Chào mừng các em học sinh đến với lời giải chi tiết bài 7 trang 48, 49 Vở thực hành Toán 7 tập 2. Bài học này thuộc chương trình Toán 7, tập trung vào việc vận dụng các kiến thức đã học để giải quyết các bài toán thực tế.
giaibaitoan.com luôn đồng hành cùng các em trong quá trình học tập, cung cấp đáp án chính xác, dễ hiểu và phương pháp giải bài tập hiệu quả.
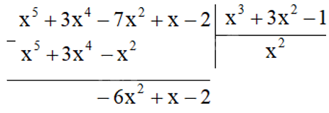
Cho hai đa thức (A = {x^5} + 3{x^4} - 7{x^2} + x - 2) cho (B = {x^3} + 3{x^2} - 1). a) Bằng cách đặt tính chia, hãy tìm thương và dư trong phép chia A cho B. b) Em có cách nào không cần thực hiện phép chia mà vẫn tìm được đa thức dư hay không?
Đề bài
Cho hai đa thức \(A = {x^5} + 3{x^4} - 7{x^2} + x - 2\) cho \(B = {x^3} + 3{x^2} - 1\).
a) Bằng cách đặt tính chia, hãy tìm thương và dư trong phép chia A cho B.
b) Em có cách nào không cần thực hiện phép chia mà vẫn tìm được đa thức dư hay không?
Phương pháp giải - Xem chi tiết
a) Muốn chia một đa thức cho một đa thức, ta đặt tính và tiến hành chia (tương tự phép chia hai số tự nhiên) cho đến khi nhận được đa thức dư hoặc đa thức không, hoặc có bậc nhỏ hơn bậc của đa thức chia.
b) Viết biểu thức A dưới dạng: \(A = B.{x^2} + R\left( x \right)\), khi đó R(x) là đa thức dư của phép chia A cho B.
Lời giải chi tiết
a) Ta đặt tính chia như sau:

Vậy trong phép chia A cho B ta được thương là \({x^2}\) và dư là \( - 6{x^2} + x - 2\).
b) Không cần thực hiện phép chia, ta có thể tìm được thương và dư của phép chia này bằng cách biến đổi đa thức A như sau:
\(A = {x^5} + 3{x^4} - 7{x^2} + x - 2\)
\(A = \left( {{x^5} + 3{x^4} - {x^2}} \right) - 6{x^2} + x - 2\) (vì \( - 7{x^2} = - {x^2} - 6{x^2}\))
\(A = \left( {{x^3} + 3{x^2} - 1} \right){x^2} + \left( { - 6{x^2} + x - 2} \right)\) (vì \({x^5} + 3{x^4} - {x^2} = \left( {{x^3} + 3{x^2} - 1} \right){x^2}\))
\(A = B.{x^2} + \left( { - 6{x^2} + x - 2} \right)\)
Trong đẳng thức cuối, đa thức \( - 6{x^2} + x - 2\) có bậc 2 nhỏ hơn bậc của đa thức B.
Điều đó chứng tỏ \({x^2}\) là thương và \( - 6{x^2} + x - 2\) là dư trong phép chia A cho B.
Bài 7 trong Vở thực hành Toán 7 tập 2 thường xoay quanh các chủ đề về số nguyên, số hữu tỉ, các phép toán trên số nguyên và số hữu tỉ, và các bài toán ứng dụng liên quan. Mục tiêu chính của bài tập là giúp học sinh củng cố kiến thức, rèn luyện kỹ năng giải toán và phát triển tư duy logic.
Để giải quyết bài 7 trang 48, 49 một cách hiệu quả, chúng ta cần nắm vững các kiến thức sau:
Dưới đây là hướng dẫn giải chi tiết từng bài tập trong bài 7 trang 48, 49 Vở thực hành Toán 7 tập 2:
Đề bài: Tính giá trị của biểu thức: (12 + 36) : 6
Giải:
Đề bài: Tính giá trị của biểu thức: 5 x (7 - 2) + 3
Giải:
Đề bài: Tính giá trị của biểu thức: 18 : (9 - 3) x 2
Giải:
Trong bài 7, các em có thể gặp các dạng bài tập sau:
Để giải bài tập trong bài 7 một cách hiệu quả, các em nên:
Để củng cố kiến thức và rèn luyện kỹ năng giải toán, các em có thể tự giải thêm các bài tập tương tự trong sách giáo khoa, sách bài tập hoặc trên các trang web học toán online.
Bài 7 trang 48, 49 Vở thực hành Toán 7 tập 2 là một bài tập quan trọng giúp các em củng cố kiến thức và rèn luyện kỹ năng giải toán. Hy vọng với hướng dẫn chi tiết này, các em sẽ giải quyết bài tập một cách dễ dàng và hiệu quả. Chúc các em học tốt!