Chào mừng các em học sinh đến với lời giải chi tiết bài tập mục 2 trang 32, 33 SGK Toán 7 tập 2 chương trình Kết nối tri thức. Tại giaibaitoan.com, chúng tôi cung cấp đáp án và cách giải bài tập một cách dễ hiểu, giúp các em nắm vững kiến thức và tự tin hơn trong học tập.
Bài tập này thuộc chương trình Toán 7, tập trung vào việc rèn luyện kỹ năng giải toán và áp dụng các kiến thức đã học vào thực tế.
Cho hai đa thức P = x^4 + 3x^3 – 5x^2 + 7x và Q = -x^3 + 4x^2 – 2x +1 Tìm hiệu P – Q bằng cách bỏ dấu ngoặc rồi nhóm các hạng tử cùng bậc và thu gọn.
Cho hai đa thức P = x4 + 3x3 – 5x2 + 7x và Q = -x3 + 4x2 – 2x +1
Tìm hiệu P – Q bằng cách bỏ dấu ngoặc rồi nhóm các hạng tử cùng bậc và thu gọn.
Phương pháp giải:
+ Bước 1: Bỏ dấu ngoặc: Trước dấu ngoặc là dấu “ –“ thì ta bỏ dấu ngoặc đồng thời đổi dấu tất cả các số hạng trong ngoặc.
+Bước 2: Nhóm các hạng tử cùng bậc
+ Bước 3: Thu gọn
Lời giải chi tiết:
Ta có: P – Q = x4 + 3x3 – 5x2 + 7x – (-x3 + 4x2 – 2x +1)
= x4 + 3x3 – 5x2 + 7x + x3 - 4x2 + 2x – 1
= x4 + (3x3+ x3 ) + (– 5x2 - 4x2 ) + (7x + 2x ) – 1
= x4 + 4x3 – 9x2 + 9x – 1
Cho đa thức A = x4 – 3x2 – 2x + 1. Tìm các đa thức B và C sao cho:
A + B = 2x5 + 5x3 – 2
A – C = x3
Phương pháp giải:
B = (A + B) – A
C = A – (A – C)
Thực hiện phép trừ đa thức:
Bỏ dấu ngoặc: Trước dấu ngoặc là dấu “ –“ thì ta bỏ dấu ngoặc đồng thời đổi dấu tất cả các số hạng trong ngoặc rồi nhóm các hạng tử cùng bậc
Lời giải chi tiết:
Ta có:
B = (A + B) – A = 2x5 + 5x3 – 2 – (x4 – 3x2 – 2x + 1)
= 2x5 + 5x3 – 2 – x4 + 3x2 + 2x - 1
= 2x5 – x4 + 5x3 + 3x2 + 2x + (-2 – 1)
= 2x5 – x4 + 5x3 + 3x2 + 2x – 3
C = A – (A – C) = x4 – 3x2 – 2x + 1 – x3
= x4 – x3– 3x2 – 2x + 1
Vậy B = 2x5 – x4 + 5x3 + 3x2 + 2x – 3
C = x4 – x3– 3x2 – 2x + 1
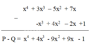
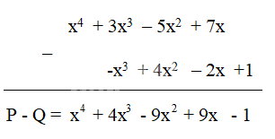
Cho hai đa thức P = x4 + 3x3 – 5x2 + 7x và Q = -x3 + 4x2 – 2x +1
Tìm hiệu P – Q bằng cách đặt tính trừ: đặt đa thức Q dưới đa thức P sao cho các hạng tử cùng bậc thẳng cột với nhau rồi trừ theo từng cột.
Phương pháp giải:
Bước 1: Đặt đa thức Q dưới đa thức P sao cho các hạng tử cùng bậc thẳng cột với nhau
Bước 2: Trừ theo từng cột
Lời giải chi tiết:

2. Trừ hai đa thức một biến
Cho hai đa thức P = x4 + 3x3 – 5x2 + 7x và Q = -x3 + 4x2 – 2x +1
Tìm hiệu P – Q bằng cách bỏ dấu ngoặc rồi nhóm các hạng tử cùng bậc và thu gọn.
Phương pháp giải:
+ Bước 1: Bỏ dấu ngoặc: Trước dấu ngoặc là dấu “ –“ thì ta bỏ dấu ngoặc đồng thời đổi dấu tất cả các số hạng trong ngoặc.
+Bước 2: Nhóm các hạng tử cùng bậc
+ Bước 3: Thu gọn
Lời giải chi tiết:
Ta có: P – Q = x4 + 3x3 – 5x2 + 7x – (-x3 + 4x2 – 2x +1)
= x4 + 3x3 – 5x2 + 7x + x3 - 4x2 + 2x – 1
= x4 + (3x3+ x3 ) + (– 5x2 - 4x2 ) + (7x + 2x ) – 1
= x4 + 4x3 – 9x2 + 9x – 1
Cho hai đa thức P = x4 + 3x3 – 5x2 + 7x và Q = -x3 + 4x2 – 2x +1
Tìm hiệu P – Q bằng cách đặt tính trừ: đặt đa thức Q dưới đa thức P sao cho các hạng tử cùng bậc thẳng cột với nhau rồi trừ theo từng cột.
Phương pháp giải:
Bước 1: Đặt đa thức Q dưới đa thức P sao cho các hạng tử cùng bậc thẳng cột với nhau
Bước 2: Trừ theo từng cột
Lời giải chi tiết:

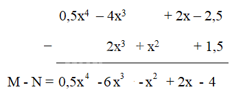
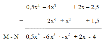
Cho hai đa thức:
M = 0,5x4 – 4x3 + 2x – 2,5 và N = 2x3 + x2 + 1,5
Hãy tính hiệu M - N ( trình bày theo 2 cách)
Phương pháp giải:
Cách 1: Bỏ dấu ngoặc rồi nhóm các hạng tử cùng bậc.
Cách 2: Đặt tính trừ sao cho các hạng tử cùng bậc đặt thẳng cột với nhau rồi trừ theo từng cột.
Lời giải chi tiết:
Cách 1:
M - N = (0,5x4 – 4x3 + 2x – 2,5) - ( 2x3 + x2 + 1,5)
= 0,5x4 – 4x3 + 2x – 2,5 - 2x3 - x2 - 1,5
= 0,5x4 + (– 4x3 - 2x3 ) - x2 + 2x + (-2,5 - 1,5)
= 0,5x4 + (– 6x3 ) - x2 + 2x + (-4)
= 0,5x4 – 6x3 - x2 + 2x – 4
Cách 2:

Cho đa thức A = x4 – 3x2 – 2x + 1. Tìm các đa thức B và C sao cho:
A + B = 2x5 + 5x3 – 2
A – C = x3
Phương pháp giải:
B = (A + B) – A
C = A – (A – C)
Thực hiện phép trừ đa thức:
Bỏ dấu ngoặc: Trước dấu ngoặc là dấu “ –“ thì ta bỏ dấu ngoặc đồng thời đổi dấu tất cả các số hạng trong ngoặc rồi nhóm các hạng tử cùng bậc
Lời giải chi tiết:
Ta có:
B = (A + B) – A = 2x5 + 5x3 – 2 – (x4 – 3x2 – 2x + 1)
= 2x5 + 5x3 – 2 – x4 + 3x2 + 2x - 1
= 2x5 – x4 + 5x3 + 3x2 + 2x + (-2 – 1)
= 2x5 – x4 + 5x3 + 3x2 + 2x – 3
C = A – (A – C) = x4 – 3x2 – 2x + 1 – x3
= x4 – x3– 3x2 – 2x + 1
Vậy B = 2x5 – x4 + 5x3 + 3x2 + 2x – 3
C = x4 – x3– 3x2 – 2x + 1
Cho hai đa thức:
M = 0,5x4 – 4x3 + 2x – 2,5 và N = 2x3 + x2 + 1,5
Hãy tính hiệu M - N ( trình bày theo 2 cách)
Phương pháp giải:
Cách 1: Bỏ dấu ngoặc rồi nhóm các hạng tử cùng bậc.
Cách 2: Đặt tính trừ sao cho các hạng tử cùng bậc đặt thẳng cột với nhau rồi trừ theo từng cột.
Lời giải chi tiết:
Cách 1:
M - N = (0,5x4 – 4x3 + 2x – 2,5) - ( 2x3 + x2 + 1,5)
= 0,5x4 – 4x3 + 2x – 2,5 - 2x3 - x2 - 1,5
= 0,5x4 + (– 4x3 - 2x3 ) - x2 + 2x + (-2,5 - 1,5)
= 0,5x4 + (– 6x3 ) - x2 + 2x + (-4)
= 0,5x4 – 6x3 - x2 + 2x – 4
Cách 2:

Mục 2 trang 32, 33 SGK Toán 7 tập 2 - Kết nối tri thức tập trung vào việc ôn tập và củng cố kiến thức về các phép biến đổi đơn giản với đa thức. Các bài tập trong mục này yêu cầu học sinh vận dụng các quy tắc cộng, trừ, nhân, chia đa thức để giải quyết các bài toán cụ thể. Việc nắm vững các quy tắc này là nền tảng quan trọng để học tốt các kiến thức toán học nâng cao hơn.
Mục 2 bao gồm một số bài tập với mức độ khó tăng dần. Các bài tập đầu tiên thường yêu cầu học sinh thực hiện các phép toán đơn giản với các đa thức đã cho. Sau đó, các bài tập trở nên phức tạp hơn, đòi hỏi học sinh phải phân tích đề bài, xác định các đa thức cần biến đổi và áp dụng các quy tắc một cách linh hoạt.
Bài tập này yêu cầu học sinh thực hiện các phép cộng, trừ, nhân, chia đa thức. Để giải bài tập này, học sinh cần nắm vững các quy tắc sau:
Bài tập này yêu cầu học sinh giải các phương trình chứa đa thức. Để giải bài tập này, học sinh cần nắm vững các quy tắc sau:
Bài tập này yêu cầu học sinh chứng minh một đẳng thức chứa đa thức. Để giải bài tập này, học sinh cần:
Để giải các bài tập trong mục 2 trang 32, 33 SGK Toán 7 tập 2 - Kết nối tri thức một cách hiệu quả, học sinh cần:
Ví dụ 1: Thực hiện phép tính: (2x + 3y) + (x - y)
Giải: (2x + 3y) + (x - y) = 2x + 3y + x - y = (2x + x) + (3y - y) = 3x + 2y
Ví dụ 2: Tìm x biết: 2x + 5 = 11
Giải: 2x + 5 = 11 => 2x = 11 - 5 => 2x = 6 => x = 3
Để củng cố kiến thức và rèn luyện kỹ năng giải bài tập, học sinh có thể tham khảo thêm các bài tập tương tự trong sách bài tập Toán 7 tập 2 - Kết nối tri thức hoặc trên các trang web học toán online.
Mục 2 trang 32, 33 SGK Toán 7 tập 2 - Kết nối tri thức là một phần quan trọng trong chương trình Toán 7. Việc nắm vững kiến thức và kỹ năng giải bài tập trong mục này sẽ giúp học sinh tự tin hơn trong học tập và đạt kết quả tốt trong các kỳ thi.