Chào mừng các em học sinh đến với lời giải chi tiết bài 4 trang 11 Vở thực hành Toán 7. Bài học này thuộc chương trình học Toán 7, tập trung vào các kiến thức cơ bản về số nguyên, phép cộng, trừ, nhân, chia số nguyên.
Giaibaitoan.com cung cấp lời giải dễ hiểu, chi tiết từng bước, giúp các em nắm vững kiến thức và tự tin giải các bài tập tương tự.
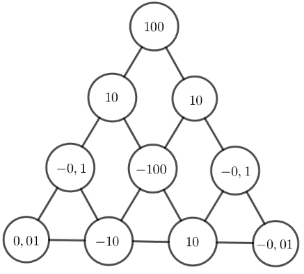
Thay mỗi dấu “...” bằng số thích hợp để hoàn thiện sơ đồ Hình 1.3, biết số trong mỗi ô ở hàng trên bằng tích của hai số trong hai ô kề nó ở hàng dưới.
Đề bài
Thay mỗi dấu “...” bằng số thích hợp để hoàn thiện sơ đồ Hình 1.3, biết số trong mỗi ô ở hàng trên bằng tích của hai số trong hai ô kề nó ở hàng
dưới.
Phương pháp giải - Xem chi tiết
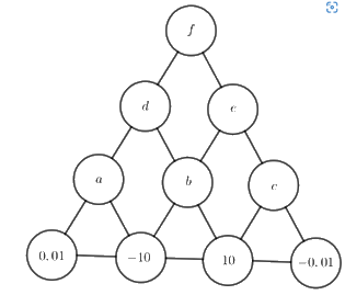
-Ta lần lượt đặt tên cho các từ dưới lên là a,b,c,d,e,f
-Áp dụng quy tắc đề bài ta tính được a,b,c. Sau đó ta tính lần lượt d,e rồi f
Lời giải chi tiết
:
Áp dụng quy tắc của đề bài, ta tính được: \(a = 0,01.( - 10) = - 0,1;\)
\(b = ( - 10).10 = - 100;\)
\(c = 10.( - 0,01) = - 0,1;\)
\(d = a.b = ( - 0,1).( - 100) = 10;\)
\(e = b.c = ( - 100).( - 0,1) = 10;\)
\(f = d.e = 10.10 = 100.\)

Bài 4 trang 11 Vở thực hành Toán 7 thường xoay quanh các dạng bài tập về số nguyên, bao gồm các phép tính cộng, trừ, nhân, chia số nguyên, tìm số đối, so sánh số nguyên, và ứng dụng các tính chất của phép toán. Để giải quyết hiệu quả các bài tập này, học sinh cần nắm vững các kiến thức cơ bản sau:
Để minh họa, chúng ta sẽ cùng nhau giải một số bài tập điển hình trong bài 4 trang 11 Vở thực hành Toán 7:
Lời giải:
Lời giải:
Lời giải:
Ngoài các bài tập trong Vở thực hành Toán 7, các em có thể luyện tập thêm với các bài tập tương tự để củng cố kiến thức. Một số dạng bài tập mở rộng bao gồm:
Để giải bài tập về số nguyên một cách hiệu quả, các em nên:
Bài 4 trang 11 Vở thực hành Toán 7 là một bài tập quan trọng giúp các em làm quen với các khái niệm cơ bản về số nguyên và các phép toán trên số nguyên. Bằng cách nắm vững kiến thức và luyện tập thường xuyên, các em sẽ tự tin giải quyết các bài tập tương tự và đạt kết quả tốt trong môn Toán.