Chào mừng các em học sinh đến với lời giải chi tiết bài 9 trang 69 SGK Toán 7 tập 2 - Cánh diều. Bài học này tập trung vào việc vận dụng các kiến thức đã học để giải quyết các bài toán thực tế, giúp các em hiểu sâu hơn về các khái niệm toán học.
Tại giaibaitoan.com, chúng tôi cung cấp lời giải bài tập Toán 7 đầy đủ, chính xác và dễ hiểu, giúp các em tự học hiệu quả và đạt kết quả tốt nhất.
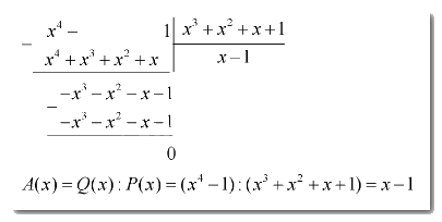
Cho
Đề bài
Cho \(P(x) = {x^3} + {x^2} + x + 1\) và \(Q(x) = {x^4} - 1\). Tìm đa thức A(x) sao cho \(P(x).A(x) = Q(x)\).
Phương pháp giải - Xem chi tiết
Đa thức A(x) là thương của đa thức Q(x) và P(x).
Muốn chia các đa thức cùng biến với nhau, ta chia đa thức này cho từng đơn thức của đa thức kia rồi cộng chúng lại với nhau.
Lời giải chi tiết
\(P(x).A(x) = Q(x) \Rightarrow A(x) = Q(x):P(x)\)

Vậy \(A(x) = x - 1\).
Bài 9 trang 69 SGK Toán 7 tập 2 - Cánh diều thuộc chương trình học Toán 7, tập trung vào việc ôn tập và củng cố kiến thức về các phép toán với số hữu tỉ, đặc biệt là các bài toán liên quan đến tính chất của phép cộng, phép trừ, phép nhân và phép chia số hữu tỉ.
Để giải bài 9 trang 69 SGK Toán 7 tập 2 - Cánh diều một cách hiệu quả, các em cần:
Dưới đây là hướng dẫn giải chi tiết từng phần của bài 9 trang 69 SGK Toán 7 tập 2 - Cánh diều:
Đề bài: Tính (1/2 + 1/3) * 6/7
Lời giải:
Đề bài: Tính 5/9 : (1/3 - 1/2)
Lời giải:
Đề bài: Tính (1/2 - 1/3) : (1/4 + 1/5)
Lời giải:
Để củng cố kiến thức, các em có thể tự giải các bài tập tương tự sau:
Bài 9 trang 69 SGK Toán 7 tập 2 - Cánh diều là một bài tập quan trọng giúp các em rèn luyện kỹ năng vận dụng các tính chất của phép toán với số hữu tỉ. Hy vọng với hướng dẫn chi tiết này, các em sẽ tự tin giải quyết bài tập một cách hiệu quả.