Chào mừng các em học sinh đến với lời giải chi tiết bài 4 (7.39) trang 50 Vở thực hành Toán 7 tập 2. Bài học này thuộc chương trình Toán 7, tập trung vào việc rèn luyện kỹ năng giải toán về các phép tính với số hữu tỉ.
Tại giaibaitoan.com, chúng tôi cung cấp lời giải dễ hiểu, chi tiết từng bước, giúp các em nắm vững kiến thức và tự tin giải các bài tập tương tự.
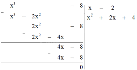
Thực hiện các phép tính sau: a) (left( {{x^3} - 8} right):left( {x - 2} right)); b) (left( {x - 1} right)left( {x + 1} right)left( {{x^2} + 1} right)).
Đề bài
Thực hiện các phép tính sau:
a) \(\left( {{x^3} - 8} \right):\left( {x - 2} \right)\);
b) \(\left( {x - 1} \right)\left( {x + 1} \right)\left( {{x^2} + 1} \right)\).
Phương pháp giải - Xem chi tiết
a) Muốn chia một đa thức cho một đa thức, ta đặt tính và tiến hành chia (tương tự phép chia hai số tự nhiên) cho đến khi nhận được đa thức dư hoặc đa thức không, hoặc có bậc nhỏ hơn bậc của đa thức chia.
b) Muốn nhân một đa thức với một đa thức, ta nhân mỗi hạng tử của đa thức này với từng hạng tử của đa thức kia rồi cộng các tích với nhau.
Lời giải chi tiết
a) Ta đặt tính như sau:

b) \(\left( {x - 1} \right)\left( {x + 1} \right)\left( {{x^2} + 1} \right) \)
\(= \left[ {\left( {x - 1} \right)\left( {x + 1} \right)} \right]\left( {{x^2} + 1} \right)\)
\( = \left[ {x\left( {x - 1} \right) + 1.\left( {x - 1} \right)} \right]\left( {{x^2} + 1} \right)\)
\( = \left( {{x^2} - 1} \right)\left( {{x^2} + 1} \right)\)
\( = {x^4} - {x^2} + {x^2} - 1 = {x^4} - 1\)
Bài 4 (7.39) trang 50 Vở thực hành Toán 7 tập 2 yêu cầu học sinh thực hiện các phép tính với số hữu tỉ, bao gồm cộng, trừ, nhân, chia. Đây là một bài tập quan trọng để củng cố kiến thức về số hữu tỉ và các quy tắc tính toán liên quan.
Bài tập bao gồm một số câu hỏi yêu cầu học sinh tính toán giá trị của các biểu thức chứa số hữu tỉ. Các biểu thức có thể chứa các phép cộng, trừ, nhân, chia, và các dấu ngoặc để thay đổi thứ tự thực hiện các phép tính.
Để giải bài tập này, học sinh cần nắm vững các quy tắc sau:
Dưới đây là lời giải chi tiết cho từng câu hỏi trong bài tập:
Đề bài: Tính (1/2) + (1/3)
Lời giải:
Đề bài: Tính (2/5) - (1/4)
Lời giải:
Đề bài: Tính (3/4) * (2/7)
Lời giải:
Đề bài: Tính (5/6) : (1/2)
Lời giải:
Khi giải bài tập về số hữu tỉ, học sinh cần chú ý:
Để rèn luyện thêm kỹ năng giải bài tập về số hữu tỉ, học sinh có thể tham khảo các bài tập tương tự trong sách giáo khoa và vở bài tập Toán 7 tập 2.
Bài 4 (7.39) trang 50 Vở thực hành Toán 7 tập 2 là một bài tập quan trọng giúp học sinh củng cố kiến thức về số hữu tỉ và các quy tắc tính toán liên quan. Hy vọng với lời giải chi tiết và phương pháp giải được trình bày ở trên, các em học sinh sẽ tự tin giải bài tập và đạt kết quả tốt trong môn Toán.