ta nhập DaoHam (\({x^4} - 4{x^2} + 3\), 2)

Do đó, đạo hàm cấp 2 của hàm số \(y = {x^4} - 4{x^2} + 3\) là \(12{x^2} - 8\)
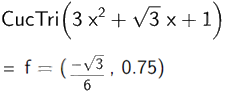
b) Hàm số \(y = 3{x^2} + \sqrt 3 x + 1\)
Để tìm cực trị ta nhập lệnh, kết quả hiện thị ngay bên dưới:

Do đó, hàm số \(y = 3{x^2} + \sqrt 3 x + 1\) có điểm cực trị là \(\left( {\frac{{ - \sqrt 3 }}{6};0,75} \right)\)
Hàm số \(y = {x^3} - 6{x^2} + 9\)
Để tìm cực trị ta nhập lệnh, kết quả hiện thị ngay bên dưới:

Do đó, hàm số \(y = {x^3} - 6{x^2} + 9\) có các điểm cực trị là \(\left( {0;9} \right);\left( {4; - 23} \right)\)
Hàm số \(y = {x^4} - 4{x^2} + 3\)
Để tìm cực trị ta nhập lệnh, kết quả hiện thị ngay bên dưới:

Do đó, hàm số \(y = {x^4} - 4{x^2} + 3\) có các điểm cực trị là \(\left( { - \sqrt 2 ; - 1} \right);\left( {0;3} \right);\left( {\sqrt 2 ; - 1} \right)\)
c) Đồ thị hàm số \(y = 3{x^2} + \sqrt 3 x + 1\): Ta nhập hàm số \(y = 3{x^2} + \sqrt 3 x + 1\) vào ô lệnh, màn hình sẽ hiển thị đồ thị của hàm số cần vẽ:

Đồ thị hàm số \(y = {x^3} - 6{x^2} + 9\): Ta nhập hàm số \(y = {x^3} - 6{x^2} + 9\) vào ô lệnh, màn hình sẽ hiển thị đồ thị của hàm số cần vẽ:

Đồ thị hàm số \(y = {x^4} - 4{x^2} + 3\): Ta nhập hàm số \(y = {x^4} - 4{x^2} + 3\) vào ô lệnh, màn hình sẽ hiển thị đồ thị của hàm số cần vẽ:

Bài 1 trang 91 SGK Toán 12 tập 1 - Kết nối tri thức thuộc chương trình học về giới hạn của hàm số. Bài tập này yêu cầu học sinh vận dụng kiến thức về định nghĩa giới hạn để tính giới hạn của hàm số tại một điểm. Việc nắm vững kiến thức nền tảng và kỹ năng tính toán là yếu tố then chốt để giải quyết bài tập này một cách hiệu quả.
Bài 1 trang 91 SGK Toán 12 tập 1 - Kết nối tri thức thường bao gồm các dạng bài tập sau:
Để giải bài 1 trang 91 SGK Toán 12 tập 1 - Kết nối tri thức, các em có thể áp dụng các phương pháp sau:
Ví dụ: Tính limx→2 (x2 - 4) / (x - 2)
Giải:
Ta có:
limx→2 (x2 - 4) / (x - 2) = limx→2 (x - 2)(x + 2) / (x - 2) = limx→2 (x + 2) = 2 + 2 = 4
Để củng cố kiến thức và kỹ năng giải bài tập về giới hạn, các em có thể luyện tập thêm các bài tập sau:
Bài 1 trang 91 SGK Toán 12 tập 1 - Kết nối tri thức là một bài tập quan trọng giúp các em hiểu rõ hơn về khái niệm giới hạn và các phương pháp tính giới hạn. Hy vọng rằng với những hướng dẫn chi tiết và ví dụ minh họa trong bài viết này, các em sẽ tự tin giải quyết bài tập một cách hiệu quả.