Bài 3 trong Vở thực hành Toán 7 tập 2 là một bài tập quan trọng giúp học sinh rèn luyện kỹ năng về tỉ lệ thức và ứng dụng vào giải toán. Bài tập này yêu cầu học sinh vận dụng kiến thức đã học để tìm các đại lượng chưa biết, đồng thời hiểu rõ mối liên hệ giữa chúng.
Tại giaibaitoan.com, chúng tôi cung cấp lời giải chi tiết, dễ hiểu cho bài 3 (7.25) trang 41, 42, giúp các em học sinh tự tin hơn trong quá trình học tập và làm bài tập.
Thực hiện các phép nhân sau: a) (left( {{x^2} - x} right).left( {2{x^2} - x - 10} right)); b) (left( {0,2{x^2} - 3x} right).5left( {{x^2} - 7x + 3} right)).
Đề bài
Thực hiện các phép nhân sau:
a) \(\left( {{x^2} - x} \right).\left( {2{x^2} - x - 10} \right)\);
b) \(\left( {0,2{x^2} - 3x} \right).5\left( {{x^2} - 7x + 3} \right)\).
Phương pháp giải - Xem chi tiết
Sử dụng cách đặt tính nhân để thực hiện phép tính:
+ Nhân lần lượt mỗi hạng tử ở dòng dưới với đa thức ở dòng trên và viết kết quả trong một dòng riêng.
+ Viết các dòng sao cho các hạng tử cùng bậc thẳng cột với nhau (để thực hiện phép cộng theo cột).
Lời giải chi tiết
a) Đặt tính nhân như sau:

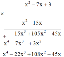
b) Trước hết ta biến đổi:
\(\left( {0,2{x^2} - 3x} \right).5\left( {{x^2} - 7x + 3} \right) \\= \left[ {\left( {0,2{x^2} - 3x} \right).5} \right].\left( {{x^2} - 7x + 3} \right) \\= \left( {{x^2} - 15x} \right)\left( {{x^2} - 7x + 3} \right).\)

Bài 3 (7.25) trang 41, 42 Vở thực hành Toán 7 tập 2 thuộc chương trình học Toán 7, tập trung vào việc vận dụng các kiến thức về tỉ lệ thức để giải quyết các bài toán thực tế. Để hiểu rõ hơn về cách giải bài tập này, chúng ta cùng đi vào phân tích chi tiết từng phần.
Đề bài thường yêu cầu tìm một đại lượng chưa biết trong một tỉ lệ thức, hoặc chứng minh một đẳng thức liên quan đến tỉ lệ thức. Để giải quyết bài toán này, học sinh cần nắm vững các tính chất cơ bản của tỉ lệ thức, bao gồm:
Để giải bài 3 (7.25) trang 41, 42 Vở thực hành Toán 7 tập 2, học sinh có thể áp dụng các phương pháp sau:
(Ở đây sẽ là lời giải chi tiết cho từng phần của bài 3, bao gồm các bước giải, giải thích rõ ràng và dễ hiểu. Ví dụ:)
Ví dụ: Cho tỉ lệ thức \frac{x}{y} = \frac{2}{3} và x + y = 10. Tìm x và y.
Giải:
Áp dụng tính chất của dãy tỉ số bằng nhau, ta có:
\frac{x}{2} = \frac{y}{3} = \frac{x+y}{2+3} = \frac{10}{5} = 2
Suy ra:
Vậy, x = 4 và y = 6.
Để củng cố kiến thức về tỉ lệ thức và rèn luyện kỹ năng giải bài tập, học sinh có thể làm thêm các bài tập tương tự sau:
Bài 3 (7.25) trang 41, 42 Vở thực hành Toán 7 tập 2 là một bài tập quan trọng giúp học sinh nắm vững kiến thức về tỉ lệ thức và ứng dụng vào giải toán. Bằng cách hiểu rõ các tính chất của tỉ lệ thức và áp dụng các phương pháp giải phù hợp, học sinh có thể tự tin giải quyết các bài tập tương tự và đạt kết quả tốt trong môn Toán.
Hy vọng với hướng dẫn chi tiết và lời giải trên, các em học sinh sẽ hiểu rõ hơn về cách giải bài 3 (7.25) trang 41, 42 Vở thực hành Toán 7 tập 2. Chúc các em học tập tốt!