Bài 1.18 trang 15 Sách bài tập Toán 12 - Kết nối tri thức là một bài tập quan trọng trong chương trình học Toán 12. Bài tập này yêu cầu học sinh vận dụng kiến thức về giới hạn của hàm số để giải quyết các bài toán cụ thể.
Tại giaibaitoan.com, chúng tôi cung cấp lời giải chi tiết, dễ hiểu cho bài tập này, giúp các bạn học sinh nắm vững kiến thức và tự tin giải các bài tập tương tự.
Hai nguồn nhiệt đặt cách nhau \(s\) mét, một nguồn có cường độ \(a\) đặt ở điểm A và một nguồn có cường độ \(b\) đặt ở điểm B. Cường độ nhiệt tại điểm P nằm trên đoạn thẳng nối A và B được tính theo công thức \(I = \frac{a}{{{x^2}}} + \frac{b}{{{{\left( {s - x} \right)}^2}}},\) Trong đó \(x\) (m) là khoảng cách giữa P và A. Tại điểm nào giữa A và B, nhiệt độ sẽ thấp nhất?
Đề bài
Hai nguồn nhiệt đặt cách nhau \(s\) mét, một nguồn có cường độ \(a\) đặt ở điểm A và một nguồn có cường độ \(b\) đặt ở điểm B. Cường độ nhiệt tại điểm P nằm trên đoạn thẳng nối A và B được tính theo công thức
\(I = \frac{a}{{{x^2}}} + \frac{b}{{{{\left( {s - x} \right)}^2}}},\)
Trong đó \(x\) (m) là khoảng cách giữa P và A. Tại điểm nào giữa A và B, nhiệt độ sẽ thấp nhất?
Phương pháp giải - Xem chi tiết
Xét hàm số \(I = \frac{a}{{{x^2}}} + \frac{b}{{{{\left( {s - x} \right)}^2}}},{\rm{ }}0 \le x \le s\). Yêu cầu bài toán tương đương tìm \(x\) để hàm số đạt giá trị nhỏ nhất. Tính đạo hàm, lập bảng biến thiên của hàm số và đưa ra kết luận.
Lời giải chi tiết
Xét hàm số \(I = \frac{a}{{{x^2}}} + \frac{b}{{{{\left( {s - x} \right)}^2}}},{\rm{ }}0 \le x \le s\). Ta cần tìm \(x\) để hàm số đạt giá trị nhỏ nhất.
Ta có: \(I' = - \frac{{2a}}{{{x^3}}} + \frac{{2b}}{{{{\left( {s - x} \right)}^3}}} = \frac{{2\left[ {b{x^3} - a{{\left( {s - x} \right)}^3}} \right]}}{{{x^3}{{\left( {s - x} \right)}^3}}},{\rm{ }}0 \le x \le s\)
Khi đó \(I' = 0 \Leftrightarrow \frac{{2\left[ {b{x^3} - a{{\left( {s - x} \right)}^3}} \right]}}{{{x^3}{{\left( {s - x} \right)}^3}}} = 0 \Leftrightarrow 2\left[ {b{x^3} - a{{\left( {s - x} \right)}^3}} \right] = 0 \Leftrightarrow \frac{x}{{s - x}} = \frac{{\sqrt[3]{a}}}{{\sqrt[3]{b}}} \Leftrightarrow x = \frac{{s\sqrt[3]{a}}}{{\sqrt[3]{a} + \sqrt[3]{b}}}\).
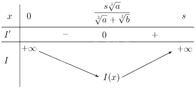
Lập bảng biến thiên của hàm số:

Từ bảng biến thiên suy ra hàm số đạt giá trị nhỏ nhất tại \(x = \frac{{s\sqrt[3]{a}}}{{\sqrt[3]{a} + \sqrt[3]{b}}}\).
Vậy tại điểm P trên đoạn AB các A một khoảng \(PA = x = \frac{{s\sqrt[3]{a}}}{{\sqrt[3]{a} + \sqrt[3]{b}}}\)(m) thì nhiệt độ thấp nhất.
Bài 1.18 trang 15 Sách bài tập Toán 12 - Kết nối tri thức thuộc chương trình học về giới hạn của hàm số. Để giải bài tập này, học sinh cần nắm vững các khái niệm cơ bản về giới hạn, các tính chất của giới hạn và các phương pháp tính giới hạn thường gặp.
Bài tập 1.18 yêu cầu tính giới hạn của các hàm số khi x tiến tới một giá trị cụ thể. Các hàm số có thể là các hàm đa thức, hàm phân thức, hàm lượng giác hoặc các hàm số khác. Việc xác định đúng dạng hàm số và áp dụng phương pháp tính giới hạn phù hợp là rất quan trọng để giải bài tập này.
Có nhiều phương pháp để tính giới hạn của hàm số, tùy thuộc vào dạng hàm số và giá trị x tiến tới. Một số phương pháp thường được sử dụng bao gồm:
Để giúp các bạn học sinh hiểu rõ hơn về cách giải bài tập này, chúng tôi xin trình bày lời giải chi tiết cho từng câu hỏi trong bài tập 1.18 trang 15 Sách bài tập Toán 12 - Kết nối tri thức.
Lời giải:
Vậy, limx→2 (x2 - 4) / (x - 2) = 4
Lời giải:
Đây là một giới hạn lượng giác cơ bản. Sử dụng định lý giới hạn đặc biệt, ta có:
limx→0 sin(x) / x = 1
Kiến thức về giới hạn có ứng dụng rộng rãi trong nhiều lĩnh vực của Toán học và các ngành khoa học khác. Ví dụ, giới hạn được sử dụng để tính đạo hàm, tích phân, diện tích, thể tích và nhiều khái niệm quan trọng khác.
Bài 1.18 trang 15 Sách bài tập Toán 12 - Kết nối tri thức là một bài tập quan trọng giúp học sinh củng cố kiến thức về giới hạn của hàm số. Hy vọng với lời giải chi tiết và hướng dẫn cụ thể trên đây, các bạn học sinh sẽ tự tin giải bài tập này và đạt kết quả tốt trong môn Toán.