Chào mừng các em học sinh đến với lời giải chi tiết bài tập mục 2 trang 38, 39 SGK Toán 7 tập 2 chương trình Chân trời sáng tạo. Tại giaibaitoan.com, chúng tôi cung cấp đáp án chính xác, dễ hiểu, giúp các em nắm vững kiến thức và tự tin giải các bài tập toán học.
Bài tập trong mục 2 trang 38, 39 tập trung vào các kiến thức về...
Thực hiện phép nhân
Thực hiện phép nhân \((3x + 1)({x^2} - 2x + 1)\), rồi đoán xem \((3{x^3} - 5{x^2} + x + 1):(3x + 1)\) bằng đa thức nào.
Phương pháp giải:
Lời giải chi tiết:
\(\begin{array}{l}(3x + 1)({x^2} - 2x + 1)\\ = 3x({x^2} - 2x + 1) + 1({x^2} - 2x + 1)\\ = 3{x^3} - 6{x^2} + 3x + {x^2} - 2x + 1\\ = 3{x^3} - 5{x^2} + x + 1\end{array}\)
Vì \((3x + 1)({x^2} - 2x + 1) = 3{x^3} - 5{x^2} + x + 1\)
\( \Rightarrow (3{x^3} - 5{x^2} + x + 1):(3x + 1) = {x^2} - 2x + 1\)
Thực hiện phép chia P(x) = \((6{x^2} + 4x)\) cho Q(x) = 2x
Phương pháp giải:
Lời giải chi tiết:
\((6{x^2} + 4x):2x = (6{x^2}:2x) + (4x:2x)\)
\( = 3x + 2\)
Thực hiện các phép chia sau \(\frac{{9{x^2} + 5x + x}}{{3x}}\) và \(\frac{{(2{x^2} - 4x) + (x - 2)}}{{2 - x}}\)
Phương pháp giải:
Lời giải chi tiết:
\(\frac{{9{x^2} + 5x + x}}{{3x}} = \frac{{9{x^2} + 6x}}{{3x}} = \frac{{9{x^2}}}{{3x}} + \frac{{6x}}{{3x}} = 3x + 2\)
\(\frac{{2{x^2} - 3x - 2}}{{2 - x}} = \frac{{2{x^2} - 3x - 2}}{{ - x + 2}} = - 2x - 1\)
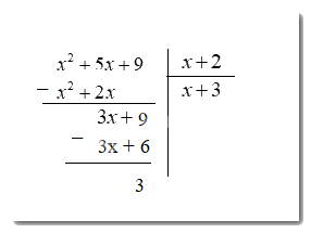
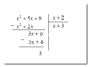
Thực hiện phép chia \(({x^2} + 5x + 9):(x + 2)\)
Phương pháp giải:
Ta sử dụng qui tắc chia 2 đa thức
Lời giải chi tiết:
\(({x^2} + 2x + 9):(x + 2) = \frac{{{x^2} + 5x + 9}}{{3x + 6}} = x + 3 + \frac{3}{{x + 2}}\) ta có :

Vậy \( = x + 3 + \frac{3}{{x + 2}}\)
Video hướng dẫn giải
Thực hiện phép nhân \((3x + 1)({x^2} - 2x + 1)\), rồi đoán xem \((3{x^3} - 5{x^2} + x + 1):(3x + 1)\) bằng đa thức nào.
Phương pháp giải:
Lời giải chi tiết:
\(\begin{array}{l}(3x + 1)({x^2} - 2x + 1)\\ = 3x({x^2} - 2x + 1) + 1({x^2} - 2x + 1)\\ = 3{x^3} - 6{x^2} + 3x + {x^2} - 2x + 1\\ = 3{x^3} - 5{x^2} + x + 1\end{array}\)
Vì \((3x + 1)({x^2} - 2x + 1) = 3{x^3} - 5{x^2} + x + 1\)
\( \Rightarrow (3{x^3} - 5{x^2} + x + 1):(3x + 1) = {x^2} - 2x + 1\)
Thực hiện phép chia P(x) = \((6{x^2} + 4x)\) cho Q(x) = 2x
Phương pháp giải:
Lời giải chi tiết:
\((6{x^2} + 4x):2x = (6{x^2}:2x) + (4x:2x)\)
\( = 3x + 2\)
Thực hiện các phép chia sau \(\frac{{9{x^2} + 5x + x}}{{3x}}\) và \(\frac{{(2{x^2} - 4x) + (x - 2)}}{{2 - x}}\)
Phương pháp giải:
Lời giải chi tiết:
\(\frac{{9{x^2} + 5x + x}}{{3x}} = \frac{{9{x^2} + 6x}}{{3x}} = \frac{{9{x^2}}}{{3x}} + \frac{{6x}}{{3x}} = 3x + 2\)
\(\frac{{2{x^2} - 3x - 2}}{{2 - x}} = \frac{{2{x^2} - 3x - 2}}{{ - x + 2}} = - 2x - 1\)
Thực hiện phép chia \(({x^2} + 5x + 9):(x + 2)\)
Phương pháp giải:
Ta sử dụng qui tắc chia 2 đa thức
Lời giải chi tiết:
\(({x^2} + 2x + 9):(x + 2) = \frac{{{x^2} + 5x + 9}}{{3x + 6}} = x + 3 + \frac{3}{{x + 2}}\) ta có :

Vậy \( = x + 3 + \frac{3}{{x + 2}}\)
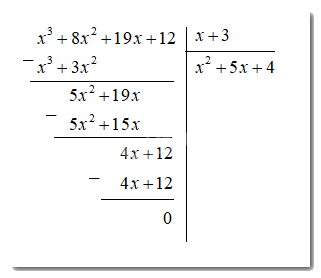
Tính diện tích đáy của một hình hộp chữ nhật (Hình 3) có chiều cao bằng (x + 3) cm và có thể tích bằng \(({x^3} + 8{x^2} + 19x + 12)\)\(c{m^3}\)

Phương pháp giải:
Lời giải chi tiết:
\( \Rightarrow ({x^3} + 8{x^2} + 19x + 12):(x + 3) =\) diện tích đáy
Ta có :

Vậy diện tích đáy là : \({x^2} + 5x + 4\) \(c{m^2}\)
Tính diện tích đáy của một hình hộp chữ nhật (Hình 3) có chiều cao bằng (x + 3) cm và có thể tích bằng \(({x^3} + 8{x^2} + 19x + 12)\)\(c{m^3}\)

Phương pháp giải:
Lời giải chi tiết:
\( \Rightarrow ({x^3} + 8{x^2} + 19x + 12):(x + 3) =\) diện tích đáy
Ta có :

Vậy diện tích đáy là : \({x^2} + 5x + 4\) \(c{m^2}\)
Mục 2 của SGK Toán 7 tập 2 chương trình Chân trời sáng tạo thường xoay quanh các chủ đề về biểu thức đại số, các phép toán với biểu thức đại số, và ứng dụng của chúng trong giải quyết các bài toán thực tế. Việc nắm vững kiến thức nền tảng và phương pháp giải là vô cùng quan trọng để học sinh có thể tự tin làm bài tập và đạt kết quả tốt.
Mục 2 thường bao gồm các nội dung sau:
Để giải các bài tập trong Mục 2 trang 38, 39 SGK Toán 7 tập 2 hiệu quả, học sinh cần:
Dưới đây là lời giải chi tiết cho từng bài tập trong Mục 2 trang 38, 39 SGK Toán 7 tập 2 Chân trời sáng tạo:
Đề bài: ...
Lời giải: ...
Đề bài: ...
Lời giải: ...
Đề bài: ...
Lời giải: ...
Trong quá trình giải bài tập, học sinh cần lưu ý một số điểm sau:
Kiến thức về biểu thức đại số và các phép toán với biểu thức đại số có ứng dụng rất lớn trong nhiều lĩnh vực của đời sống, như:
Hy vọng rằng với lời giải chi tiết và phương pháp giải bài tập hiệu quả mà giaibaitoan.com cung cấp, các em học sinh sẽ tự tin hơn trong việc học tập môn Toán 7. Chúc các em học tốt!
| Bài tập | Lời giải |
|---|---|
| Bài 1 | ... |
| Bài 2 | ... |