Chào mừng bạn đến với giaibaitoan.com, nơi cung cấp lời giải chi tiết và dễ hiểu cho các bài tập Toán 12 Kết nối tri thức. Bài viết này sẽ hướng dẫn bạn từng bước giải bài 1.67 trang 36, giúp bạn nắm vững kiến thức và tự tin hơn trong quá trình học tập.
Chúng tôi luôn cố gắng mang đến những giải pháp học tập hiệu quả nhất, giúp bạn tiết kiệm thời gian và đạt kết quả tốt nhất.
Cắt bỏ hình quạt tròn OAB (hình phẳng có nét gạch trong hình dưới đây) từ một mảnh các tông hình tròn bán kính R rồi dán hai bán kính OA và OB của hình quạt tròn còn lại với nhau được một cái phễu có dạng của một hình nón. Gọi x là góc ở tâm của quạt tròn dùng làm phễu (left( {0 < x < 2pi } right)). a) Hãy biểu diễn bán kính đáy r và đường cao h của hình nón theo R và x. b) Tính thể tích của hình nón theo R và x c) Tìm x để hình nón có thể tích lớn nhất và tính giá trị lớn nhất đó.
Đề bài
Cắt bỏ hình quạt tròn OAB (hình phẳng có nét gạch trong hình dưới đây) từ một mảnh các tông hình tròn bán kính R rồi dán hai bán kính OA và OB của hình quạt tròn còn lại với nhau được một cái phễu có dạng của một hình nón. Gọi x là góc ở tâm của quạt tròn dùng làm phễu \(\left( {0 < x < 2\pi } \right)\).

a) Hãy biểu diễn bán kính đáy r và đường cao h của hình nón theo R và x.
b) Tính thể tích của hình nón theo R và x
c) Tìm x để hình nón có thể tích lớn nhất và tính giá trị lớn nhất đó.
Phương pháp giải - Xem chi tiết
Ý a: Chu vi đáy hình nón bằng độ dài cung AB, từ đó tìm được r, áp dụng định lý Pythagore để tìm h.
Ý b: Sau khi đã biết bán kính và chiều cao từ ý a, áp dụng công thức tính thể tích hình nón để tìm được V.
Ý c: Xét hàm số V theo x để tìm giá trị lớn nhất của hàm số trên \(\left( {0;2\pi } \right)\).
Lời giải chi tiết
a) Vì độ dài của đường tròn đáy hình nón (chu vi đáy) bằng độ dài của quạt tròn dùng làm phễu nên ta có \(2\pi r = Rx \Leftrightarrow r = \frac{{Rx}}{{2\pi }}\). Khi đó ta có:
\(h = \sqrt {{R^2} - {r^2}} = \sqrt {{R^2} - \frac{{{R^2}{x^2}}}{{4{\pi ^2}}}} = \frac{R}{{2\pi }}\sqrt {4{\pi ^2} - {x^2}} \).
b) Thể tích hình nón là \(V = \frac{1}{3}\pi {r^2}h = \frac{{{R^3}}}{{24{\pi ^2}}}{x^2}\sqrt {4{\pi ^2} - {x^2}} \).
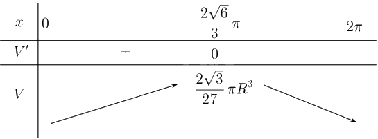
c) Ta cần tìm \(x \in \left( {0;2\pi } \right)\) để thể tích \(V\) đạt giá trị lớn nhất.
Xét hàm số \(V = \frac{{{R^3}}}{{24{\pi ^2}}}{x^2}\sqrt {4{\pi ^2} - {x^2}} ,x \in \left( {0;2\pi } \right)\).
Ta có \(V' = \frac{{{R^3}}}{{24{\pi ^2}}}\frac{{x\left( {8{\pi ^2} - 3{x^2}} \right)}}{{\sqrt {4{\pi ^2} - {x^2}} }}\) suy ra \(V' = 0 \Leftrightarrow x\left( {8{\pi ^2} - 3{x^2}} \right) = 0 \Leftrightarrow x = \frac{{2\sqrt 6 }}{3}\pi \), do \(x > 0\).
Lập bảng biến thiên:

Hình nón có diện tích lớn nhất khi \(x = \frac{{2\sqrt 6 }}{3}\pi \) khi đó \(\mathop {\max }\limits_{\left( {0;2\pi } \right)} V = V\left( {\frac{{2\sqrt 6 }}{3}\pi } \right) = \frac{{2\sqrt 3 }}{{27}}\pi {R^3}\).
Bài 1.67 trang 36 sách bài tập Toán 12 Kết nối tri thức thuộc chương trình học về đạo hàm. Bài toán này thường yêu cầu học sinh vận dụng kiến thức về đạo hàm của hàm số để giải quyết các bài toán thực tế, hoặc chứng minh các đẳng thức liên quan đến đạo hàm.
(Đề bài cụ thể của bài 1.67 sẽ được trình bày tại đây. Ví dụ: Cho hàm số f(x) = x^3 - 3x + 2. Tìm đạo hàm f'(x) và giải phương trình f'(x) = 0.)
Để giải bài 1.67 trang 36, chúng ta cần nắm vững các kiến thức sau:
(Lời giải chi tiết của bài 1.67 sẽ được trình bày tại đây, bao gồm các bước giải, giải thích rõ ràng và chính xác. Ví dụ:
)
Để củng cố kiến thức về đạo hàm, bạn có thể tham khảo các bài tập tương tự sau:
Bài 1.67 trang 36 sách bài tập Toán 12 Kết nối tri thức là một bài toán quan trọng giúp học sinh rèn luyện kỹ năng tính đạo hàm và ứng dụng đạo hàm vào giải quyết các bài toán thực tế. Hy vọng với lời giải chi tiết và các lưu ý trên, bạn đã hiểu rõ cách giải bài toán này và tự tin hơn trong quá trình học tập môn Toán.
Giaibaitoan.com luôn đồng hành cùng bạn trên con đường chinh phục kiến thức Toán học. Chúc bạn học tập tốt!