Chào mừng các em học sinh đến với chuyên mục giải bài tập Toán 7 tập 2 của giaibaitoan.com. Trong bài viết này, chúng tôi sẽ cung cấp lời giải chi tiết và dễ hiểu cho các bài tập trong mục I trang 54, 55, 56 sách giáo khoa Toán 7 tập 2 - Cánh diều.
Mục tiêu của chúng tôi là giúp các em nắm vững kiến thức, rèn luyện kỹ năng giải toán và đạt kết quả tốt nhất trong học tập.
a) Thực hiện phép cộng trong mỗi trường hợp sau b) Nêu quy tắc cộng hai đơn thức có cùng số mũ của biến.
a) Thực hiện phép cộng trong mỗi trường hợp sau: \(5{x^2} + 7{x^2}\); \(a{x^2} + b{x^2}\) (k \(\in\) N*).
b) Nêu quy tắc cộng hai đơn thức có cùng số mũ của biến.
Phương pháp giải:
a) Để thực hiện phép cộng trong các phép tính, ta giữ nguyên biến và cộng các hệ số lại với nhau.
b) Rút ra quy tắc cộng hai đơn thức có cùng số mũ của biến từ cách thực hiện phần a.
Lời giải chi tiết:
a)
\(5{x^2} + 7{x^2} = (5 + 7){x^2} = 12{x^2}\); \(a{x^2} + b{x^2} = (a + b){x^2}\).
b) Muốn cộng hai đơn thức có cùng số mũ của biến, ta giữ nguyên biến và tính tổng của các hệ số có trong đơn thức.
Cho hai đa thức:
\(P(x) = - 2{x^2} + 1 + 3x\) và \(Q(x) = - 5x + 3{x^2} + 4\).
a) Sắp xếp các đa thức P(x) và Q(x) theo số mũ giảm dần của biến.
b) Viết tổng P(x) + Q(x) theo hàng ngang.
c) Nhóm các đơn thức có cùng số mũ của biến với nhau.
d) Tính tổng P(x) + Q(x) bằng cách thực hiện phép tính trong từng nhóm.
Phương pháp giải:
a) Sắp xếp đa thức (một biến) theo số mũ giảm dần của biến là sắp xếp các đơn thức trong dạng thu gọn của đa thức đó theo số mũ giảm dần của biến. (Ở cả 2 đa thức đã cho thì số mũ lớn nhất là 2 rồi đến 1 và 0).
b) Viết tổng hai đa thức theo hàng ngang.
c) Nhóm các đơn thức có cùng số mũ của biến với nhau.
d) Thực hiện phép tính sau khi đã nhóm.
Lời giải chi tiết:
a) \(P(x) = - 2{x^2} + 1 + 3x = - 2{x^2} + 3x + 1\); \(Q(x) = - 5x + 3{x^2} + 4 = 3{x^2} - 5x + 4\).
b) \(P(x) + Q(x) = ( - 2{x^2} + 3x + 1) + (3{x^2} - 5x + 4)\).
c) \(\begin{array}{l}P(x) + Q(x) = ( - 2{x^2} + 3x + 1) + (3{x^2} - 5x + 4)\\ = - 2{x^2} + 3x + 1 + 3{x^2} - 5x + 4\\ = ( - 2{x^2} + 3{x^2}) + (3x - 5x) + (1 + 4)\end{array}\)
d) \(\begin{array}{l}P(x) + Q(x) = ( - 2{x^2} + 3{x^2}) + (3x - 5x) + (1 + 4)\\ = ( - 2 + 3){x^2} + (3 - 5)x + (1 + 4)\\ = {x^2} - 2x + 5\end{array}\)
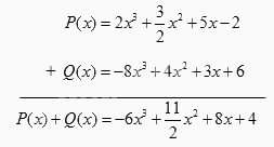
Tính tổng của hai đa thức sau bằng hai cách:
\(P(x) = 2{x^3} + \dfrac{3}{2}{x^2} + 5x - 2\);
\(Q(x) = - 8{x^3} + 4{x^2} + 6 + 3x\).
Phương pháp giải:
Nhớ lại cách thức cộng hai đa thức theo cột dọc và theo hàng ngang:
Để cộng hai đa thức một biến (theo cột dọc), ta có thể làm như sau:
- Thu gọn mỗi đa thức và sắp xếp hai đa thức đó cùng theo số mũ giảm dần (hoặc tăng dần) của biến;
- Đặt hai đơn thức có cùng số mũ của biến ở cùng cột;
- Cộng hai đơn thức trong từng cột, ta có tổng cần tìm.
Để cộng hai đa thức một biến (theo hàng ngang), ta có thể làm như sau:
- Thu gọn mỗi đa thức và sắp xếp hai đa thức đó cùng theo số mũ giảm dần (hoặc tăng dần) của biến;
- Viết tổng hai đơn thức theo hàng ngang;
- Nhóm các đơn thức có cùng số mũ của biến với nhau;
- Thực hiện phép tính trong từng nhóm, ta được tổng cần tìm.
Lời giải chi tiết:
Theo cột dọc:

Theo hàng ngang:
\(\begin{array}{l}P(x) + Q(x) = 2{x^3} + \dfrac{3}{2}{x^2} + 5x - 2 + ( - 8){x^3} + 4{x^2} + 3x + 6\\ = (2 - 8){x^3} + (\dfrac{3}{2} + 4){x^2} + (5 + 3)x + ( - 2 + 6)\\ = - 6{x^3} + \dfrac{{11}}{2}{x^2} + 8x + 4\end{array}\)
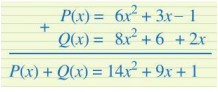
Để cộng hai đa thức P(x), Q(x), bạn Dũng viết như dưới đây có đúng không? Vì sao? Nếu chưa đúng, em hãy sửa lại cho đúng.

Phương pháp giải:
Xem lại cách thức cộng hai đơn thức theo hàng dọc:
- Thu gọn mỗi đa thức và sắp xếp hai đa thức đó cùng theo số mũ giảm dần (hoặc tăng dần) của biến;
- Đặt hai đơn thức có cùng số mũ của biến ở cùng cột;
- Cộng hai đơn thức trong từng cột, ta có tổng cần tìm.
Và xem lại Ví dụ 2.
Lời giải chi tiết:
Cách làm của bạn Dũng chưa đúng.
Lí do:
+ Vì các đơn thức 3x và 6 không có cùng số mũ của biến nên chúng không được viết ở cùng cột.
+ Vì các đơn thức – 1 và 2x không có cùng số mũ của biến nên chúng không được viết ở cùng cột.
Các đơn thức 3x và 2x sẽ được viết cùng cột (cùng có số mũ của biến là 1); các đơn thức 6 và – 1 sẽ được viết cùng cột (cùng số mũ của biến là 0).
Cách viết đúng là:

Cho hai đa thức
\(P(x) = 5{x^2} + 4 + 2x\) và \(Q(x) = 8x + {x^2} + 1\).
a) Sắp xếp các đa thức P(x), Q(x) theo số mũ giảm dần của biến.
b) Tìm đơn thức thích hợp trong dạng thu gọn của P(x) và Q(x) cho ? ở bảng sau rồi cộng hai đơn thức theo từng cột và thể hiện kết quả ở dòng cuối cùng của mỗi cột:

c) Dựa vào kết quả cộng hai đơn thức theo từng cột, xác định đơn thức R(x).
Phương pháp giải:
a) Sắp xếp đa thức (một biến) theo số mũ giảm dần của biến là sắp xếp các đơn thức trong dạng thu gọn của đa thức đó theo số mũ giảm dần của biến.
b) Quan sát bảng để đưa ra các đơn thức thích hợp phù hợp với biến có số mũ tương ứng.
c) Xác định đơn thức R(x) dựa vào kết quả phần b).
Lời giải chi tiết:
a) \(P(x) = 5{x^2} + 4 + 2x = 5{x^2} + 2x + 4\); \(Q(x) = 8x + {x^2} + 1 = {x^2} + 8x + 1\).
b)
Đa thức | Đơn thức có số mũ 2 của biến (Đơn thức chứa \({x^2}\)) | Đơn thức có số mũ 1 của biến (Đơn thức chứa x) | Số hạng tự do (Đơn thức không chứa x) |
P(x) | \(5{x^2}\) | 2x | 4 |
Q(x) | \({x^2}\) | 8x | 1 |
R(x) | \(6{x^2}\) | 10x | 5 |
c) Vậy \(R(x) = 6{x^2} + 10x + 5\).
I. Cộng hai đa thức một biến
a) Thực hiện phép cộng trong mỗi trường hợp sau: \(5{x^2} + 7{x^2}\); \(a{x^2} + b{x^2}\) (k \(\in\) N*).
b) Nêu quy tắc cộng hai đơn thức có cùng số mũ của biến.
Phương pháp giải:
a) Để thực hiện phép cộng trong các phép tính, ta giữ nguyên biến và cộng các hệ số lại với nhau.
b) Rút ra quy tắc cộng hai đơn thức có cùng số mũ của biến từ cách thực hiện phần a.
Lời giải chi tiết:
a)
\(5{x^2} + 7{x^2} = (5 + 7){x^2} = 12{x^2}\); \(a{x^2} + b{x^2} = (a + b){x^2}\).
b) Muốn cộng hai đơn thức có cùng số mũ của biến, ta giữ nguyên biến và tính tổng của các hệ số có trong đơn thức.
Cho hai đa thức
\(P(x) = 5{x^2} + 4 + 2x\) và \(Q(x) = 8x + {x^2} + 1\).
a) Sắp xếp các đa thức P(x), Q(x) theo số mũ giảm dần của biến.
b) Tìm đơn thức thích hợp trong dạng thu gọn của P(x) và Q(x) cho ? ở bảng sau rồi cộng hai đơn thức theo từng cột và thể hiện kết quả ở dòng cuối cùng của mỗi cột:

c) Dựa vào kết quả cộng hai đơn thức theo từng cột, xác định đơn thức R(x).
Phương pháp giải:
a) Sắp xếp đa thức (một biến) theo số mũ giảm dần của biến là sắp xếp các đơn thức trong dạng thu gọn của đa thức đó theo số mũ giảm dần của biến.
b) Quan sát bảng để đưa ra các đơn thức thích hợp phù hợp với biến có số mũ tương ứng.
c) Xác định đơn thức R(x) dựa vào kết quả phần b).
Lời giải chi tiết:
a) \(P(x) = 5{x^2} + 4 + 2x = 5{x^2} + 2x + 4\); \(Q(x) = 8x + {x^2} + 1 = {x^2} + 8x + 1\).
b)
Đa thức | Đơn thức có số mũ 2 của biến (Đơn thức chứa \({x^2}\)) | Đơn thức có số mũ 1 của biến (Đơn thức chứa x) | Số hạng tự do (Đơn thức không chứa x) |
P(x) | \(5{x^2}\) | 2x | 4 |
Q(x) | \({x^2}\) | 8x | 1 |
R(x) | \(6{x^2}\) | 10x | 5 |
c) Vậy \(R(x) = 6{x^2} + 10x + 5\).
Để cộng hai đa thức P(x), Q(x), bạn Dũng viết như dưới đây có đúng không? Vì sao? Nếu chưa đúng, em hãy sửa lại cho đúng.

Phương pháp giải:
Xem lại cách thức cộng hai đơn thức theo hàng dọc:
- Thu gọn mỗi đa thức và sắp xếp hai đa thức đó cùng theo số mũ giảm dần (hoặc tăng dần) của biến;
- Đặt hai đơn thức có cùng số mũ của biến ở cùng cột;
- Cộng hai đơn thức trong từng cột, ta có tổng cần tìm.
Và xem lại Ví dụ 2.
Lời giải chi tiết:
Cách làm của bạn Dũng chưa đúng.
Lí do:
+ Vì các đơn thức 3x và 6 không có cùng số mũ của biến nên chúng không được viết ở cùng cột.
+ Vì các đơn thức – 1 và 2x không có cùng số mũ của biến nên chúng không được viết ở cùng cột.
Các đơn thức 3x và 2x sẽ được viết cùng cột (cùng có số mũ của biến là 1); các đơn thức 6 và – 1 sẽ được viết cùng cột (cùng số mũ của biến là 0).
Cách viết đúng là:

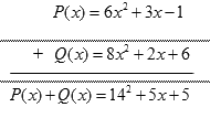
Cho hai đa thức:
\(P(x) = - 2{x^2} + 1 + 3x\) và \(Q(x) = - 5x + 3{x^2} + 4\).
a) Sắp xếp các đa thức P(x) và Q(x) theo số mũ giảm dần của biến.
b) Viết tổng P(x) + Q(x) theo hàng ngang.
c) Nhóm các đơn thức có cùng số mũ của biến với nhau.
d) Tính tổng P(x) + Q(x) bằng cách thực hiện phép tính trong từng nhóm.
Phương pháp giải:
a) Sắp xếp đa thức (một biến) theo số mũ giảm dần của biến là sắp xếp các đơn thức trong dạng thu gọn của đa thức đó theo số mũ giảm dần của biến. (Ở cả 2 đa thức đã cho thì số mũ lớn nhất là 2 rồi đến 1 và 0).
b) Viết tổng hai đa thức theo hàng ngang.
c) Nhóm các đơn thức có cùng số mũ của biến với nhau.
d) Thực hiện phép tính sau khi đã nhóm.
Lời giải chi tiết:
a) \(P(x) = - 2{x^2} + 1 + 3x = - 2{x^2} + 3x + 1\); \(Q(x) = - 5x + 3{x^2} + 4 = 3{x^2} - 5x + 4\).
b) \(P(x) + Q(x) = ( - 2{x^2} + 3x + 1) + (3{x^2} - 5x + 4)\).
c) \(\begin{array}{l}P(x) + Q(x) = ( - 2{x^2} + 3x + 1) + (3{x^2} - 5x + 4)\\ = - 2{x^2} + 3x + 1 + 3{x^2} - 5x + 4\\ = ( - 2{x^2} + 3{x^2}) + (3x - 5x) + (1 + 4)\end{array}\)
d) \(\begin{array}{l}P(x) + Q(x) = ( - 2{x^2} + 3{x^2}) + (3x - 5x) + (1 + 4)\\ = ( - 2 + 3){x^2} + (3 - 5)x + (1 + 4)\\ = {x^2} - 2x + 5\end{array}\)
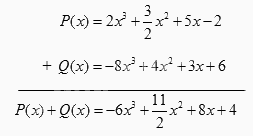
Tính tổng của hai đa thức sau bằng hai cách:
\(P(x) = 2{x^3} + \dfrac{3}{2}{x^2} + 5x - 2\);
\(Q(x) = - 8{x^3} + 4{x^2} + 6 + 3x\).
Phương pháp giải:
Nhớ lại cách thức cộng hai đa thức theo cột dọc và theo hàng ngang:
Để cộng hai đa thức một biến (theo cột dọc), ta có thể làm như sau:
- Thu gọn mỗi đa thức và sắp xếp hai đa thức đó cùng theo số mũ giảm dần (hoặc tăng dần) của biến;
- Đặt hai đơn thức có cùng số mũ của biến ở cùng cột;
- Cộng hai đơn thức trong từng cột, ta có tổng cần tìm.
Để cộng hai đa thức một biến (theo hàng ngang), ta có thể làm như sau:
- Thu gọn mỗi đa thức và sắp xếp hai đa thức đó cùng theo số mũ giảm dần (hoặc tăng dần) của biến;
- Viết tổng hai đơn thức theo hàng ngang;
- Nhóm các đơn thức có cùng số mũ của biến với nhau;
- Thực hiện phép tính trong từng nhóm, ta được tổng cần tìm.
Lời giải chi tiết:
Theo cột dọc:

Theo hàng ngang:
\(\begin{array}{l}P(x) + Q(x) = 2{x^3} + \dfrac{3}{2}{x^2} + 5x - 2 + ( - 8){x^3} + 4{x^2} + 3x + 6\\ = (2 - 8){x^3} + (\dfrac{3}{2} + 4){x^2} + (5 + 3)x + ( - 2 + 6)\\ = - 6{x^3} + \dfrac{{11}}{2}{x^2} + 8x + 4\end{array}\)
Mục I trong SGK Toán 7 tập 2 - Cánh diều tập trung vào việc ôn tập và củng cố các kiến thức về biểu thức đại số, đơn thức, đa thức. Các bài tập trong mục này giúp học sinh rèn luyện kỹ năng biến đổi biểu thức, thực hiện các phép toán với đơn thức và đa thức, và áp dụng các kiến thức đã học vào giải quyết các bài toán thực tế.
Bài 1 yêu cầu học sinh thực hiện các phép toán với biểu thức đại số, bao gồm cộng, trừ, nhân, chia đơn thức và đa thức. Để giải bài tập này, học sinh cần nắm vững các quy tắc về dấu ngoặc, quy tắc chuyển vế, và các tính chất của phép toán.
Bài 2 tập trung vào việc xác định bậc của đơn thức, thu gọn đơn thức, và thực hiện các phép toán với đơn thức. Để giải bài tập này, học sinh cần hiểu rõ định nghĩa của đơn thức, bậc của đơn thức, và các quy tắc về phép nhân, chia đơn thức.
Lưu ý: Khi thu gọn đơn thức, ta cần nhân các hệ số với nhau và cộng các số mũ của các biến giống nhau.
Bài 3 yêu cầu học sinh xác định bậc của đa thức, thu gọn đa thức, và thực hiện các phép toán với đa thức. Để giải bài tập này, học sinh cần hiểu rõ định nghĩa của đa thức, bậc của đa thức, và các quy tắc về phép cộng, trừ, nhân, chia đa thức.
Ví dụ: Thu gọn đa thức: 2x2 + 3x - x2 + 5x - 2.
Lời giải: 2x2 + 3x - x2 + 5x - 2 = (2x2 - x2) + (3x + 5x) - 2 = x2 + 8x - 2.
Bài 4 là bài tập ứng dụng, yêu cầu học sinh áp dụng các kiến thức đã học để giải quyết các bài toán thực tế. Các bài toán này thường liên quan đến việc tính diện tích, chu vi, thể tích của các hình học, hoặc tính toán các đại lượng vật lý.
Ngoài SGK Toán 7 tập 2 - Cánh diều, các em có thể tham khảo thêm các tài liệu sau:
Hy vọng với những hướng dẫn chi tiết này, các em sẽ tự tin giải quyết các bài tập trong mục I trang 54,55,56 SGK Toán 7 tập 2 - Cánh diều. Chúc các em học tập tốt!