Bài 11 trang 42 SGK Toán 7 tập 2 thuộc chương trình Toán 7 Chân trời sáng tạo là một bài tập quan trọng giúp học sinh rèn luyện kỹ năng về biểu thức đại số. Bài tập này yêu cầu học sinh phải vận dụng kiến thức đã học để thực hiện các phép tính và rút gọn biểu thức.
Tại giaibaitoan.com, chúng tôi cung cấp lời giải chi tiết, dễ hiểu cho bài tập này, giúp các em học sinh nắm vững kiến thức và tự tin giải các bài tập tương tự.
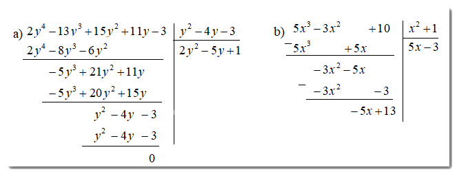
Thực hiện phép chia.
Đề bài
Thực hiện phép chia.
a) \((2{y^4} - 13{y^3} + 15{y^2} + 11y - 3):({y^2} - 4y - 3)\)
b) \((5{x^3} - 3{x^2} + 10):({x^2} + 1)\)
Video hướng dẫn giải
Phương pháp giải - Xem chi tiết
Đặt tính và chia 2 đa thức
Ta sắp xếp các đa thức theo thứ tự giảm dần của lũy thừa để dễ thực hiện phép tính hơn
Lời giải chi tiết

\(a)(2{y^4} - 13{y^3} + 15{y^2} + 11y - 3):({y^2} - 4y - 3)=2y^2-5y+1\)
b) \((5{x^3} - 3{x^2} + 10):({x^2} + 1)=5x-3+\dfrac{-5x+13}{x^2+1}\)
Bài 11 trang 42 SGK Toán 7 tập 2 Chân trời sáng tạo yêu cầu chúng ta thực hiện các phép tính với biểu thức đại số. Để giải bài này một cách hiệu quả, chúng ta cần nắm vững các quy tắc về thứ tự thực hiện các phép tính, các tính chất của phép cộng, trừ, nhân, chia và các quy tắc dấu ngoặc.
Bài tập yêu cầu chúng ta tính giá trị của biểu thức đại số khi biết giá trị của các biến. Ví dụ, nếu biểu thức là 3x + 2y và chúng ta biết x = 2, y = 3, thì chúng ta cần thay x = 2 và y = 3 vào biểu thức và thực hiện các phép tính để tìm ra giá trị của biểu thức.
Giả sử chúng ta có biểu thức: A = 2x - 5y + 3z. Biết x = 1, y = -2, z = 0. Hãy tính giá trị của A.
Giải:
A = 2(1) - 5(-2) + 3(0)
A = 2 + 10 + 0
A = 12
Ngoài việc giải bài tập cụ thể, chúng ta cũng cần hiểu rõ các khái niệm liên quan đến biểu thức đại số, như biến, hằng số, hệ số, bậc của biểu thức. Việc nắm vững các khái niệm này sẽ giúp chúng ta giải quyết các bài tập phức tạp hơn một cách dễ dàng.
Để rèn luyện thêm kỹ năng giải bài tập về biểu thức đại số, các em có thể tự giải các bài tập tương tự trong SGK Toán 7 tập 2 Chân trời sáng tạo hoặc các bài tập luyện tập khác.
Biểu thức đại số được ứng dụng rộng rãi trong nhiều lĩnh vực của đời sống, như khoa học, kỹ thuật, kinh tế. Việc hiểu và sử dụng thành thạo biểu thức đại số là rất quan trọng để giải quyết các vấn đề thực tế.
Bài 11 trang 42 SGK Toán 7 tập 2 Chân trời sáng tạo là một bài tập cơ bản nhưng quan trọng trong chương trình Toán 7. Việc nắm vững các kiến thức và kỹ năng liên quan đến biểu thức đại số sẽ giúp các em học sinh học tốt môn Toán và ứng dụng kiến thức vào thực tế.
| Biểu thức | Giá trị của x | Giá trị của y | Giá trị của z | Kết quả |
|---|---|---|---|---|
| 2x - 5y + 3z | 1 | -2 | 0 | 12 |
| x + 2y - z | 3 | 1 | 2 | 4 |