Chào mừng các em học sinh đến với lời giải chi tiết bài tập mục II trang 57, 58, 59 SGK Toán 7 tập 2 - Cánh diều. Tại giaibaitoan.com, chúng tôi cung cấp các bài giải được trình bày rõ ràng, dễ hiểu, giúp các em nắm vững kiến thức và tự tin giải bài tập.
Mục tiêu của chúng tôi là hỗ trợ các em học tập hiệu quả, đồng thời cung cấp một nguồn tài liệu học tập đáng tin cậy. Hãy cùng khám phá lời giải chi tiết ngay sau đây!
a) Thực hiện phép trừ trong mỗi trường hợp sau: b) Nêu quy tắc trừ hai đơn thức có cùng số mũ của biến.
a) Thực hiện phép trừ trong mỗi trường hợp sau: \(2{x^2} - 6{x^2}\); \(a{x^k} - b{x^k}\)(k \(\in\) N*).
b) Nêu quy tắc trừ hai đơn thức có cùng số mũ của biến.
Phương pháp giải:
a) Để thực hiện phép trừ trong các phép tính, ta giữ nguyên biến và trừ các hệ số cùng biến cho nhau.
b) Rút ra quy tắc trừ hai đơn thức có cùng số mũ của biến từ cách thực hiện phần a.
Lời giải chi tiết:
a) \(2{x^2} - 6{x^2} = (2 - 6){x^2} = - 4{x^2}\);
\(a{x^k} - b{x^k} = (a - b){x^k}\).
b) Muốn trừ hai đơn thức có cùng số mũ của biến, ta giữ nguyên biến và tính hiệu của các hệ số có trong đơn thức.
Cho hai đa thức:
\(P(x) = - 3{x^2} + 2 + 7x\) và \(Q(x) = - 4x + 5{x^2} + 1\).
a) Sắp xếp các đa thức P(x) và Q(x) theo số mũ giảm dần của biến.
b) Viết hiệu P(x) – Q(x) theo hàng ngang, trong đó đa thức Q(x) được đặt trong dấu ngoặc.
c) Sau khi bỏ dấu ngoặc và đổi dấu mỗi đơn thức của đa thức Q(x), nhóm các đơn thức có cùng số mũ của biến với nhau.
d) Tính hiệu P(x) – Q(x) bằng cách thực hiện phép tính trong từng nhóm.
Phương pháp giải:
a) Sắp xếp đa thức (một biến) theo số mũ giảm dần của biến là sắp xếp các đơn thức trong dạng thu gọn của đa thức đó theo số mũ giảm dần của biến. (Ở cả 2 đa thức đã cho thì số mũ lớn nhất là 2 rồi đến 1 và 0).
b) Viết hiệu hai đa thức theo hàng ngang.
c) Nhóm các đơn thức có cùng số mũ của biến với nhau.
d) Thực hiện phép tính sau khi đã nhóm.
Lời giải chi tiết:
a) \(P(x) = - 3{x^2} + 2 + 7x = - 3{x^2} + 7x + 2\);
\(Q(x) = - 4x + 5{x^2} + 1 = 5{x^2} - 4x + 1\).
b) \(P(x) - Q(x) = - 3{x^2} + 7x + 2 - (5{x^2} - 4x + 1)\).
c) \(\begin{array}{l}P(x) - Q(x) = - 3{x^2} + 7x + 2 - (5{x^2} - 4x + 1)\\ = - 3{x^2} + 7x + 2 - 5{x^2} + 4x - 1\\ = ( - 3{x^2} - 5{x^2}) + (7x + 4x) + (2 - 1)\end{array}\)
d) \(\begin{array}{l}P(x) - Q(x) = ( - 3{x^2} - 5{x^2}) + (7x + 4x) + (2 - 1)\\ = - 8{x^2} + 11x + 1\end{array}\)
Cho hai đa thức:
\(P(x) = 2{x^2} - 5x - \dfrac{1}{3}\)
và \(Q(x) = - 6{x^4} + 5{x^2} + \dfrac{2}{3} + 3x\).
Tính hiệu P(x) – Q(x).
Phương pháp giải:
Xem lại cách thức trừ hai đa thức theo cột dọc:
- Thu gọn mỗi đa thức và sắp xếp hai đa thức đó cùng theo số mũ giảm dần (hoặc tăng dần) của biến;
- Đặt hai đơn thức có cùng số mũ của biến ở cùng cột sao cho đơn thức P(x) ở trên và đơn thức của Q(x) ở dưới;
- Trừ hai đơn thức trong từng cột, ta có hiệu cần tìm.
Lời giải chi tiết:

Tính hiệu P(x) – Q(x) bằng hai cách, trong đó:
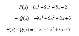
\(\begin{array}{l}P(x) = 6{x^3} + 8{x^2} + 5x - 2;\\Q(x) = - 9{x^3} + 6{x^2} + 3 + 2x.\end{array}\)
Phương pháp giải:
Nhớ lại cách thức trừ hai đa thức theo cột dọc và theo hàng ngang:
Để trừ đa thức P(x) cho đa thức Q(x) (theo cột dọc), ta có thể làm như sau:
- Thu gọn mỗi đa thức và sắp xếp hai đa thức đó cùng theo số mũ giảm dần (hoặc tăng dần) của biến;
- Đặt hai đơn thức có cùng số mũ của biến ở cùng cột sao cho đơn thức P(x) ở trên và đơn thức của Q(x) ở dưới;
- Trừ hai đơn thức trong từng cột, ta có hiệu cần tìm.
Để trừ đa thức P(x) cho đa thức Q(x) (theo hàng ngang), ta có thể làm như sau:
- Thu gọn mỗi đa thức và sắp xếp hai đa thức đó cùng theo số mũ giảm dần (hoặc tăng dần) của biến;
- Viết hiệu P(x) – Q(x) theo hàng ngang, trong đó đa thức Q(x) được đặt trong dấu ngoặc;
- Sau khi bỏ dấu ngoặc và đổi dấu mỗi đơn thức trong dạng thu gọn của đa thức Q(x), nhóm các đơn thức có cùng số mũ của biến với nhau;
- Thực hiện phép tính trong từng nhóm, ta được hiệu cần tìm.
Lời giải chi tiết:
Theo cột dọc:

Theo hàng ngang:
\(\begin{array}{l}P(x) - Q(x) = 6{x^3} + 8{x^2} + 5x - 2 - ( - 9{x^3} + 6{x^2} + 2x + 3)\\ = 6{x^3} + 8{x^2} + 5x - 2 + 9{x^3} - 6{x^2} - 2x - 3\\ = (6 + 9){x^3} + (8 - 6){x^2} + (5 - 2)x + ( - 2 - 3)\\ = 15{x^3} + 2{x^2} + 3x - 5\end{array}\)
Cho hai đa thức:
\(P(x) = 4{x^2} + 1 + 3x\) và \(Q(x) = 5x + 2{x^2} + 3\).
a) Sắp xếp các đa thức P(x), Q(x) theo số mũ giảm dần của biến.
b) Tìm đơn thức thích hợp trong dạng thu gọn của P(x) và Q(x) cho ? ở bảng sau rồi trừ hai đơn thức theo từng cột và thể hiện kết quả ở dòng cuối cùng của mỗi cột:

c) Dựa vào kết quả trừ hai đơn thức theo từng cột, xác định đơn thức S(x).
Phương pháp giải:
a) Sắp xếp đa thức (một biến) theo số mũ giảm dần của biến là sắp xếp các đơn thức trong dạng thu gọn của đa thức đó theo số mũ giảm dần của biến.
b) Quan sát bảng để đưa ra các đơn thức thích hợp phù hợp với biến có số mũ tương ứng.
c) Xác định đơn thức S(x) dựa vào kết quả phần b).
Lời giải chi tiết:
a) \(P(x) = 4{x^2} + 1 + 3x = 4{x^2} + 3x + 1\);
\(Q(x) = 5x + 2{x^2} + 3 = 2{x^2} + 5x + 3\).
b)
Đa thức | Đơn thức có số mũ 2 của biến (Đơn thức chứa \({x^2}\)) | Đơn thức có số mũ 1 của biến (Đơn thức chứa x) | Số hạng tự do (Đơn thức không chứa x) |
P(x) | \(4{x^2}\) | 3x | 1 |
Q(x) | \(2{x^2}\) | 5x | 3 |
S(x) | \(2{x^2}\) | – 2x | – 2 |
c) Vậy \(S(x) = 2{x^2} - 2x - 2\)
II. Trừ hai đa thức một biến
a) Thực hiện phép trừ trong mỗi trường hợp sau: \(2{x^2} - 6{x^2}\); \(a{x^k} - b{x^k}\)(k \(\in\) N*).
b) Nêu quy tắc trừ hai đơn thức có cùng số mũ của biến.
Phương pháp giải:
a) Để thực hiện phép trừ trong các phép tính, ta giữ nguyên biến và trừ các hệ số cùng biến cho nhau.
b) Rút ra quy tắc trừ hai đơn thức có cùng số mũ của biến từ cách thực hiện phần a.
Lời giải chi tiết:
a) \(2{x^2} - 6{x^2} = (2 - 6){x^2} = - 4{x^2}\);
\(a{x^k} - b{x^k} = (a - b){x^k}\).
b) Muốn trừ hai đơn thức có cùng số mũ của biến, ta giữ nguyên biến và tính hiệu của các hệ số có trong đơn thức.
Cho hai đa thức:
\(P(x) = 4{x^2} + 1 + 3x\) và \(Q(x) = 5x + 2{x^2} + 3\).
a) Sắp xếp các đa thức P(x), Q(x) theo số mũ giảm dần của biến.
b) Tìm đơn thức thích hợp trong dạng thu gọn của P(x) và Q(x) cho ? ở bảng sau rồi trừ hai đơn thức theo từng cột và thể hiện kết quả ở dòng cuối cùng của mỗi cột:

c) Dựa vào kết quả trừ hai đơn thức theo từng cột, xác định đơn thức S(x).
Phương pháp giải:
a) Sắp xếp đa thức (một biến) theo số mũ giảm dần của biến là sắp xếp các đơn thức trong dạng thu gọn của đa thức đó theo số mũ giảm dần của biến.
b) Quan sát bảng để đưa ra các đơn thức thích hợp phù hợp với biến có số mũ tương ứng.
c) Xác định đơn thức S(x) dựa vào kết quả phần b).
Lời giải chi tiết:
a) \(P(x) = 4{x^2} + 1 + 3x = 4{x^2} + 3x + 1\);
\(Q(x) = 5x + 2{x^2} + 3 = 2{x^2} + 5x + 3\).
b)
Đa thức | Đơn thức có số mũ 2 của biến (Đơn thức chứa \({x^2}\)) | Đơn thức có số mũ 1 của biến (Đơn thức chứa x) | Số hạng tự do (Đơn thức không chứa x) |
P(x) | \(4{x^2}\) | 3x | 1 |
Q(x) | \(2{x^2}\) | 5x | 3 |
S(x) | \(2{x^2}\) | – 2x | – 2 |
c) Vậy \(S(x) = 2{x^2} - 2x - 2\)
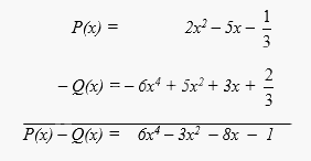
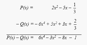
Cho hai đa thức:
\(P(x) = 2{x^2} - 5x - \dfrac{1}{3}\)
và \(Q(x) = - 6{x^4} + 5{x^2} + \dfrac{2}{3} + 3x\).
Tính hiệu P(x) – Q(x).
Phương pháp giải:
Xem lại cách thức trừ hai đa thức theo cột dọc:
- Thu gọn mỗi đa thức và sắp xếp hai đa thức đó cùng theo số mũ giảm dần (hoặc tăng dần) của biến;
- Đặt hai đơn thức có cùng số mũ của biến ở cùng cột sao cho đơn thức P(x) ở trên và đơn thức của Q(x) ở dưới;
- Trừ hai đơn thức trong từng cột, ta có hiệu cần tìm.
Lời giải chi tiết:

Cho hai đa thức:
\(P(x) = - 3{x^2} + 2 + 7x\) và \(Q(x) = - 4x + 5{x^2} + 1\).
a) Sắp xếp các đa thức P(x) và Q(x) theo số mũ giảm dần của biến.
b) Viết hiệu P(x) – Q(x) theo hàng ngang, trong đó đa thức Q(x) được đặt trong dấu ngoặc.
c) Sau khi bỏ dấu ngoặc và đổi dấu mỗi đơn thức của đa thức Q(x), nhóm các đơn thức có cùng số mũ của biến với nhau.
d) Tính hiệu P(x) – Q(x) bằng cách thực hiện phép tính trong từng nhóm.
Phương pháp giải:
a) Sắp xếp đa thức (một biến) theo số mũ giảm dần của biến là sắp xếp các đơn thức trong dạng thu gọn của đa thức đó theo số mũ giảm dần của biến. (Ở cả 2 đa thức đã cho thì số mũ lớn nhất là 2 rồi đến 1 và 0).
b) Viết hiệu hai đa thức theo hàng ngang.
c) Nhóm các đơn thức có cùng số mũ của biến với nhau.
d) Thực hiện phép tính sau khi đã nhóm.
Lời giải chi tiết:
a) \(P(x) = - 3{x^2} + 2 + 7x = - 3{x^2} + 7x + 2\);
\(Q(x) = - 4x + 5{x^2} + 1 = 5{x^2} - 4x + 1\).
b) \(P(x) - Q(x) = - 3{x^2} + 7x + 2 - (5{x^2} - 4x + 1)\).
c) \(\begin{array}{l}P(x) - Q(x) = - 3{x^2} + 7x + 2 - (5{x^2} - 4x + 1)\\ = - 3{x^2} + 7x + 2 - 5{x^2} + 4x - 1\\ = ( - 3{x^2} - 5{x^2}) + (7x + 4x) + (2 - 1)\end{array}\)
d) \(\begin{array}{l}P(x) - Q(x) = ( - 3{x^2} - 5{x^2}) + (7x + 4x) + (2 - 1)\\ = - 8{x^2} + 11x + 1\end{array}\)
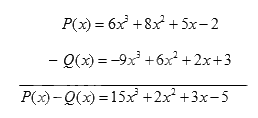
Tính hiệu P(x) – Q(x) bằng hai cách, trong đó:
\(\begin{array}{l}P(x) = 6{x^3} + 8{x^2} + 5x - 2;\\Q(x) = - 9{x^3} + 6{x^2} + 3 + 2x.\end{array}\)
Phương pháp giải:
Nhớ lại cách thức trừ hai đa thức theo cột dọc và theo hàng ngang:
Để trừ đa thức P(x) cho đa thức Q(x) (theo cột dọc), ta có thể làm như sau:
- Thu gọn mỗi đa thức và sắp xếp hai đa thức đó cùng theo số mũ giảm dần (hoặc tăng dần) của biến;
- Đặt hai đơn thức có cùng số mũ của biến ở cùng cột sao cho đơn thức P(x) ở trên và đơn thức của Q(x) ở dưới;
- Trừ hai đơn thức trong từng cột, ta có hiệu cần tìm.
Để trừ đa thức P(x) cho đa thức Q(x) (theo hàng ngang), ta có thể làm như sau:
- Thu gọn mỗi đa thức và sắp xếp hai đa thức đó cùng theo số mũ giảm dần (hoặc tăng dần) của biến;
- Viết hiệu P(x) – Q(x) theo hàng ngang, trong đó đa thức Q(x) được đặt trong dấu ngoặc;
- Sau khi bỏ dấu ngoặc và đổi dấu mỗi đơn thức trong dạng thu gọn của đa thức Q(x), nhóm các đơn thức có cùng số mũ của biến với nhau;
- Thực hiện phép tính trong từng nhóm, ta được hiệu cần tìm.
Lời giải chi tiết:
Theo cột dọc:

Theo hàng ngang:
\(\begin{array}{l}P(x) - Q(x) = 6{x^3} + 8{x^2} + 5x - 2 - ( - 9{x^3} + 6{x^2} + 2x + 3)\\ = 6{x^3} + 8{x^2} + 5x - 2 + 9{x^3} - 6{x^2} - 2x - 3\\ = (6 + 9){x^3} + (8 - 6){x^2} + (5 - 2)x + ( - 2 - 3)\\ = 15{x^3} + 2{x^2} + 3x - 5\end{array}\)
Mục II trong SGK Toán 7 tập 2 - Cánh diều tập trung vào việc ôn tập và củng cố các kiến thức đã học về biểu thức đại số, các phép toán trên đa thức, và ứng dụng của chúng trong giải toán. Các bài tập trong mục này thường yêu cầu học sinh vận dụng linh hoạt các kiến thức đã học để giải quyết các vấn đề thực tế.
Bài tập này yêu cầu học sinh viết các biểu thức đại số biểu diễn các mối quan hệ cho trước. Ví dụ, biểu diễn chu vi của hình chữ nhật với chiều dài a và chiều rộng b. Việc nắm vững các khái niệm về biến, số, và phép toán là rất quan trọng để giải quyết bài tập này.
Bài tập này tập trung vào việc thực hiện các phép cộng, trừ, nhân, chia đa thức. Học sinh cần nắm vững các quy tắc về dấu, bậc của đa thức, và các phương pháp rút gọn đa thức. Ví dụ, thực hiện phép tính (2x2 + 3x - 1) + (x2 - 2x + 5).
Bài tập này yêu cầu học sinh sử dụng các biểu thức đại số và đa thức để giải quyết các bài toán thực tế. Ví dụ, tính diện tích của một mảnh đất hình chữ nhật có chiều dài và chiều rộng được biểu diễn bằng các biểu thức đại số. Đây là cơ hội để học sinh rèn luyện kỹ năng tư duy logic và khả năng áp dụng kiến thức vào thực tế.
Để giúp các em học sinh giải quyết các bài tập một cách hiệu quả, giaibaitoan.com cung cấp lời giải chi tiết cho từng bài tập trong mục II trang 57, 58, 59 SGK Toán 7 tập 2 - Cánh diều. Các lời giải này được trình bày một cách rõ ràng, dễ hiểu, kèm theo các giải thích chi tiết về từng bước thực hiện.
Bài tập: Tính giá trị của biểu thức 3x2 - 5x + 2 khi x = -1.
Lời giải:
Việc giải bài tập là một phần quan trọng trong quá trình học tập môn Toán. Nó giúp học sinh củng cố kiến thức, rèn luyện kỹ năng, và phát triển tư duy logic. Ngoài ra, việc giải bài tập còn giúp học sinh tự tin hơn khi làm bài kiểm tra và thi cử.
Hy vọng rằng với lời giải chi tiết và các hướng dẫn học tập hiệu quả mà giaibaitoan.com cung cấp, các em học sinh sẽ tự tin hơn trong việc học tập môn Toán 7. Chúc các em học tập tốt và đạt kết quả cao!