Chào mừng bạn đến với giaibaitoan.com, nơi cung cấp lời giải chi tiết và dễ hiểu cho các bài tập Toán 10 tập 2. Bài viết này sẽ hướng dẫn bạn giải quyết các bài tập trong mục 2 trang 40 và 41 của sách giáo khoa Toán 10 tập 2, chương trình Chân trời sáng tạo.
Chúng tôi hiểu rằng việc tự học Toán đôi khi có thể gặp nhiều khó khăn. Vì vậy, chúng tôi đã biên soạn lời giải chi tiết, kèm theo các bước giải thích rõ ràng, giúp bạn nắm vững kiến thức và tự tin giải các bài tập tương tự.
Một thiết bị thăm dò đáy biển đang lặn với vận tốc v=(10; - 8) (hình 8).
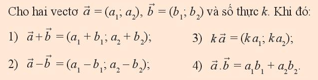
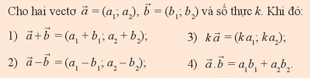
Trong mặt phẳng Oxy, cho hai vectơ \(\overrightarrow a = \left( {{a_1},{a_2}} \right),\overrightarrow b = \left( {{b_1},{b_2}} \right)\) và số thực k. Ta đã biết có thể biểu diễn từng vectơ \(\overrightarrow a ,\overrightarrow b \) theo hai vectơ , \(\overrightarrow j \) như sau
a) Biểu diễn từng vectơ \(\overrightarrow a + \overrightarrow b ,\overrightarrow a - \overrightarrow b ,k\overrightarrow a \) theo hai vectơ , \(\overrightarrow j \)
b) Tìm \(\overrightarrow a .\overrightarrow b \) theo tọa độ của hai vectơ \(\overrightarrow a \) và \(\overrightarrow b \)
Lời giải chi tiết:
a) Ta có
\(\begin{array}{*{20}{l}}{\vec a + \vec b = \left( {{a_1} + {a_2}\vec j} \right) + \left( {{b_1} + {b_2}\vec j} \right) = \left( {{a_1} + {b_1}} \right) + \left( {{a_2} + {b_2}} \right)}\\{\vec a - \vec b = \left( {{a_1} + {a_2}\vec j} \right) - \left( {{b_1} + {b_2}\vec j} \right) = \left( {{a_1} - {b_1}} \right) + \left( {{a_2} - {b_2}} \right)}\\{k\vec a = k\left( {{a_1} + {a_2}\vec j} \right) = k{a_1} + k{a_2}\vec j}\end{array}\)
b) Ta có
\(\begin{array}{l}\vec a.\vec b = \left( {{a_1}\overrightarrow i + {a_2}\vec j} \right).\left( {{b_1}\overrightarrow i + {b_2}\vec j} \right)\\ = {a_1}{b_1}{\overrightarrow i ^2} + {a_1}{b_2}\overrightarrow i .\vec j + {a_2}{b_1}\overrightarrow i \vec j + {a_2}{b_2}{{\vec j}^2}\\ = {a_1}{b_1} + {a_2}{b_2}\end{array}\)
Vì \({\overrightarrow i ^2} = {\left| {\overrightarrow i } \right|^2} = 1,{\overrightarrow j ^2} = {\left| {\overrightarrow j } \right|^2} = 1,\overrightarrow i \overrightarrow j = 0\)
Một thiết bị thăm dò đáy biển đang lặn với vận tốc \(\overrightarrow v = \left( {10; - 8} \right)\) (hình 8). Cho biết vận tốc của dòng hải lưu vùng biển là \(\overrightarrow w = \left( {3,5;0} \right)\). Tìm tọa dộ của vectơ tổng hai vận tốc \(\overrightarrow v \) và \(\overrightarrow w \)

Phương pháp giải:
Với \(\overrightarrow v = \left( {{v_1};{v_2}} \right),\overrightarrow w = \left( {{w_1};{w_2}} \right)\) thì \(\overrightarrow v + \overrightarrow w \) là \(\left( {{v_1} + {w_1};{v_2} + {w_2}} \right)\)
Lời giải chi tiết:
\(\overrightarrow v + \overrightarrow w = (10 + 3,5;( - 8) + 0) = (13,5; - 8)\)
Vậy tọa độ của vectơ tổng hai vận tốc \(\overrightarrow v \) và \(\overrightarrow w \) là \((13,5; - 8)\)
Cho hai vectơ \(\overrightarrow m = \left( { - 6;1} \right),\overrightarrow n = \left( {0;2} \right)\)
a) Tìm tọa độ các vectơ \(\overrightarrow m + \overrightarrow n ,\overrightarrow m - \overrightarrow n ,10\overrightarrow m , - 4\overrightarrow n \)
b) Tính các tích vô hướng \(\overrightarrow m .\overrightarrow n ,\left( {10\overrightarrow m } \right).\left( { - 4\overrightarrow n } \right)\)
Phương pháp giải:

Lời giải chi tiết:
a) Ta có
\(\begin{array}{l}\overrightarrow m + \overrightarrow n = \left( {\left( { - 6 + 0} \right);1 + 2} \right) = ( - 6;3)\\\overrightarrow m - \overrightarrow n = \left( {\left( { - 6 - 0} \right);\left( {1 - 2} \right)} \right) = \left( { - 6; - 1} \right)\\10\overrightarrow m = (10.( - 6);10.1) = ( - 60;10)\\ - 4\overrightarrow n = (( - 4).0;( - 4).2) = (0; - 8)\end{array}\)
b) Ta có
\(\overrightarrow m .\overrightarrow n = ( - 6).0 + 1.2 = 0 + 2 = 2\)
Ta có \(10\overrightarrow m = ( - 60;10)\) và \( - 4\overrightarrow n = (0; - 8)\) nên \(\left( {10\overrightarrow m } \right).\left( { - 4\overrightarrow n } \right) = ( - 60).0 + 10.( - 8) = 0 - 80 = - 80\)
Trong mặt phẳng Oxy, cho hai vectơ \(\overrightarrow a = \left( {{a_1},{a_2}} \right),\overrightarrow b = \left( {{b_1},{b_2}} \right)\) và số thực k. Ta đã biết có thể biểu diễn từng vectơ \(\overrightarrow a ,\overrightarrow b \) theo hai vectơ , \(\overrightarrow j \) như sau
a) Biểu diễn từng vectơ \(\overrightarrow a + \overrightarrow b ,\overrightarrow a - \overrightarrow b ,k\overrightarrow a \) theo hai vectơ , \(\overrightarrow j \)
b) Tìm \(\overrightarrow a .\overrightarrow b \) theo tọa độ của hai vectơ \(\overrightarrow a \) và \(\overrightarrow b \)
Lời giải chi tiết:
a) Ta có
\(\begin{array}{*{20}{l}}{\vec a + \vec b = \left( {{a_1} + {a_2}\vec j} \right) + \left( {{b_1} + {b_2}\vec j} \right) = \left( {{a_1} + {b_1}} \right) + \left( {{a_2} + {b_2}} \right)}\\{\vec a - \vec b = \left( {{a_1} + {a_2}\vec j} \right) - \left( {{b_1} + {b_2}\vec j} \right) = \left( {{a_1} - {b_1}} \right) + \left( {{a_2} - {b_2}} \right)}\\{k\vec a = k\left( {{a_1} + {a_2}\vec j} \right) = k{a_1} + k{a_2}\vec j}\end{array}\)
b) Ta có
\(\begin{array}{l}\vec a.\vec b = \left( {{a_1}\overrightarrow i + {a_2}\vec j} \right).\left( {{b_1}\overrightarrow i + {b_2}\vec j} \right)\\ = {a_1}{b_1}{\overrightarrow i ^2} + {a_1}{b_2}\overrightarrow i .\vec j + {a_2}{b_1}\overrightarrow i \vec j + {a_2}{b_2}{{\vec j}^2}\\ = {a_1}{b_1} + {a_2}{b_2}\end{array}\)
Vì \({\overrightarrow i ^2} = {\left| {\overrightarrow i } \right|^2} = 1,{\overrightarrow j ^2} = {\left| {\overrightarrow j } \right|^2} = 1,\overrightarrow i \overrightarrow j = 0\)
Cho hai vectơ \(\overrightarrow m = \left( { - 6;1} \right),\overrightarrow n = \left( {0;2} \right)\)
a) Tìm tọa độ các vectơ \(\overrightarrow m + \overrightarrow n ,\overrightarrow m - \overrightarrow n ,10\overrightarrow m , - 4\overrightarrow n \)
b) Tính các tích vô hướng \(\overrightarrow m .\overrightarrow n ,\left( {10\overrightarrow m } \right).\left( { - 4\overrightarrow n } \right)\)
Phương pháp giải:

Lời giải chi tiết:
a) Ta có
\(\begin{array}{l}\overrightarrow m + \overrightarrow n = \left( {\left( { - 6 + 0} \right);1 + 2} \right) = ( - 6;3)\\\overrightarrow m - \overrightarrow n = \left( {\left( { - 6 - 0} \right);\left( {1 - 2} \right)} \right) = \left( { - 6; - 1} \right)\\10\overrightarrow m = (10.( - 6);10.1) = ( - 60;10)\\ - 4\overrightarrow n = (( - 4).0;( - 4).2) = (0; - 8)\end{array}\)
b) Ta có
\(\overrightarrow m .\overrightarrow n = ( - 6).0 + 1.2 = 0 + 2 = 2\)
Ta có \(10\overrightarrow m = ( - 60;10)\) và \( - 4\overrightarrow n = (0; - 8)\) nên \(\left( {10\overrightarrow m } \right).\left( { - 4\overrightarrow n } \right) = ( - 60).0 + 10.( - 8) = 0 - 80 = - 80\)
Một thiết bị thăm dò đáy biển đang lặn với vận tốc \(\overrightarrow v = \left( {10; - 8} \right)\) (hình 8). Cho biết vận tốc của dòng hải lưu vùng biển là \(\overrightarrow w = \left( {3,5;0} \right)\). Tìm tọa dộ của vectơ tổng hai vận tốc \(\overrightarrow v \) và \(\overrightarrow w \)

Phương pháp giải:
Với \(\overrightarrow v = \left( {{v_1};{v_2}} \right),\overrightarrow w = \left( {{w_1};{w_2}} \right)\) thì \(\overrightarrow v + \overrightarrow w \) là \(\left( {{v_1} + {w_1};{v_2} + {w_2}} \right)\)
Lời giải chi tiết:
\(\overrightarrow v + \overrightarrow w = (10 + 3,5;( - 8) + 0) = (13,5; - 8)\)
Vậy tọa độ của vectơ tổng hai vận tốc \(\overrightarrow v \) và \(\overrightarrow w \) là \((13,5; - 8)\)
Mục 2 của chương trình Toán 10 tập 2, Chân trời sáng tạo tập trung vào việc nghiên cứu về vectơ và các phép toán vectơ cơ bản. Các bài tập trang 40 và 41 thường xoay quanh việc xác định vectơ, biểu diễn vectơ, thực hiện các phép cộng, trừ vectơ, và tính độ dài của vectơ. Việc nắm vững kiến thức này là nền tảng quan trọng cho các chương trình học Toán ở các lớp trên.
Bài tập này yêu cầu học sinh xác định các vectơ trong hình vẽ hoặc trong một tình huống cụ thể. Để giải bài tập này, cần nắm vững định nghĩa về vectơ, các yếu tố của vectơ (điểm đầu, điểm cuối, độ dài, hướng), và cách biểu diễn vectơ.
Bài tập này yêu cầu học sinh thực hiện các phép cộng, trừ vectơ. Để giải bài tập này, cần nắm vững quy tắc cộng, trừ vectơ (quy tắc hình bình hành, quy tắc tam giác).
Quy tắc hình bình hành: Nếu ABCD là hình bình hành, thì AB + AD = AC.
Quy tắc tam giác: Nếu ABC là tam giác, thì AB + BC = AC.
Bài tập này yêu cầu học sinh tính độ dài của vectơ. Để giải bài tập này, cần nắm vững công thức tính độ dài của vectơ trong hệ tọa độ.
Công thức: Cho vectơ a = (x; y), độ dài của vectơ a là: |a| = √(x² + y²).
| Công thức | Mô tả |
|---|---|
| |a| = √(x² + y²) | Độ dài của vectơ a = (x; y) |
| a + b = (x₁ + x₂; y₁ + y₂) | Phép cộng vectơ |
| a - b = (x₁ - x₂; y₁ - y₂) | Phép trừ vectơ |
Hy vọng với những hướng dẫn chi tiết và các mẹo giải bài tập trên, bạn sẽ tự tin giải quyết các bài tập trong mục 2 trang 40, 41 SGK Toán 10 tập 2 - Chân trời sáng tạo. Chúc bạn học tập tốt!