Chào mừng các em học sinh đến với lời giải chi tiết bài tập mục 1 trang 33, 34 SGK Toán 7 tập 2 chương trình Chân trời sáng tạo. Tại giaibaitoan.com, chúng tôi cung cấp đáp án chính xác, dễ hiểu, giúp các em nắm vững kiến thức và tự tin giải các bài tập toán học.
Bài tập này thuộc chương trình học Toán 7, tập trung vào việc rèn luyện kỹ năng giải toán và áp dụng kiến thức đã học vào thực tế.
Hãy lập biểu thức biểu thị tổng chu vi hình vuông (Hình 1a) và hình chữ nhật (Hình 1b).
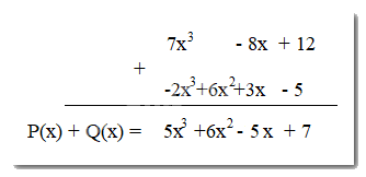
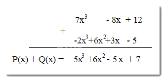
Cho hai đa thức P(x) = \(7{x^3} - 8x + 12\) và Q(x) = \(6{x^2} - 2{x^3} + 3x - 5\). Hãy tính P(x) + Q(x) bằng hai cách.
Phương pháp giải:
Cách 1: Nhóm các đơn thức cùng lũy thừa rồi thực hiện phép cộng
Cách 2: Sắp xếp đa thức theo bậc giảm dần rồi đặt tính cộng sao cho các hạng tử cùng bậc đặt thẳng cột với nhau rồi cộng theo từng cột.
Lời giải chi tiết:
Cách 1:
P(x) + Q(x) = \(7{x^3} - 8x + 12 + 6{x^2} - 2{x^3} + 3x - 5\)
\(\begin{array}{l} = (7{x^3} - 2{x^3}) + 6{x^2} + ( - 8x + 3x) + (12 - 5)\\ = 5{x^3} + 6{x^2} - 5x + 7\end{array}\)
Cách 2:

Hãy lập biểu thức biểu thị tổng chu vi hình vuông (Hình 1a) và hình chữ nhật (Hình 1b).

Phương pháp giải:
Chu vi hình vuông là: 4. Cạnh
Chu vi hình chữ nhật là: 2.(chiều dài + chiều rộng)
Lời giải chi tiết:
Chu vi hình vuông là \(4x\)
Chu vi hình chữ nhật là \(2.[x+(x + 1)]\)
\( \Rightarrow \) Tổng chu vi 2 hình là : \({4x}+2.[x.(x + 1)] = 4x + 2(2x+1) = 4x +4x + 2 = 8x+2\)
Video hướng dẫn giải
Hãy lập biểu thức biểu thị tổng chu vi hình vuông (Hình 1a) và hình chữ nhật (Hình 1b).

Phương pháp giải:
Chu vi hình vuông là: 4. Cạnh
Chu vi hình chữ nhật là: 2.(chiều dài + chiều rộng)
Lời giải chi tiết:
Chu vi hình vuông là \(4x\)
Chu vi hình chữ nhật là \(2.[x+(x + 1)]\)
\( \Rightarrow \) Tổng chu vi 2 hình là : \({4x}+2.[x.(x + 1)] = 4x + 2(2x+1) = 4x +4x + 2 = 8x+2\)
Cho hai đa thức P(x) = \(7{x^3} - 8x + 12\) và Q(x) = \(6{x^2} - 2{x^3} + 3x - 5\). Hãy tính P(x) + Q(x) bằng hai cách.
Phương pháp giải:
Cách 1: Nhóm các đơn thức cùng lũy thừa rồi thực hiện phép cộng
Cách 2: Sắp xếp đa thức theo bậc giảm dần rồi đặt tính cộng sao cho các hạng tử cùng bậc đặt thẳng cột với nhau rồi cộng theo từng cột.
Lời giải chi tiết:
Cách 1:
P(x) + Q(x) = \(7{x^3} - 8x + 12 + 6{x^2} - 2{x^3} + 3x - 5\)
\(\begin{array}{l} = (7{x^3} - 2{x^3}) + 6{x^2} + ( - 8x + 3x) + (12 - 5)\\ = 5{x^3} + 6{x^2} - 5x + 7\end{array}\)
Cách 2:

Mục 1 trang 33, 34 SGK Toán 7 tập 2 Chân trời sáng tạo thường tập trung vào các bài toán liên quan đến các khái niệm cơ bản về số hữu tỉ, số thực, các phép toán trên số hữu tỉ và số thực, cũng như các tính chất của chúng. Việc nắm vững kiến thức nền tảng là yếu tố then chốt để giải quyết hiệu quả các bài tập trong mục này.
Để giúp các em học sinh hiểu rõ hơn về nội dung và phương pháp giải các bài tập trong mục này, chúng ta sẽ đi vào phân tích chi tiết từng bài tập:
Bài tập này thường yêu cầu học sinh thực hiện các phép toán cộng, trừ, nhân, chia các số hữu tỉ. Để giải bài tập này, các em cần nắm vững các quy tắc thực hiện các phép toán trên số hữu tỉ, bao gồm quy tắc cộng, trừ hai số hữu tỉ cùng mẫu, khác mẫu, quy tắc nhân, chia hai số hữu tỉ.
Bài tập này thường yêu cầu học sinh so sánh các số hữu tỉ. Để giải bài tập này, các em cần nắm vững các phương pháp so sánh các số hữu tỉ, bao gồm quy tắc so sánh hai số hữu tỉ cùng mẫu, khác mẫu, quy tắc so sánh hai số hữu tỉ bằng cách quy đồng mẫu số.
Bài tập này thường yêu cầu học sinh tìm giá trị tuyệt đối của một số hữu tỉ. Để giải bài tập này, các em cần nắm vững định nghĩa giá trị tuyệt đối của một số hữu tỉ, cũng như các tính chất của giá trị tuyệt đối.
Để giải các bài tập trong mục 1 trang 33, 34 SGK Toán 7 tập 2 Chân trời sáng tạo một cách hiệu quả, các em có thể áp dụng các phương pháp sau:
Bài tập: Tính giá trị của biểu thức: (1/2) + (2/3) - (1/6)
Giải:
Để củng cố kiến thức và rèn luyện kỹ năng giải bài tập, các em có thể tham khảo thêm các bài tập tương tự trong SGK Toán 7 tập 2 Chân trời sáng tạo, hoặc tìm kiếm trên các trang web học toán online uy tín.
Hy vọng rằng, với những hướng dẫn chi tiết và phương pháp giải hiệu quả trên đây, các em học sinh sẽ tự tin giải quyết các bài tập trong mục 1 trang 33, 34 SGK Toán 7 tập 2 Chân trời sáng tạo. Chúc các em học tập tốt!
| Khái niệm | Định nghĩa |
|---|---|
| Số hữu tỉ | Là số có thể biểu diễn dưới dạng phân số a/b, với a, b là các số nguyên và b khác 0. |
| Giá trị tuyệt đối | Là khoảng cách từ một số đến 0 trên trục số. |