Chào mừng các em học sinh đến với lời giải chi tiết bài 4 trang 67 SGK Toán 7 tập 2 - Cánh diều. Bài học này thuộc chương trình đại số lớp 7, tập trung vào việc vận dụng các kiến thức về biểu thức đại số và các phép toán để giải quyết các bài toán thực tế.
Giaibaitoan.com cung cấp lời giải dễ hiểu, chi tiết từng bước, giúp các em nắm vững kiến thức và tự tin giải các bài tập tương tự.
Tính:
Đề bài
Tính:
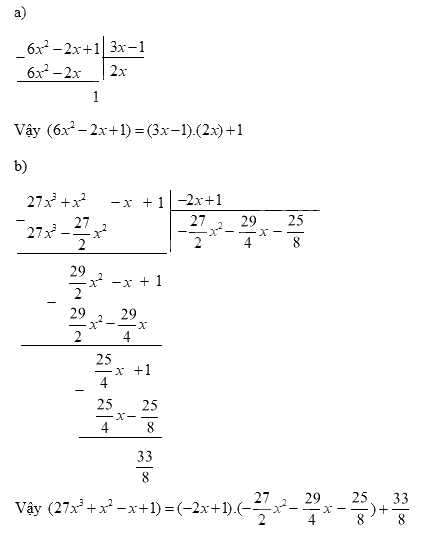
a) \((6{x^2} - 2x + 1):(3x - 1)\);
b) \((27{x^3} + {x^2} - x + 1):( - 2x + 1)\);
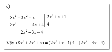
c) \((8{x^3} + 2{x^2} + x):(2{x^3} + x + 1)\);
d) \((3{x^4} + 8{x^3} - 2{x^2} + x + 1):(3x + 1)\)
Phương pháp giải - Xem chi tiết
Để chia một đa thức cho một đa thức khác không (hai đa thức đều đã thu gọn và sắp xếp theo số mũ giảm dần), ta làm như sau:
Bước 1:
- Chia đơn thức bậc cao nhất của đa thức bị chia cho đơn thức bậc cao nhất của đa thức chia.
- Nhân kết quả trên với đa thức chia và đặt dưới đa thức bị chia sao cho hai đơn thức có cùng số mũ của biến ở cùng cột.
- Lấy đa thức bị chia trừ đi tích đặt dưới để được đa thức mới.
Bước 2: Tiếp tục quá trình trên cho đến khi nhận được đa thức không hoặc đa thức có bậc nhỏ hơn bậc của đa thức chia.
Lời giải chi tiết



Bài 4 trang 67 SGK Toán 7 tập 2 - Cánh diều yêu cầu học sinh vận dụng kiến thức đã học về biểu thức đại số, các phép toán cộng, trừ, nhân, chia để giải quyết các bài toán liên quan đến việc tính giá trị của biểu thức. Bài tập này giúp học sinh rèn luyện kỹ năng tính toán, tư duy logic và khả năng áp dụng kiến thức vào thực tế.
Bài 4 bao gồm các ý nhỏ khác nhau, mỗi ý yêu cầu học sinh thực hiện một phép tính cụ thể. Các ý thường liên quan đến việc:
Để tính giá trị của biểu thức, ta thay giá trị của các biến đã cho vào biểu thức và thực hiện các phép toán theo thứ tự ưu tiên (ngoặc, nhân chia trước, cộng trừ sau). Ví dụ:
Nếu biểu thức là 2x + 3y và x = 1, y = 2, thì giá trị của biểu thức là 2 * 1 + 3 * 2 = 2 + 6 = 8.
Để rút gọn biểu thức đại số, ta sử dụng các quy tắc về phép toán cộng, trừ, nhân, chia và các tính chất của phép toán (tính giao hoán, tính kết hợp, tính phân phối). Ví dụ:
Biểu thức 3x + 2x - x có thể được rút gọn thành (3 + 2 - 1)x = 4x.
Để tìm giá trị của biến, ta thực hiện các phép toán để biến đó đứng một mình ở một bên của phương trình. Ví dụ:
Nếu phương trình là 2x + 5 = 11, thì ta trừ cả hai vế cho 5 để được 2x = 6, sau đó chia cả hai vế cho 2 để được x = 3.
Để rèn luyện thêm kỹ năng giải bài tập về biểu thức đại số, các em có thể tham khảo các bài tập tương tự sau:
Bài 4 trang 67 SGK Toán 7 tập 2 - Cánh diều là một bài tập quan trọng giúp học sinh củng cố kiến thức về biểu thức đại số và các phép toán. Hy vọng với lời giải chi tiết và các mẹo giải bài tập mà Giaibaitoan.com cung cấp, các em sẽ tự tin hơn trong việc học toán 7.