Chào mừng các em học sinh đến với bài giải câu hỏi khởi động trang 5 SGK Toán 7 tập 1 - Cánh diều. Tại giaibaitoan.com, chúng tôi cung cấp lời giải chi tiết, dễ hiểu, giúp các em nắm vững kiến thức và tự tin hơn trong quá trình học tập.
Bài tập khởi động này đóng vai trò quan trọng trong việc ôn lại kiến thức cũ và chuẩn bị cho bài học mới.
Nhiệt độ lúc 13 giờ ngày 24/01/2016 tại một số trạm đo được bởi bảng như sau:
Đề bài
Nhiệt độ lúc 13 giờ ngày 24/01/2016 tại một số trạm đo được bởi bảng như sau:

Các số chỉ nhiệt độ nêu trên có viết được dưới dạng phân số không?
Phương pháp giải - Xem chi tiết
Viết số thập phân dưới dạng phân số có mẫu số là lũy thừa của 10 như đã học
Lời giải chi tiết
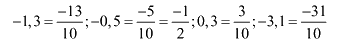
Các số chỉ nhiệt độ nêu trên có viết được dưới dạng phân số. Cụ thể:

Câu hỏi khởi động trang 5 SGK Toán 7 tập 1 - Cánh diều là phần mở đầu cho chương trình học Toán 7, tập trung vào việc củng cố kiến thức về các phép tính cơ bản và các khái niệm toán học đã được học ở bậc Tiểu học. Việc giải quyết thành công câu hỏi này không chỉ giúp học sinh ôn lại kiến thức cũ mà còn tạo tiền đề vững chắc cho việc tiếp thu kiến thức mới trong chương trình học.
Câu hỏi khởi động trang 5 thường xoay quanh các chủ đề sau:
Để giải quyết hiệu quả câu hỏi khởi động trang 5, học sinh cần:
Ví dụ: Tính giá trị của biểu thức: 5 + 3 x 2 - 8 : 4
Giải:
Vậy, giá trị của biểu thức là 9.
Học sinh cần lưu ý những điều sau:
Việc giải quyết thành công câu hỏi khởi động trang 5 không chỉ giúp học sinh củng cố kiến thức cũ mà còn tạo tiền đề vững chắc cho việc tiếp thu kiến thức mới trong chương trình học. Đồng thời, nó cũng giúp học sinh rèn luyện kỹ năng giải toán, tư duy logic và khả năng ứng dụng kiến thức vào thực tế.
Ngoài SGK Toán 7 tập 1 - Cánh diều, học sinh có thể tham khảo các nguồn tài liệu sau để hỗ trợ giải câu hỏi khởi động:
Câu hỏi khởi động trang 5 SGK Toán 7 tập 1 - Cánh diều là một phần quan trọng trong chương trình học Toán 7. Việc nắm vững kiến thức và phương pháp giải quyết câu hỏi này sẽ giúp học sinh tự tin hơn trong quá trình học tập và đạt kết quả tốt trong các kỳ thi.