Chào mừng các em học sinh đến với lời giải chi tiết bài 3 trang 67 SGK Toán 7 tập 2 - Cánh diều. Bài học này thuộc chương trình Toán 7, tập trung vào việc vận dụng các kiến thức đã học để giải quyết các bài toán thực tế.
Tại giaibaitoan.com, chúng tôi cung cấp lời giải dễ hiểu, chi tiết, giúp các em nắm vững kiến thức và tự tin hơn trong quá trình học tập.
Tính
Đề bài
Tính:
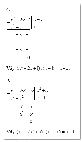
a) \(({x^2} - 2x + 1):(x - 1)\);
b) \(({x^3} + 2{x^2} + x):({x^2} + x)\);
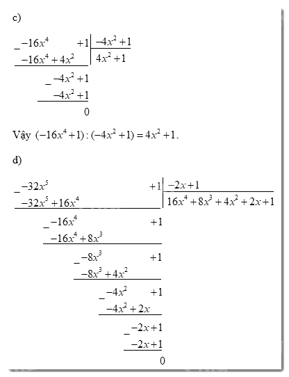
c) \(( - 16{x^4} + 1):( - 4{x^2} + 1)\);
d) \(( - 32{x^5} + 1):( - 2x + 1)\).
Phương pháp giải - Xem chi tiết
Để chia một đa thức cho một đa thức khác không (hai đa thức đều đã thu gọn và sắp xếp theo số mũ giảm dần), ta làm như sau:
Bước 1:
- Chia đơn thức bậc cao nhất của đa thức bị chia cho đơn thức bậc cao nhất của đa thức chia.
- Nhân kết quả trên với đa thức chia và đặt dưới đa thức bị chia sao cho hai đơn thức có cùng số mũ của biến ở cùng cột.
- Lấy đa thức bị chia trừ đi tích đặt dưới để được đa thức mới.
Bước 2: Tiếp tục quá trình trên cho đến khi nhận được đa thức không hoặc đa thức có bậc nhỏ hơn bậc của đa thức chia.
Lời giải chi tiết


Vậy \(( - 32{x^5} + 1):( - 2x + 1) = 16{x^4} + 8{x^3} + 4{x^2} + 2x + 1\).
Bài 3 trang 67 SGK Toán 7 tập 2 - Cánh diều là một bài tập quan trọng trong chương trình học Toán 7, tập trung vào việc rèn luyện kỹ năng giải bài toán liên quan đến các góc so le trong, góc đồng vị, góc trong cùng phía. Bài tập này yêu cầu học sinh phải nắm vững các định nghĩa, tính chất của các loại góc này và biết cách áp dụng chúng vào việc chứng minh các tính chất hình học.
Bài 3 trang 67 SGK Toán 7 tập 2 - Cánh diều thường bao gồm các dạng bài tập sau:
Để giúp các em học sinh hiểu rõ hơn về cách giải bài 3 trang 67 SGK Toán 7 tập 2 - Cánh diều, chúng tôi xin trình bày lời giải chi tiết cho từng phần của bài tập:
Trong phần này, các em cần xác định chính xác các cặp góc so le trong, góc đồng vị, góc trong cùng phía khi biết một đường thẳng cắt hai đường thẳng song song. Để làm được điều này, các em cần nắm vững định nghĩa và tính chất của các loại góc này.
Ví dụ: Cho hình vẽ, biết a // b và đường thẳng c cắt a và b. Hãy xác định các cặp góc so le trong, góc đồng vị, góc trong cùng phía.
Lời giải: Các cặp góc so le trong là: ∠A1 và ∠B2, ∠A4 và ∠B3. Các cặp góc đồng vị là: ∠A1 và ∠B1, ∠A2 và ∠B2, ∠A3 và ∠B3, ∠A4 và ∠B4. Các cặp góc trong cùng phía là: ∠A1 và ∠B3, ∠A2 và ∠B4.
Trong phần này, các em cần chứng minh hai đường thẳng song song dựa vào các tính chất của các góc so le trong, góc đồng vị, góc trong cùng phía. Để làm được điều này, các em cần biết các tính chất sau:
Ví dụ: Cho hình vẽ, biết ∠A1 = ∠B2. Hãy chứng minh a // b.
Lời giải: Vì ∠A1 = ∠B2 (giả thiết) nên a // b (dấu hiệu nhận biết hai đường thẳng song song).
Trong phần này, các em cần giải các bài toán thực tế liên quan đến các góc và đường thẳng song song. Để làm được điều này, các em cần biết cách phân tích bài toán, vẽ hình và áp dụng các kiến thức đã học để giải quyết bài toán.
Ví dụ: Một chiếc thang được dựa vào tường sao cho góc giữa thang và mặt đất là 60°. Hỏi góc giữa thang và tường là bao nhiêu độ?
Lời giải: Vì thang dựa vào tường tạo thành một tam giác vuông, nên góc giữa thang và tường là 90° - 60° = 30°.
Để giải bài tập về các góc và đường thẳng song song một cách hiệu quả, các em có thể tham khảo một số mẹo sau:
Để rèn luyện thêm kỹ năng giải bài tập về các góc và đường thẳng song song, các em có thể làm thêm một số bài tập tương tự sau:
Hy vọng rằng với lời giải chi tiết và các mẹo giải bài tập mà chúng tôi đã cung cấp, các em học sinh sẽ hiểu rõ hơn về cách giải bài 3 trang 67 SGK Toán 7 tập 2 - Cánh diều và tự tin hơn trong quá trình học tập. Chúc các em học tốt!