Chào mừng bạn đến với giaibaitoan.com, nơi cung cấp lời giải chi tiết và dễ hiểu cho các bài tập Toán 12. Bài viết này sẽ hướng dẫn bạn giải bài tập 4 trang 43 SGK Toán 12 tập 1 - Cánh diều một cách nhanh chóng và hiệu quả.
Chúng tôi luôn cố gắng mang đến những giải pháp học tập tốt nhất, giúp bạn nắm vững kiến thức và đạt kết quả cao trong môn Toán.
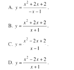
Đường cong ở hình 30 là đồ thị của hàm số:
Đề bài
Đường cong ở hình 30 là đồ thị của hàm số:


Phương pháp giải - Xem chi tiết
Xét tiệm cận xiên của đồ thị
Xét các hàm số
Lời giải chi tiết
Vì đồ thị hàm số đi qua (0:2)
=> Loại B,D
Vì hàm số có tcd là x=-1
=>\(\mathop {\lim }\limits_{\;x \to - 1} f\left( x \right) = \infty \)
Xét a, \(\mathop {\lim }\limits_{x \to - 1} \frac{{{x^2} + 2x + 2}}{{ - x - 1}} = \mathop {\lim }\limits_{ - x - 1} ( - x - 1 - \frac{1}{{x + 1}}) = - \infty \)
=> Chọn A
Bài tập 4 trang 43 SGK Toán 12 tập 1 - Cánh diều thuộc chương trình học về giới hạn của hàm số. Bài tập này yêu cầu học sinh vận dụng kiến thức về giới hạn một bên, giới hạn tại một điểm và các tính chất của giới hạn để giải quyết các bài toán cụ thể. Việc nắm vững kiến thức nền tảng và kỹ năng giải bài tập là rất quan trọng để đạt kết quả tốt trong môn Toán.
Bài tập 4 bao gồm một số câu hỏi nhỏ, yêu cầu học sinh tính giới hạn của hàm số tại một điểm cho trước. Các hàm số có thể là hàm đa thức, hàm hữu tỉ hoặc hàm lượng giác. Để giải quyết bài tập này, học sinh cần:
Dưới đây là lời giải chi tiết cho từng câu hỏi trong bài tập 4:
Để tính giới hạn của hàm số tại một điểm, ta có thể sử dụng phương pháp trực tiếp thay giá trị của điểm đó vào hàm số. Tuy nhiên, nếu việc thay trực tiếp dẫn đến dạng vô định, ta cần sử dụng các phương pháp khác như phân tích thành nhân tử, nhân liên hợp hoặc áp dụng quy tắc L'Hopital.
Ví dụ, nếu hàm số là f(x) = (x^2 - 1) / (x - 1), ta không thể thay x = 1 trực tiếp vì sẽ dẫn đến dạng 0/0. Thay vào đó, ta phân tích thành nhân tử: f(x) = (x - 1)(x + 1) / (x - 1) = x + 1 (với x ≠ 1). Khi đó, giới hạn của f(x) khi x tiến đến 1 là 1 + 1 = 2.
Tương tự như câu a, ta cần xác định đúng dạng của hàm số và áp dụng các quy tắc tính giới hạn phù hợp. Nếu hàm số là hàm hữu tỉ, ta cần kiểm tra xem mẫu số có bằng 0 tại điểm cần tính giới hạn hay không. Nếu mẫu số bằng 0, ta cần sử dụng các phương pháp khác để tính giới hạn.
Đối với các hàm số lượng giác, ta cần sử dụng các công thức lượng giác và các giới hạn đặc biệt như lim (sin x / x) = 1 khi x tiến đến 0.
Ngoài bài tập 4, còn rất nhiều bài tập tương tự về giới hạn hàm số. Để giải quyết các bài tập này, học sinh cần nắm vững các kiến thức sau:
Để học tập môn Toán hiệu quả, bạn nên:
Bài tập 4 trang 43 SGK Toán 12 tập 1 - Cánh diều là một bài tập quan trọng giúp học sinh củng cố kiến thức về giới hạn hàm số. Hy vọng rằng với lời giải chi tiết và các hướng dẫn trên, bạn sẽ giải quyết bài tập này một cách dễ dàng và hiệu quả. Chúc bạn học tập tốt!
| Công thức | Mô tả |
|---|---|
| lim (c) = c | Giới hạn của một hằng số bằng chính hằng số đó. |
| lim (x^n) = x^n | Giới hạn của x mũ n bằng x mũ n. |