Bài 1.7 trang 6 SGK Toán 8 là một bài tập quan trọng trong chương trình học Toán 8, giúp học sinh rèn luyện kỹ năng áp dụng các kiến thức đã học vào giải quyết các bài toán thực tế. Giaibaitoan.com xin giới thiệu lời giải chi tiết, dễ hiểu bài tập này.
Chúng tôi cung cấp các bước giải rõ ràng, kèm theo giải thích chi tiết để học sinh có thể tự học và nắm vững kiến thức.
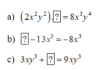
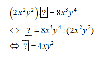
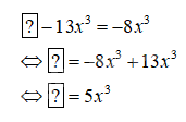
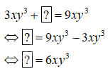
Tìm mỗi đơn thức thích hợp cho mỗi ô:
Đề bài
Tìm mỗi đơn thức thích hợp cho mỗi ô:

Phương pháp giải - Xem chi tiết
Ta thực hiện như tìm \(x\) thông thường.
Sử dụng tính chất phân phối của phép nhân với phép cộng để tìm số thích hợp.
Lời giải chi tiết
a)

b)

c)

Bài 1.7 trang 6 SGK Toán 8 thuộc chương trình đại số lớp 8, thường liên quan đến các phép toán với đa thức hoặc các bài toán về phân tích đa thức thành nhân tử. Để giải bài tập này một cách hiệu quả, học sinh cần nắm vững các kiến thức cơ bản về đa thức, các phép toán cộng, trừ, nhân, chia đa thức, và các phương pháp phân tích đa thức thành nhân tử như đặt nhân tử chung, sử dụng hằng đẳng thức, và phương pháp nhóm.
Đề bài cụ thể của bài 1.7 trang 6 SGK Toán 8 có thể khác nhau tùy theo phiên bản sách. Tuy nhiên, thường sẽ yêu cầu học sinh thực hiện một trong các nhiệm vụ sau:
Để giải quyết các bài tập về đa thức, học sinh có thể áp dụng các phương pháp sau:
Giả sử đề bài Bài 1.7 trang 6 SGK Toán 8 là: "Phân tích đa thức sau thành nhân tử: x2 - 4x + 4"
Lời giải:
Ta nhận thấy đa thức x2 - 4x + 4 có dạng của một hằng đẳng thức: (a - b)2 = a2 - 2ab + b2. Trong trường hợp này, a = x và b = 2.
Vậy, x2 - 4x + 4 = (x - 2)2
Để củng cố kiến thức và kỹ năng giải bài tập về đa thức, học sinh nên luyện tập thêm các bài tập tương tự. Dưới đây là một số bài tập gợi ý:
Khi giải bài tập về đa thức, học sinh cần lưu ý những điều sau:
Bài 1.7 trang 6 SGK Toán 8 là một bài tập quan trọng giúp học sinh rèn luyện kỹ năng giải bài tập về đa thức. Bằng cách nắm vững các kiến thức cơ bản và áp dụng các phương pháp giải phù hợp, học sinh có thể giải quyết bài tập này một cách dễ dàng và hiệu quả. Giaibaitoan.com hy vọng rằng với lời giải chi tiết và hướng dẫn cụ thể này, các em học sinh sẽ tự tin hơn trong việc học tập môn Toán 8.