Bài 6 (7.28) trang 43 Vở thực hành Toán 7 tập 2 là một bài tập quan trọng trong chương trình học Toán 7. Bài tập này giúp học sinh rèn luyện kỹ năng giải toán về tỉ lệ thức và ứng dụng vào các bài toán thực tế.
Tại giaibaitoan.com, chúng tôi cung cấp lời giải chi tiết, dễ hiểu cho bài tập này, giúp các em học sinh nắm vững kiến thức và tự tin giải các bài tập tương tự.
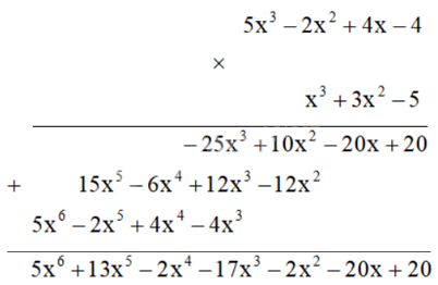
Thực hiện các phép nhân hai đa thức sau: a) (5{x^3} - 2{x^2} + 4x - 4) và ({x^3} + 3{x^2} - 5); b) ( - 2,5{x^4} + 0,5{x^2} + 1) và (4{x^3} - 2x + 6).
Đề bài
Thực hiện các phép nhân hai đa thức sau:
a) \(5{x^3} - 2{x^2} + 4x - 4\) và \({x^3} + 3{x^2} - 5\);
b) \( - 2,5{x^4} + 0,5{x^2} + 1\) và \(4{x^3} - 2x + 6\).
Phương pháp giải - Xem chi tiết
Sử dụng cách đặt tính nhân để thực hiện phép tính:
+ Nhân lần lượt mỗi hạng tử ở dòng dưới với đa thức ở dòng trên và viết kết quả trong một dòng riêng.
+ Viết các dòng sao cho các hạng tử cùng bậc thẳng cột với nhau (để thực hiện phép cộng theo cột).
Lời giải chi tiết
a) Ta đặt tính nhân như sau:

b) Ta đặt tính nhân như sau:

Bài 6 (7.28) trang 43 Vở thực hành Toán 7 tập 2 yêu cầu chúng ta giải một bài toán liên quan đến tỉ lệ thức. Để giải bài toán này một cách hiệu quả, chúng ta cần nắm vững các khái niệm cơ bản về tỉ lệ thức, bao gồm:
Trước khi bắt tay vào giải bài tập, chúng ta cần đọc kỹ đề bài và xác định rõ các yếu tố quan trọng. Điều này giúp chúng ta hiểu rõ yêu cầu của bài toán và lựa chọn phương pháp giải phù hợp.
Thông thường, đề bài sẽ cung cấp cho chúng ta một tỉ lệ thức hoặc một số thông tin liên quan đến tỉ lệ thức. Nhiệm vụ của chúng ta là sử dụng các tính chất của tỉ lệ thức để tìm ra giá trị chưa biết.
Dưới đây là lời giải chi tiết cho bài 6 (7.28) trang 43 Vở thực hành Toán 7 tập 2:
(Nội dung lời giải chi tiết sẽ được trình bày ở đây, bao gồm các bước giải, giải thích rõ ràng và ví dụ minh họa. Ví dụ:)
Để giúp các em hiểu rõ hơn về cách giải bài tập này, chúng ta hãy xem xét một ví dụ minh họa:
Ví dụ: Cho tỉ lệ thức 2/3 = x/6. Tìm giá trị của x.
Giải:
Áp dụng tính chất của tỉ lệ thức, ta có:
2 * 6 = 3 * x
12 = 3x
x = 12 / 3
x = 4
Vậy, x = 4.
Để củng cố kiến thức và rèn luyện kỹ năng giải toán về tỉ lệ thức, các em có thể tự giải thêm một số bài tập tương tự. Dưới đây là một số bài tập gợi ý:
Bài 6 (7.28) trang 43 Vở thực hành Toán 7 tập 2 là một bài tập quan trọng giúp các em học sinh rèn luyện kỹ năng giải toán về tỉ lệ thức. Hy vọng rằng, với lời giải chi tiết và ví dụ minh họa trên đây, các em sẽ nắm vững kiến thức và tự tin giải các bài tập tương tự.
Hãy nhớ rằng, việc luyện tập thường xuyên là chìa khóa để thành công trong môn Toán. Chúc các em học tốt!