Chào mừng bạn đến với giaibaitoan.com, nơi cung cấp lời giải chi tiết và dễ hiểu cho các bài tập Toán 12. Bài viết này sẽ hướng dẫn bạn giải bài 3 trang 91 SGK Toán 12 tập 1 - Kết nối tri thức một cách nhanh chóng và hiệu quả.
Chúng tôi cam kết cung cấp nội dung chính xác, cập nhật và phù hợp với chương trình học Toán 12 hiện hành.
Sử dụng phần mềm GeoGebra thực hiện các yêu cầu sau: Tìm giá trị lớn nhất và giá trị nhỏ nhất của các hàm số sau: a) (y = {x^3} - 3{x^2} - 9x + 35) trên đoạn (left[ { - 4;4} right]). b) (y = - 3{x^4} + 4{x^2} + sqrt 2 ) trên đoạn (left[ { - 1;1} right]). c) (y = x + frac{{sqrt 5 }}{x}) trên đoạn (left[ {1;10} right]). d) (y = sin 2x - x) trên đoạn (left[ { - frac{pi }{2};frac{pi }{2}} right]).
Đề bài
Sử dụng phần mềm GeoGebra thực hiện các yêu cầu sau:
Tìm giá trị lớn nhất và giá trị nhỏ nhất của các hàm số sau:
a) \(y = {x^3} - 3{x^2} - 9x + 35\) trên đoạn \(\left[ { - 4;4} \right]\).
b) \(y = - 3{x^4} + 4{x^2} + \sqrt 2 \) trên đoạn \(\left[ { - 1;1} \right]\).
c) \(y = x + \frac{{\sqrt 5 }}{x}\) trên đoạn \(\left[ {1;10} \right]\).
d) \(y = \sin 2x - x\) trên đoạn \(\left[ { - \frac{\pi }{2};\frac{\pi }{2}} \right]\).
Phương pháp giải - Xem chi tiết
Sử dụng kiến thức về các cú pháp lệnh trong GeoGebra để thực hiện:

Lời giải chi tiết
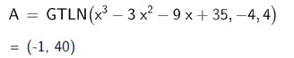
a) Để tìm giá trị lớn nhất của hàm số \(y = {x^3} - 3{x^2} - 9x + 35\) trên đoạn \(\left[ { - 4;4} \right]\) ta nhập Max (<\({x^3} - 3{x^2} - 9x + 35\)>,,)

Vậy giá trị lớn nhất của hàm số \(y = {x^3} - 3{x^2} - 9x + 35\) trên đoạn \(\left[ { - 4;4} \right]\) là 40.
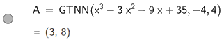
Để tìm giá trị nhỏ nhất của hàm số \(y = {x^3} - 3{x^2} - 9x + 35\) trên đoạn \(\left[ { - 4;4} \right]\) ta nhập Min (<\({x^3} - 3{x^2} - 9x + 35\)>,,)

Vậy giá trị nhỏ nhất của hàm số \(y = {x^3} - 3{x^2} - 9x + 35\) trên đoạn \(\left[ { - 4;4} \right]\) là 8.
b) Để tìm giá trị lớn nhất của hàm số \(y = - 3{x^4} + 4{x^2} + \sqrt 2 \) trên đoạn \(\left[ { - 1;1} \right]\) ta nhập Max (<\( - 3{x^4} + 4{x^2} + \sqrt 2 \)>,,)

Vậy giá trị lớn nhất của hàm số \(y = - 3{x^4} + 4{x^2} + \sqrt 2 \) trên đoạn \(\left[ { - 1;1} \right]\) là 40.
Để tìm giá trị nhỏ nhất của hàm số \(y = - 3{x^4} + 4{x^2} + \sqrt 2 \) trên đoạn \(\left[ { - 1;1} \right]\) ta nhập Min (<\( - 3{x^4} + 4{x^2} + \sqrt 2 \)>,,)

Vậy giá trị nhỏ nhất của hàm số \(y = - 3{x^4} + 4{x^2} + \sqrt 2 \) trên đoạn \(\left[ { - 1;1} \right]\) là \(\sqrt 2 \).
c) Để tìm giá trị lớn nhất của hàm số \(y = x + \frac{{\sqrt 5 }}{x}\) trên đoạn \(\left[ {1;10} \right]\) ta nhập Max (<\(x + \frac{{\sqrt 5 }}{x}\)>,,)

Vậy giá trị lớn nhất của hàm số \(y = {x^3} - 3{x^2} - 9x + 35\) trên đoạn \(\left[ {1;10} \right]\) là \(10 + \frac{{\sqrt 5 }}{{10}}\).
Để tìm giá trị nhỏ nhất của hàm số \(y = x + \frac{{\sqrt 5 }}{x}\) trên đoạn \(\left[ {1;10} \right]\) ta nhập Min (<\(x + \frac{{\sqrt 5 }}{x}\)>,,)

Vậy giá trị nhỏ nhất của hàm số \(y = x + \frac{{\sqrt 5 }}{x}\) trên đoạn \(\left[ {1;10} \right]\) là \(2\sqrt[4]{5}\).
d) Để tìm giá trị lớn nhất của hàm số \(y = \sin 2x - x\) trên đoạn \(\left[ { - \frac{\pi }{2};\frac{\pi }{2}} \right]\) ta nhập Max (<\(\sin 2x - x\)>, <\( - \frac{\pi }{2}\)>, <\(\frac{\pi }{2}\)>)

Vậy giá trị lớn nhất của hàm số \(y = \sin 2x - x\) trên đoạn \(\left[ { - \frac{\pi }{2};\frac{\pi }{2}} \right]\) là \(\frac{{\sqrt 3 }}{2} - \frac{\pi }{6}\).
Để tìm giá trị nhỏ nhất của hàm số \(y = \sin 2x - x\) trên đoạn \(\left[ { - \frac{\pi }{2};\frac{\pi }{2}} \right]\) ta nhập Min (<\(\sin 2x - x\)>, <\( - \frac{\pi }{2}\)>, <\(\frac{\pi }{2}\)>)

Vậy giá trị nhỏ nhất của hàm số \(y = \sin 2x - x\) trên đoạn \(\left[ { - \frac{\pi }{2};\frac{\pi }{2}} \right]\) là \( - \frac{{\sqrt 3 }}{2} + \frac{\pi }{6}\).
Bài 3 trang 91 SGK Toán 12 tập 1 - Kết nối tri thức thuộc chương trình học về giới hạn của hàm số. Bài tập này yêu cầu học sinh vận dụng kiến thức về giới hạn một bên, giới hạn tại một điểm và các tính chất của giới hạn để giải quyết các bài toán cụ thể. Việc nắm vững kiến thức nền tảng và kỹ năng giải bài tập là rất quan trọng để đạt kết quả tốt trong môn Toán 12.
Bài 3 bao gồm các bài tập nhỏ khác nhau, tập trung vào việc tính giới hạn của hàm số tại một điểm. Các bài tập này có thể bao gồm:
Để giải bài 3 trang 91 SGK Toán 12 tập 1 - Kết nối tri thức một cách hiệu quả, bạn có thể áp dụng các phương pháp sau:
Bài tập: Tính limx→2 (x2 - 4) / (x - 2)
Lời giải:
Ta có:
limx→2 (x2 - 4) / (x - 2) = limx→2 (x - 2)(x + 2) / (x - 2) = limx→2 (x + 2) = 2 + 2 = 4
Khi giải bài 3 trang 91 SGK Toán 12 tập 1 - Kết nối tri thức, bạn cần lưu ý những điều sau:
Để học tập và ôn luyện môn Toán 12 hiệu quả, bạn có thể tham khảo các tài liệu sau:
Bài 3 trang 91 SGK Toán 12 tập 1 - Kết nối tri thức là một bài tập quan trọng giúp học sinh củng cố kiến thức về giới hạn của hàm số. Hy vọng rằng với những hướng dẫn và ví dụ minh họa trên, bạn sẽ có thể giải bài tập này một cách dễ dàng và hiệu quả. Chúc bạn học tập tốt!