Chào mừng bạn đến với giaibaitoan.com, nơi cung cấp lời giải chi tiết và dễ hiểu cho các bài tập Toán 12. Bài viết này sẽ hướng dẫn bạn giải bài tập 8 trang 44 SGK Toán 12 tập 1 - Cánh diều một cách nhanh chóng và hiệu quả.
Chúng tôi luôn cố gắng mang đến những giải pháp học tập tốt nhất, giúp bạn nắm vững kiến thức và đạt kết quả cao trong môn Toán.
Xét phản ứng hoá học tạo ra chất C từ hai chất A và B: \(A{\rm{ }} + {\rm{ }}B{\rm{ }} \to {\rm{ }}C\) Giả sử nồng độ của hai chất A và B bằng nhau [A] = [B] = a (mol/l). Khi đó, nồng độ của chất C theo thời gian t (t > 0) được cho bởi công thức: \(\left[ C \right]\; = \;\frac{{{a^2}Kt}}{{aKt + 1}}\) (mol/l), trong đó K là hằng số dương. a) Tìm tốc độ phản ứng ở thời điểm t > 0. b) Chứng minh nếu \(x\; = \;\left[ C \right]\) thì c) Nêu hiện tượng xảy ra với nồng độ các chất khi \(t\; \to \
Đề bài
Xét phản ứng hoá học tạo ra chất C từ hai chất A và B:
\(A{\rm{ }} + {\rm{ }}B{\rm{ }} \to {\rm{ }}C\)
Giả sử nồng độ của hai chất A và B bằng nhau [A] = [B] = a (mol/l). Khi đó, nồng độ của chất C theo thời gian t (t > 0) được cho bởi công thức: \(\left[ C \right]\; = \;\frac{{{a^2}Kt}}{{aKt + 1}}\) (mol/l), trong đó K là hằng số dương.
a) Tìm tốc độ phản ứng ở thời điểm t > 0.
b) Chứng minh nếu \(x\; = \;\left[ C \right]\) thì
c) Nêu hiện tượng xảy ra với nồng độ các chất khi \(t\; \to \; + \infty \)
d) Nêu hiện tượng xảy ra với tốc độ phản ứng khi \(t\; \to \; + \infty \)
Phương pháp giải - Xem chi tiết
Lời giải chi tiết
a) Tốc độ phản ứng được xác định bằng đạo hàm của nồng độ chất C theo thời gian t. Vì vậy, ta cần tính đạo hàm của hàm số [C] \( = \frac{{{a^2}Kt}}{{aKt + 1}}\) theo thời gian t.
Đặt \(f\left( t \right)\; = {a^2}Kt\) và \(g\left( t \right)\; = aKt + 1\). Khi đó, [C] \( = \frac{{f\left( t \right)}}{{g\left( t \right)}}.\)
Ta có:
Đạo hàm của \(f\left( t \right)\) theo t: $f\left( t \right)~={{a}^{2}}K$.
Đạo hàm của \(g\left( t \right)\) theo t:$g\left( t \right)~=aK$
Ta có:

Vậy, tốc độ phản ứng ở thời điểm t > 0 là: (Mol/(l.s))
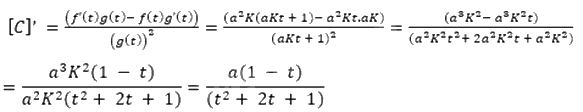
b) Để chứng minh điều này, ta cần chứng minh rằng đạo hàm của \(x\; = \;\left[ C \right]\) theo thời gian t, x’(t), bằng với
Ta đã tính được từ phần trước.
Giả sử . Thay \(x{\rm{\;}} = {\rm{\;}}\left[ C \right] = \frac{{{{\rm{a}}^2}{\rm{Kt}}}}{{{\rm{aKt}} + 1}}\) vào phương trình
ta có:
$x\left( t \right)=~K{{\left( \frac{a-\left( {{a}^{2}}Kt \right)}{aKt+1} \right)}^{2}}=~K{{\left( a\left( \frac{1-aKt}{aKt+1} \right) \right)}^{2}}=~K{{\left( a\left( \frac{1-t}{t+\frac{1}{a}} \right) \right)}^{2}}=~K{{\left( a\left( \frac{1}{t+\frac{1}{a}} \right) \right)}^{2}}=~K{{\left( \frac{a}{t+\frac{1}{a}} \right)}^{2}}=~K{{\left( \frac{a}{t+a} \right)}^{2}}=~K{{\left( \frac{a\left( 1~-~t \right)}{\left( {{t}^{2}}+~2t~+~1 \right)} \right)}^{2}}$
So sánh với ta thấy hai biểu thức này chỉ bằng nhau khi \({\rm{K\;}} = \frac{1}{{\rm{a}}}\)
Vậy, nếu \({\rm{K\;}} = \frac{1}{{\rm{a}}}\;\)thì
c) Đối với chất A và B, do chúng liên tục phản ứng để tạo ra chất C, nên nồng độ của chúng sẽ giảm dần và khi \(t\; \to \; + \infty \), nồng độ của chúng sẽ tiến tới 0.
Đối với chất C, ta có \(\left[ C \right] = \frac{{{a^2}Kt}}{{aKt + 1}}\). Khi \(t\; \to \; + \infty \), ta có: \(\left[ C \right] = \frac{{{a^2}Kt}}{{aKt + 1}} = \frac{{{a^2}}}{{\left( {a\; + \frac{1}{t}} \right)}}\) → a (mol/l) Vậy, khi \(t\; \to \; + \infty \), nồng độ của chất C sẽ tiến tới a.
d) Tốc độ phản ứng được cho bởi công thức: .
Khi \(t\; \to \; + \infty \), ta có: .$x\left( t \right)=~\frac{a\left( 1~-~t \right)}{\left( {{t}^{2}}+~2t~+~1 \right)}~\to 0$.
Vậy, khi thời gian t tiến tới vô cùng, tốc độ phản ứng sẽ giảm dần và tiến tới 0. Điều này cho thấy phản ứng đã hoàn toàn xảy ra, và không còn chất nào tiếp tục phản ứng nữa.
Bài tập 8 trang 44 SGK Toán 12 tập 1 - Cánh diều thuộc chương trình học về giới hạn của hàm số. Bài tập này yêu cầu học sinh vận dụng kiến thức về giới hạn một bên, giới hạn tại vô cùng để giải quyết các bài toán cụ thể. Việc nắm vững các định nghĩa, tính chất và các phương pháp tính giới hạn là yếu tố then chốt để hoàn thành tốt bài tập này.
Bài tập 8 bao gồm một số câu hỏi nhỏ, yêu cầu học sinh tính giới hạn của các hàm số khi x tiến tới một giá trị cụ thể hoặc khi x tiến tới vô cùng. Các hàm số có thể là hàm đa thức, hàm hữu tỉ, hoặc các hàm số phức tạp hơn. Để giải quyết bài tập này, học sinh cần:
Có nhiều phương pháp để giải bài tập về giới hạn, tùy thuộc vào dạng bài tập cụ thể. Một số phương pháp thường được sử dụng bao gồm:
Câu a: Tính lim (x -> 2) (x^2 - 4) / (x - 2)
Lời giải:
Ta có: (x^2 - 4) / (x - 2) = (x - 2)(x + 2) / (x - 2) = x + 2 (với x ≠ 2)
Vậy, lim (x -> 2) (x^2 - 4) / (x - 2) = lim (x -> 2) (x + 2) = 2 + 2 = 4
Câu b: Tính lim (x -> -1) (x^3 + 1) / (x + 1)
Lời giải:
Ta có: (x^3 + 1) / (x + 1) = (x + 1)(x^2 - x + 1) / (x + 1) = x^2 - x + 1 (với x ≠ -1)
Vậy, lim (x -> -1) (x^3 + 1) / (x + 1) = lim (x -> -1) (x^2 - x + 1) = (-1)^2 - (-1) + 1 = 1 + 1 + 1 = 3
Bài tập 8 trang 44 SGK Toán 12 tập 1 - Cánh diều là một bài tập quan trọng giúp học sinh củng cố kiến thức về giới hạn. Hy vọng với lời giải chi tiết và các phương pháp giải được trình bày trong bài viết này, bạn sẽ tự tin hơn khi giải quyết các bài tập tương tự. Chúc bạn học tập tốt!