Chào mừng bạn đến với giaibaitoan.com, nơi cung cấp lời giải chi tiết và dễ hiểu cho các bài tập Toán 10. Bài viết này sẽ hướng dẫn bạn giải bài 2 trang 35 SGK Toán 10 tập 2 – Chân trời sáng tạo một cách nhanh chóng và hiệu quả.
Chúng tôi luôn cố gắng mang đến những giải pháp học tập tốt nhất, giúp bạn nắm vững kiến thức và tự tin hơn trong quá trình học tập.
Khai triển và rút gọn các biểu thức sau:
Đề bài
Khai triển và rút gọn các biểu thức sau:
a) \({\left( {2 + \sqrt 2 } \right)^4}\)
b) \({\left( {2 + \sqrt 2 } \right)^4} + {\left( {2 - \sqrt 2 } \right)^4}\)
c) \({\left( {1 - \sqrt 3 } \right)^5}\)
Phương pháp giải - Xem chi tiết
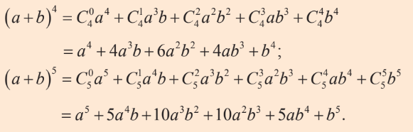
Sử dụng công thức nhị thức Newton

Lời giải chi tiết
a) Áp dụng công thức nhị thức Newton, ta có
\(\begin{array}{l}{\left( {2 + \sqrt 2 } \right)^4} = {2^4} + {4.2^3}.\left( {\sqrt 2 } \right) + {6.2^2}.{\left( {\sqrt 2 } \right)^2} + 4.2.{\left( {\sqrt 2 } \right)^3} + {\left( {\sqrt 2 } \right)^4}\\ = \left[ {{2^4} + {{6.2}^2}.{{\left( {\sqrt 2 } \right)}^2} + {{\left( {\sqrt 2 } \right)}^4}} \right] + \left[ {{{4.2}^3}.\left( {\sqrt 2 } \right) + 4.2.{{\left( {\sqrt 2 } \right)}^3}} \right]\\ = 68 + 48\sqrt 2 \end{array}\)
b) Áp dụng công thức nhị thức Newton, ta có
\({\left( {2 + \sqrt 2 } \right)^4} = {2^4} + {4.2^3}.\left( {\sqrt 2 } \right) + {6.2^2}.{\left( {\sqrt 2 } \right)^2} + 4.2.{\left( {\sqrt 2 } \right)^3} + {\left( {\sqrt 2 } \right)^4}\)
\({\left( {2 - \sqrt 2 } \right)^4} = \left( {2 +(- \sqrt 2 )} \right)^4= {2^4} + {4.2^3}.\left( { - \sqrt 2 } \right) + {6.2^2}.{\left( { - \sqrt 2 } \right)^2} + 4.2.{\left( { - \sqrt 2 } \right)^3} + {\left( { - \sqrt 2 } \right)^4}\)
Từ đó,
\(\begin{array}{l}{\left( {2 + \sqrt 2 } \right)^4} + {\left( {2 - \sqrt 2 } \right)^4} = 2\left[ {{2^4} + {{6.2}^2}.{{\left( {\sqrt 2 } \right)}^2} + {{\left( {\sqrt 2 } \right)}^4}} \right]\\ = 2\left( {16 + 48 + 4} \right) = 136\end{array}\)
c) Áp dụng công thức nhị thức Newton, ta có
\(\begin{array}{l}{\left( {1 - \sqrt 3 } \right)^5} = \left( {1 +(- \sqrt 3 )} \right)^5= 1 + 5.\left( { - \sqrt 3 } \right) + 10.{\left( { - \sqrt 3 } \right)^2} + 10.{\left( { - \sqrt 3 } \right)^3} + 5.{\left( { - \sqrt 3 } \right)^4} + 1.{\left( { - \sqrt 3 } \right)^5}\\ = \left[ {1 + 10.{{\left( { - \sqrt 3 } \right)}^2} + 5.{{\left( { - \sqrt 3 } \right)}^4}} \right] + \left[ {5.\left( { - \sqrt 3 } \right) + 10.{{\left( { - \sqrt 3 } \right)}^3} + 1.{{\left( { - \sqrt 3 } \right)}^5}} \right]\\ = 76 - 44\sqrt 3 \end{array}\)
Bài 2 trang 35 SGK Toán 10 tập 2 – Chân trời sáng tạo thuộc chương trình học Toán 10, tập trung vào việc vận dụng kiến thức về vectơ để giải quyết các bài toán hình học. Bài tập này yêu cầu học sinh hiểu rõ các khái niệm như vectơ, phép cộng, phép trừ vectơ, tích của một số với vectơ, và các tính chất liên quan.
Bài 2 thường bao gồm các dạng bài tập sau:
Để giúp bạn hiểu rõ hơn về cách giải bài tập này, chúng ta sẽ đi vào phân tích từng phần của bài tập và đưa ra lời giải chi tiết.
(Nội dung câu a của bài 2 sẽ được trình bày chi tiết ở đây, bao gồm phân tích đề bài, các bước giải, và kết luận.)
(Nội dung câu b của bài 2 sẽ được trình bày chi tiết ở đây, bao gồm phân tích đề bài, các bước giải, và kết luận.)
(Nội dung câu c của bài 2 sẽ được trình bày chi tiết ở đây, bao gồm phân tích đề bài, các bước giải, và kết luận.)
Để giải quyết bài 2 trang 35 SGK Toán 10 tập 2 – Chân trời sáng tạo một cách hiệu quả, bạn cần nắm vững các kiến thức sau:
Dưới đây là một số mẹo giúp bạn giải bài tập vectơ một cách dễ dàng hơn:
Để củng cố kiến thức và rèn luyện kỹ năng giải bài tập vectơ, bạn có thể tham khảo các bài tập tương tự sau:
Hy vọng rằng với lời giải chi tiết và các kiến thức, mẹo giải bài tập được trình bày trong bài viết này, bạn đã có thể tự tin giải bài 2 trang 35 SGK Toán 10 tập 2 – Chân trời sáng tạo. Chúc bạn học tập tốt!