Chào mừng các em học sinh đến với lời giải chi tiết bài 3 (7.14) trang 34 Vở thực hành Toán 7 tập 2. Bài viết này sẽ cung cấp cho các em phương pháp giải bài tập một cách dễ hiểu và nhanh chóng.
Giaibaitoan.com luôn đồng hành cùng các em trong quá trình học tập, giúp các em nắm vững kiến thức và đạt kết quả tốt nhất.
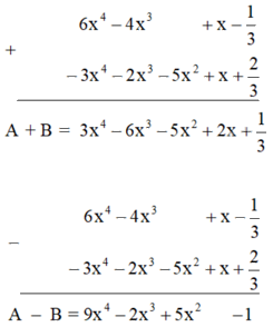
Cho hai đa thức (A = 6{x^4} - 4{x^3} + x - frac{1}{3}) và (B = - 3{x^4} - 2{x^3} - 5{x^2} + x + frac{2}{3}). Tính (A + B) và (A - B).
Đề bài
Cho hai đa thức \(A = 6{x^4} - 4{x^3} + x - \frac{1}{3}\) và \(B = - 3{x^4} - 2{x^3} - 5{x^2} + x + \frac{2}{3}\). Tính \(A + B\) và \(A - B\).
Phương pháp giải - Xem chi tiết
Để cộng (trừ) hai đa thức:
Cách 1: Viết hai đa thức trong dấu ngoặc và nối chúng bởi dấu “+” (hay “\( - \)”). Sau đó bỏ dấu ngoặc rồi nhóm các hạng tử cùng bậc và thu gọn.
Cách 2: Đặt tính cộng (trừ) sao cho các hạng tử cùng bậc của hai đa thức thì thẳng cột với nhau rồi cộng (trừ) theo từng cột.
Lời giải chi tiết
Cách thứ nhất:

Cách thứ hai:
\(A + B = \left( {6{x^4} - 4{x^3} + x - \frac{1}{3}} \right) + \left( { - 3{x^4} - 2{x^3} - 5{x^2} + x + \frac{2}{3}} \right)\)
\( = \left( {6{x^4} - 3{x^4}} \right) + \left( { - 4{x^3} - 2{x^3}} \right) - 5{x^2} + \left( {x + x} \right) + \left( { - \frac{1}{3} + \frac{2}{3}} \right)\)
\( = 3{x^4} - 6{x^3} - 5{x^2} + 2x + \frac{1}{3}\)
\(A - B = \left( {6{x^4} - 4{x^3} + x - \frac{1}{3}} \right) - \left( { - 3{x^4} - 2{x^3} - 5{x^2} + x + \frac{2}{3}} \right)\)
\( = 6{x^4} - 4{x^3} + x - \frac{1}{3} + 3{x^4} + 2{x^3} + 5{x^2} - x - \frac{2}{3}\)
\( = \left( {6{x^4} + 3{x^4}} \right) + \left( { - 4{x^3} + 2{x^3}} \right) + 5{x^2} + \left( {x - x} \right) + \left( { - \frac{1}{3} - \frac{2}{3}} \right)\)
\( = 9{x^4} - 2{x^3} + 5{x^2} - 1\)
Bài 3 (7.14) trang 34 Vở thực hành Toán 7 tập 2 thuộc chương trình học Toán 7, tập trung vào việc vận dụng các kiến thức về tỉ lệ thức để giải quyết các bài toán thực tế. Để giải bài tập này một cách hiệu quả, chúng ta cần nắm vững các khái niệm cơ bản sau:
Trước khi bắt đầu giải bài tập, chúng ta cần đọc kỹ đề bài để hiểu rõ yêu cầu. Bài 3 (7.14) trang 34 Vở thực hành Toán 7 tập 2 thường yêu cầu chúng ta:
Dưới đây là lời giải chi tiết cho bài 3 (7.14) trang 34 Vở thực hành Toán 7 tập 2. (Nội dung lời giải chi tiết sẽ được trình bày tại đây, bao gồm các bước giải, giải thích rõ ràng và ví dụ minh họa. Ví dụ:)
Ví dụ: Cho tỉ lệ thức 2/3 = x/6. Tìm giá trị của x.
Ngoài bài 3 (7.14) trang 34, Vở thực hành Toán 7 tập 2 còn có nhiều bài tập tương tự. Để giải các bài tập này, chúng ta có thể áp dụng các phương pháp sau:
Để củng cố kiến thức và rèn luyện kỹ năng giải bài tập về tỉ lệ thức, các em có thể tự giải các bài tập sau:
Bài 3 (7.14) trang 34 Vở thực hành Toán 7 tập 2 là một bài tập quan trọng giúp các em hiểu rõ hơn về tỉ lệ thức và ứng dụng của nó trong thực tế. Hy vọng rằng, với lời giải chi tiết và các phương pháp giải được trình bày trong bài viết này, các em sẽ tự tin hơn khi giải các bài tập tương tự.
Giaibaitoan.com luôn sẵn sàng hỗ trợ các em trong quá trình học tập. Chúc các em học tốt!