Bài tập 1.21 trang 32 SGK Toán 12 tập 1 thuộc chương trình học môn Toán lớp 12, chương 1: Hàm số và đồ thị. Bài tập này yêu cầu học sinh vận dụng kiến thức về hàm số bậc hai, điều kiện xác định và tập giá trị của hàm số để giải quyết.
Tại giaibaitoan.com, chúng tôi cung cấp lời giải chi tiết, dễ hiểu, giúp các em học sinh nắm vững kiến thức và tự tin giải các bài tập tương tự.
Khảo sát sự biến thiên và vẽ đồ thị của các hàm số sau: a) (y = - {x^3} + 3x + 1); b) (y = {x^3} + 3{x^2} - x - 1).
Đề bài
Khảo sát sự biến thiên và vẽ đồ thị của các hàm số sau:a) \(y = - {x^3} + 3x + 1\);b) \(y = {x^3} + 3{x^2} - x - 1\).
Phương pháp giải - Xem chi tiết
Sử dụng kiến thức về sơ đồ khảo sát hàm số bậc ba để khảo sát và vẽ đồ thị hàm số:
Sơ đồ khảo sát hàm số bậc ba
1. Tìm tập xác định của hàm số.
2. Khảo sát sự biến thiên của hàm số:
+ Tính đạo hàm y’. Tìm các điểm tại đó y’ bằng 0 hoặc đạo hàm không tồn tại.
+ Xét dấu y’ để chỉ ra các khoảng đơn điệu của hàm số.
+ Tìm cực trị của hàm số.
+ Tìm các giới hạn tại vô cực, giới hạn vô cực.
+ Lập bảng biến thiên của hàm số.
3. Vẽ đồ thị của hàm số dựa vào bảng biến thiên.
Lời giải chi tiết
a) Tập xác định: \(D = \mathbb{R}\)
2. Sự biến thiên:
Ta có: \(y' = - 3{x^2} + 3,y' = 0 \Leftrightarrow x = \pm 1\)
Trên khoảng \(\left( { - 1;1} \right)\), \(y' > 0\) nên hàm số đồng biến. Trên khoảng \(\left( { - \infty ; - 1} \right)\) và \(\left( {1; + \infty } \right)\), \(y' < 0\) nên hàm số nghịch biến trên mỗi khoảng đó.
Hàm số đạt cực đại tại \(x = 1\), giá trị cực đại \({y_{CĐ}}=3\) . Hàm số đạt cực tiểu tại \(x = - 1\), giá trị cực tiểu \({y_{CT}} = - 1\)
Giới hạn tại vô cực: \(\mathop {\lim }\limits_{x \to - \infty } y = \mathop {\lim }\limits_{x \to - \infty } \left( { - {x^3} + 3x + 1} \right) = \mathop {\lim }\limits_{x \to - \infty } \left[ {{x^3}\left( { - 1 + \frac{3}{{{x^2}}} + \frac{1}{{{x^3}}}} \right)} \right] = + \infty \)
\(\mathop {\lim }\limits_{x \to + \infty } y = \mathop {\lim }\limits_{x \to + \infty } \left( { - {x^3} + 3x + 1} \right) = \mathop {\lim }\limits_{x \to + \infty } \left[ {{x^3}\left( { - 1 + \frac{3}{{{x^2}}} + \frac{1}{{{x^3}}}} \right)} \right] = - \infty \)
Bảng biến thiên:

3. Đồ thị:

Giao điểm của đồ thị hàm số \(y = - {x^3} + 3x + 1\) với trục tung là (0; 1).
Các điểm (1; 3); \(\left( { - 1; - 1} \right)\) thuộc đồ thị hàm số \(y = - {x^3} + 3x + 1\).
Đồ thị hàm số có tâm đối xứng là điểm (0; 1).
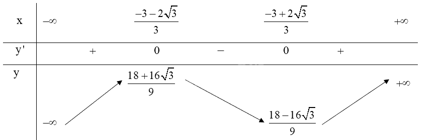
b) 1. Tập xác định: \(D = \mathbb{R}\)
2. Sự biến thiên:
Ta có: \(y' = 3{x^2} + 6x - 1,y' = 0 \Leftrightarrow x = \frac{{ - 3 - 2\sqrt 3 }}{3}\) hoặc \(x = \frac{{ - 3 + 2\sqrt 3 }}{3}\)
Trên khoảng \(\left( {\frac{{ - 3 - 2\sqrt 3 }}{3};\frac{{ - 3 + 2\sqrt 3 }}{3}} \right)\), \(y' < 0\) nên hàm số nghịch biến. Trên khoảng \(\left( { - \infty ;\frac{{ - 3 - 2\sqrt 3 }}{3}} \right)\) và \(\left( {\frac{{ - 3 + 2\sqrt 3 }}{3}; + \infty } \right)\), \(y' > 0\) nên hàm số đồng biến trên mỗi khoảng đó.
Hàm số đạt cực đại tại \(x = \frac{{ - 3 - 2\sqrt 3 }}{3}\), giá trị cực đại . Hàm số đạt cực tiểu tại \(x = \frac{{ - 3 + 2\sqrt 3 }}{3}\), giá trị cực tiểu \({y_{CT}} = \frac{{18 - 16\sqrt 3 }}{9}\).
Giới hạn tại vô cực: \(\mathop {\lim }\limits_{x \to - \infty } y = \mathop {\lim }\limits_{x \to - \infty } \left( {{x^3} + 3{x^2} - x - 1} \right) = \mathop {\lim }\limits_{x \to - \infty } \left[ {{x^3}\left( {1 + \frac{3}{x} - \frac{1}{{{x^2}}} - \frac{1}{{{x^3}}}} \right)} \right] = - \infty \)
\(\mathop {\lim }\limits_{x \to + \infty } y = \mathop {\lim }\limits_{x \to + \infty } \left( {{x^3} + 3{x^2} - x - 1} \right) = \mathop {\lim }\limits_{x \to + \infty } \left[ {{x^3}\left( {1 + \frac{3}{x} - \frac{1}{{{x^2}}} - \frac{1}{{{x^3}}}} \right)} \right] = + \infty \)
Bảng biến thiên:

3. Đồ thị:

Giao điểm của đồ thị hàm số \(y = {x^3} + 3{x^2} - x - 1\) với trục tung là (0; -1).
Các điểm (-1; 2); \(\left( {1;2} \right)\) thuộc đồ thị hàm số \(y = {x^3} + 3{x^2} - x - 1\).
Đồ thị hàm số có tâm đối xứng là điểm (-1; 2).
Bài tập 1.21 SGK Toán 12 tập 1 - Kết nối tri thức yêu cầu xét hàm số f(x) = x2 - 4x + 3 và thực hiện các yêu cầu sau:
Hàm số f(x) = x2 - 4x + 3 là một hàm số bậc hai. Hàm số bậc hai xác định trên toàn bộ tập số thực. Vậy tập xác định của hàm số là D = ℝ.
Hàm số f(x) = x2 - 4x + 3 có dạng f(x) = ax2 + bx + c, với a = 1, b = -4, c = 3.
Hoành độ đỉnh của parabol là x0 = -b / (2a) = -(-4) / (2 * 1) = 2.
Tung độ đỉnh của parabol là y0 = f(x0) = f(2) = 22 - 4 * 2 + 3 = 4 - 8 + 3 = -1.
Vậy tọa độ đỉnh của parabol là (2; -1).
Trục đối xứng của parabol là đường thẳng x = x0 = 2.
Vì a = 1 > 0, parabol có dạng mở lên trên.
Hàm số nghịch biến trên khoảng (-∞; 2) và đồng biến trên khoảng (2; +∞).
Để vẽ đồ thị của hàm số, ta cần xác định một số điểm thuộc đồ thị:
Vẽ parabol đi qua các điểm A, B, C, D và có đỉnh I(2; -1).
Khi giải bài tập về hàm số bậc hai, cần nắm vững các kiến thức cơ bản về:
Để củng cố kiến thức, các em có thể tự giải các bài tập tương tự trong SGK Toán 12 tập 1 - Kết nối tri thức hoặc các đề thi thử Toán 12.
Bài tập 1.21 trang 32 SGK Toán 12 tập 1 - Kết nối tri thức là một bài tập quan trọng giúp học sinh hiểu rõ hơn về hàm số bậc hai và đồ thị của hàm số. Hy vọng với lời giải chi tiết và hướng dẫn cụ thể trên đây, các em học sinh sẽ tự tin giải quyết bài tập này và các bài tập tương tự một cách hiệu quả.