Chào mừng bạn đến với giaibaitoan.com, nơi cung cấp lời giải chi tiết và dễ hiểu cho các bài tập Toán 10. Bài viết này sẽ hướng dẫn bạn cách giải bài 2 trang 60 SGK Toán 10 tập 1 – Cánh diều một cách nhanh chóng và hiệu quả.
Chúng tôi luôn cố gắng mang đến những giải pháp học tập tốt nhất, giúp bạn tự tin hơn trong việc chinh phục môn Toán.
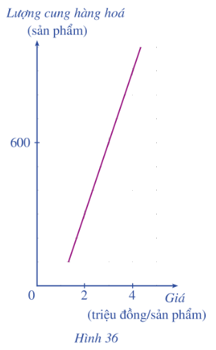
Đồ thị ở Hình 36 cho thấy sự phụ thuộc của lượng hàng hoá được sản xuất (cung) (đơn vị; sản phẩm) bởi giá bán (đơn vị: triệu đồng/sản phẩm) đối với một loại hàng hoá.
Đề bài

Đồ thị ở Hình 36 cho thấy sự phụ thuộc của lượng hàng hoá được sản xuất (cung) (đơn vị; sản phẩm) bởi giá bán (đơn vị: triệu đồng/sản phẩm) đối với một loại hàng hoá.
a) Xác định lượng hàng hoá được sản xuất khi mức giá bán 1 sản phẩm là 2 triệu đồng; 4 triệu đồng.
b) Biết nhu cầu thị trường đang cần là 600 sản phẩm. Hỏi với mức giá bán là bao nhiêu thì thị trường cân bằng (thị trường cân bằng khi sản lượng cung bằng sản lượng cầu)?
Phương pháp giải - Xem chi tiết
a) Tìm điểm trên đồ thị có hoành độ bằng 2 và bằng 4. Từ đó tìm tung độ.
b) Tìm điểm trên đồ thị có tung độ bằng 6. Từ đó tìm hoành độ.
Lời giải chi tiết
a) Từ đồ thị ta thấy khi giá bán là 2 triệu đồng/sản phẩm thì lượng cung hàng hóa là: 300 sản phẩm, khi giá bán là 4 triệu đồng/sản phẩm thì lượng cung hàng hóa là 900 sản phẩm.
b) Khi nhu cầu thị trường là 600 sản phẩm, để cân bằng thị trường thì lượng cung bằng lượng cầu. Khi đó lượng cung hàng hóa cũng là 600 sản phẩm.
Từ đồ thị ta thấy khi lượng cung hàng hóa là 600 sản phẩm thì giá bán là 3 triệu đồng/sản phẩm.
Bài 2 trang 60 SGK Toán 10 tập 1 – Cánh diều thuộc chương trình học Toán 10, tập trung vào việc vận dụng các kiến thức về tập hợp, các phép toán trên tập hợp, và các tính chất cơ bản của tập hợp để giải quyết các bài toán cụ thể. Bài tập này thường yêu cầu học sinh xác định các tập hợp, tìm phần tử thuộc tập hợp, thực hiện các phép hợp, giao, hiệu, bù của các tập hợp, và chứng minh các đẳng thức liên quan đến tập hợp.
Bài 2 trang 60 SGK Toán 10 tập 1 – Cánh diều thường bao gồm các câu hỏi và bài tập sau:
Để giải bài tập về tập hợp một cách hiệu quả, bạn cần nắm vững các kiến thức cơ bản sau:
(Ở đây sẽ là lời giải chi tiết cho từng phần của bài 2, trang 60, SGK Toán 10 tập 1 – Cánh diều. Ví dụ:)
Câu a: Cho A = {1, 2, 3, 4} và B = {3, 4, 5, 6}. Tìm A ∪ B.
Lời giải: A ∪ B = {1, 2, 3, 4, 5, 6}.
Câu b: Cho A = {1, 2, 3, 4} và B = {3, 4, 5, 6}. Tìm A ∩ B.
Lời giải: A ∩ B = {3, 4}.
(Tiếp tục giải chi tiết các câu còn lại của bài 2)
Để củng cố kiến thức về tập hợp, bạn có thể làm thêm các bài tập tương tự sau:
Khi giải bài tập về tập hợp, bạn cần chú ý những điều sau:
Hy vọng bài viết này đã giúp bạn hiểu rõ hơn về cách giải bài 2 trang 60 SGK Toán 10 tập 1 – Cánh diều. Chúc bạn học tập tốt và đạt kết quả cao trong môn Toán!