Chào mừng các em học sinh đến với lời giải chi tiết bài 7.14 trang 33 SGK Toán 7 tập 2 - Kết nối tri thức. Bài học này thuộc chương trình Toán 7, tập trung vào việc vận dụng các kiến thức đã học để giải quyết các bài toán thực tế.
Giaibaitoan.com cung cấp lời giải dễ hiểu, chi tiết, giúp các em nắm vững kiến thức và tự tin hơn trong quá trình học tập.
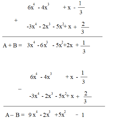
Cho hai đa thức:
Đề bài
Cho hai đa thức:
\(A = 6{x^4} - 4{x^3} + x - \dfrac{1}{3};B = - 3{x^4} - 2{x^3} - 5{x^2} + x + \dfrac{2}{3}\)
Tính A + B và A - B
Phương pháp giải - Xem chi tiết
Cách 1: Bỏ dấu ngoặc rồi nhóm các hạng tử cùng bậc.
Cách 2: Đặt tính cộng (trừ) sao cho các hạng tử cùng bậc đặt thẳng cột với nhau rồi cộng (trừ ) theo từng cột.
Lời giải chi tiết
Cách 1:
\(\begin{array}{l}A + B = (6{x^4} - 4{x^3} + x - \dfrac{1}{3}) + ( - 3{x^4} - 2{x^3} - 5{x^2} + x + \dfrac{2}{3})\\ = 6{x^4} - 4{x^3} + x - \dfrac{1}{3} - 3{x^4} - 2{x^3} - 5{x^2} + x + \dfrac{2}{3}\\ = (6{x^4} - 3{x^4}) + ( - 4{x^3} - 2{x^3}) - 5{x^2} + (x + x) + ( - \dfrac{1}{3} + \dfrac{2}{3})\\ = 3{x^4} - 6{x^3} - 5{x^2} + 2x + \dfrac{1}{3}\\A - B = (6{x^4} - 4{x^3} + x - \dfrac{1}{3}) - ( - 3{x^4} - 2{x^3} - 5{x^2} + x + \dfrac{2}{3})\\ = 6{x^4} - 4{x^3} + x - \dfrac{1}{3} + 3{x^4} + 2{x^3} + 5{x^2} - x - \dfrac{2}{3}\\ = (6{x^4} + 3{x^4}) + ( - 4{x^3} + 2{x^3}) + 5{x^2} + (x - x) + ( - \dfrac{1}{3} - \dfrac{2}{3})\\ = 9{x^4} - 2{x^3} + 5{x^2} - 1\end{array}\)\(\begin{array}{l}A + B = (6{x^4} - 4{x^3} + x - \dfrac{1}{3}) + ( - 3{x^4} - 2{x^3} - 5{x^2} + x + \dfrac{2}{3})\\ = 6{x^4} - 4{x^3} + x - \dfrac{1}{3} - 3{x^4} - 2{x^3} - 5{x^2} + x + \dfrac{2}{3}\\ = (6{x^4} - 3{x^4}) + ( - 4{x^3} - 2{x^3}) - 5{x^2} + (x + x) + ( - \dfrac{1}{3} + \dfrac{2}{3})\\ = 3{x^4} - 6{x^3} - 5{x^2} + 2x + \dfrac{1}{3}\\A - B = (6{x^4} - 4{x^3} + x - \dfrac{1}{3}) - ( - 3{x^4} - 2{x^3} - 5{x^2} + x + \dfrac{2}{3})\\ = 6{x^4} - 4{x^3} + x - \dfrac{1}{3} + 3{x^4} + 2{x^3} + 5{x^2} - x - \dfrac{2}{3}\\ = (6{x^4} + 3{x^4}) + ( - 4{x^3} + 2{x^3}) + 5{x^2} + (x - x) + ( - \dfrac{1}{3} - \dfrac{2}{3})\\ = 9{x^4} - 2{x^3} + 5{x^2} - 1\end{array}\)
Cách 2:

Bài 7.14 trang 33 SGK Toán 7 tập 2 - Kết nối tri thức yêu cầu học sinh vận dụng kiến thức về các góc tạo bởi một đường thẳng cắt hai đường thẳng song song để giải quyết bài toán thực tế. Dưới đây là hướng dẫn chi tiết cách giải bài tập này:
Đề bài thường cho một hình vẽ với hai đường thẳng song song bị cắt bởi một đường thẳng thứ ba. Yêu cầu của bài toán có thể là tìm số đo của một góc khi biết số đo của một góc khác, hoặc chứng minh một tính chất liên quan đến các góc.
Để giải bài 7.14, chúng ta cần xác định các góc so le trong, đồng vị hoặc trong cùng phía. Sau đó, sử dụng các tính chất đã học để tìm số đo của góc cần tìm. Ví dụ:
Giả sử: Cho hình vẽ với hai đường thẳng a và b song song, bị cắt bởi đường thẳng c. Biết góc A1 = 60 độ. Tìm số đo của góc B1.
Giải:
Ngoài bài 7.14, các em có thể gặp các bài tập tương tự với các yêu cầu khác nhau. Ví dụ:
Để nắm vững kiến thức và kỹ năng giải bài tập về các góc tạo bởi một đường thẳng cắt hai đường thẳng song song, các em nên luyện tập thêm các bài tập khác trong SGK và sách bài tập Toán 7 tập 2 - Kết nối tri thức.
Bài 7.14 trang 33 SGK Toán 7 tập 2 - Kết nối tri thức là một bài tập quan trọng giúp các em hiểu rõ hơn về các góc tạo bởi một đường thẳng cắt hai đường thẳng song song và các tính chất liên quan. Hy vọng với hướng dẫn chi tiết này, các em sẽ tự tin hơn trong quá trình học tập và giải bài tập.