Bài 5 trang 84 SGK Toán 7 tập 1 - Chân trời sáng tạo là một bài tập quan trọng trong chương trình học Toán 7. Bài tập này giúp học sinh rèn luyện kỹ năng áp dụng các kiến thức đã học về số hữu tỉ, phép cộng, trừ, nhân, chia số hữu tỉ vào giải quyết các bài toán thực tế.
Tại giaibaitoan.com, chúng tôi cung cấp lời giải chi tiết, dễ hiểu cho bài tập này, giúp các em học sinh nắm vững kiến thức và tự tin giải các bài tập tương tự.
Ta gọi hai góc có tổng bằng 90 (^circ ) là hai góc phụ nhau. Hãy viết giả thiết, kết luận bằng kí hiệu và chứng minh định lí: “ Hai góc cùng phụ một góc thứ 3 thì bằng nhau”
Đề bài
Ta gọi hai góc có tổng bằng 90 \(^\circ \) là hai góc phụ nhau. Hãy viết giả thiết, kết luận bằng kí hiệu và chứng minh định lí: “ Hai góc cùng phụ một góc thứ 3 thì bằng nhau”
Video hướng dẫn giải
Phương pháp giải - Xem chi tiết
Giả thiết là điều đề bài cho
Kết luận là điều cần chứng minh
Lời giải chi tiết

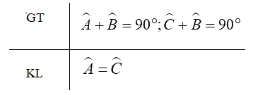
Giả sử \(\widehat A,\widehat C\) cùng phụ với \(\widehat B\). Ta được:
\(\widehat A + \widehat B = 90^\circ ;\widehat C + \widehat B = 90^\circ \)
\(\widehat A = 90^\circ - \widehat B;\widehat C = 90^\circ - \widehat B\)
\( \Rightarrow \widehat A = \widehat C\) (đpcm)
Bài 5 trang 84 SGK Toán 7 tập 1 - Chân trời sáng tạo yêu cầu học sinh vận dụng kiến thức về số hữu tỉ và các phép toán trên số hữu tỉ để giải quyết một bài toán thực tế. Để giải bài tập này một cách hiệu quả, chúng ta cần nắm vững các khái niệm và quy tắc sau:
Nội dung bài tập:
Bài tập thường yêu cầu tính toán các biểu thức chứa số hữu tỉ, hoặc giải các bài toán liên quan đến các tình huống thực tế như tính tiền, đo lường, so sánh số lượng,...
Lời giải chi tiết:
Để giúp các em học sinh hiểu rõ hơn về cách giải bài tập này, chúng ta sẽ cùng nhau phân tích một ví dụ cụ thể. Giả sử bài tập yêu cầu tính giá trị của biểu thức sau:
(1/2) + (2/3) - (1/4)
Bước 1: Tìm mẫu số chung nhỏ nhất của các phân số.
Mẫu số chung nhỏ nhất của 2, 3 và 4 là 12.
Bước 2: Quy đồng các phân số về mẫu số chung.
(1/2) = (6/12)
(2/3) = (8/12)
(1/4) = (3/12)
Bước 3: Thực hiện phép cộng và trừ các phân số.
(6/12) + (8/12) - (3/12) = (6 + 8 - 3) / 12 = 11/12
Vậy, giá trị của biểu thức (1/2) + (2/3) - (1/4) là 11/12.
Phương pháp giải:
Để giải các bài tập tương tự, các em học sinh cần:
Các bài tập tương tự:
Để rèn luyện kỹ năng giải bài tập về số hữu tỉ, các em học sinh có thể tham khảo các bài tập tương tự trong SGK Toán 7 tập 1 - Chân trời sáng tạo, hoặc tìm kiếm trên các trang web học toán online.
Lưu ý:
Khi giải bài tập về số hữu tỉ, các em học sinh cần chú ý đến dấu của các số và mẫu số chung. Việc quy đồng các phân số về mẫu số chung là một bước quan trọng để đảm bảo tính chính xác của kết quả.
Kết luận:
Bài 5 trang 84 SGK Toán 7 tập 1 - Chân trời sáng tạo là một bài tập quan trọng giúp học sinh rèn luyện kỹ năng về số hữu tỉ và các phép toán trên số hữu tỉ. Bằng cách nắm vững các khái niệm và quy tắc, cùng với việc luyện tập thường xuyên, các em học sinh có thể tự tin giải quyết các bài tập tương tự.
Hy vọng với hướng dẫn chi tiết này, các em học sinh sẽ hiểu rõ hơn về cách giải bài tập và đạt kết quả tốt trong môn Toán.