Chào mừng bạn đến với giaibaitoan.com, nơi cung cấp lời giải chi tiết và dễ hiểu cho các bài tập Toán 9 tập 2 Kết nối tri thức. Chúng tôi hiểu rằng việc giải toán đôi khi có thể gặp khó khăn, vì vậy chúng tôi luôn cố gắng cung cấp những giải pháp tốt nhất để giúp bạn học tập hiệu quả.
Trang 114 SGK Toán 9 tập 2 chứa những bài tập quan trọng, đòi hỏi học sinh phải nắm vững kiến thức về các chủ đề đã học. Bài viết này sẽ cung cấp đáp án và cách giải chi tiết cho từng bài tập, giúp bạn tự tin hơn trong quá trình học tập.
Sử dụng phần mềm GeoGebra thực hiện các yêu cầu sau:
Video hướng dẫn giải
Trả lời câu hỏi Thực hành 1 trang 114SGK Toán 9 Kết nối tri thức
Giải các phương trình sau:
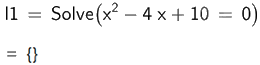
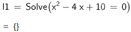
a) \({x^2} - 4x + 10 = 0\);
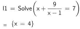
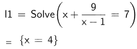
b) \(x + \frac{9}{{x - 1}} = 7\);
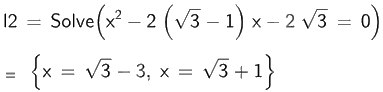
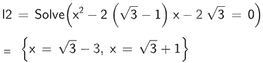
c) \({x^2} - 2\left( {\sqrt 3 - 1} \right)x - 2\sqrt 3 = 0\);
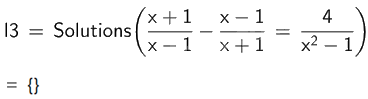
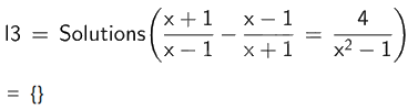
d) \(\frac{{x + 1}}{{x - 1}} - \frac{{x - 1}}{{x + 1}} = \frac{4}{{{x^2} - 1}}\).
Phương pháp giải:
+ Để giải phương trình nói chung, ta dùng lệnh Solve (<phương trình>) hoặc Solutions (<phương trình>) trên ô lệnh của cửa sổ CAS kết quả sẽ hiển thị ngay bên dưới.
+ Nghiệm của phương trình được biểu diễn dưới dạng tập hợp. Chú ý, kí hiệu {} thể hiện phương trình vô nghiệm.
Lời giải chi tiết:
a)

Vậy phương trình \({x^2} - 4x + 10 = 0\) vô nghiệm.
b)

Vậy phương trình \(x + \frac{9}{{x - 1}} = 7\) có nghiệm \(x = 4\).
c)

Vậy phương trình \({x^2} - 2\left( {\sqrt 3 - 1} \right)x - 2\sqrt 3 = 0\) có nghiệm \(x = \sqrt 3 - 3;x = \sqrt 3 + 1\).
d)

Vậy phương trình \(\frac{{x + 1}}{{x - 1}} - \frac{{x - 1}}{{x + 1}} = \frac{4}{{{x^2} - 1}}\) vô nghiệm.
Video hướng dẫn giải
Trả lời câu hỏi Thực hành 3 trang 114 SGK Toán 9 Kết nối tri thức
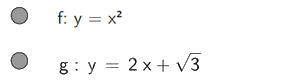
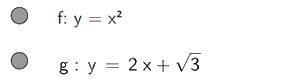
Cho đường thẳng \(\left( d \right):y = 2x + \sqrt 3 \) và parabol \(\left( P \right):y = {x^2}\).
a) Vẽ đường thẳng (d) và parabol (P) trên cùng một mặt phẳng tọa độ.
b) Tìm tọa độ giao điểm của (d) và (P).
Phương pháp giải:
- Khởi động GeoGebra và chọn đồng thời hai chế độ Graphic 2 và CAS để vẽ đồ thị của hàm số \(y = a{x^2}\left( {a \ne 0} \right)\) và hàm số bậc nhất \(y = ax + b\left( {a \ne 0} \right)\)
+ Nhập công thức hàm số \(y = a{x^2}\) và \(y = ax + b\) vào từng ô lệnh trong cửa sổ CAS.
+ Nháy chuột chọn nút
ở đầu mỗi ô lệnh để vẽ đồ thị hàm số trong cửa sổ Graphic 2.
- Sử dụng câu lệnh Intersect ({<phương trình thứ nhất>, (<phương trình thứ hai>}) trên ô lệnh của cửa sổ CAS để tìm tọa độ giao điểm của hai đường thẳng có phương trình tương ứng.
Lời giải chi tiết:
a) Nhập

Ta được đồ thị

b)

Video hướng dẫn giải
Trả lời câu hỏi Thực hành 2 trang 114SGK Toán 9 Kết nối tri thức
Giải các hệ phương trình sau:
a) \(\left\{ \begin{array}{l}3x - 2y = 4\\2x + y = 5\end{array} \right.\);
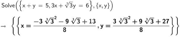
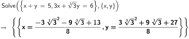
b) \(\left\{ \begin{array}{l}x + y = 5\\3x + \sqrt[3]{3}y = 6\end{array} \right.\);
c) \(\left\{ \begin{array}{l}3x + 2y = 0\\2x - 3y = 0\end{array} \right.\);
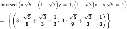
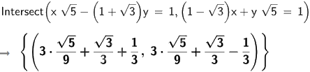
d) \(\left\{ \begin{array}{l}x\sqrt 5 - \left( {1 + \sqrt 3 } \right)y = 1\\\left( {1 - \sqrt 3 } \right)x + y\sqrt 5 = 1\end{array} \right.\).
Phương pháp giải:
Cách 1: Sử dụng câu lệnh Solve ({<phương trình thứ nhất>, (<phương trình thứ hai>}, {<biến số thứ nhất>, (<biến số thứ hai>}) hoặc Solutions ({<phương trình thứ nhất>, (<phương trình thứ hai>}, {<biến số thứ nhất>, (<biến số thứ hai>}) trên ô lệnh của cửa sổ CAS kết quả sẽ hiển thị ngay bên dưới.
Cách 2: Sử dụng câu lệnh Intersect ({<phương trình thứ nhất>, (<phương trình thứ hai>}) trên ô lệnh của cửa sổ CAS để tìm tọa độ giao điểm của hai đường thẳng có phương trình tương ứng.
Lời giải chi tiết:
a)

Vậy hệ phương trình \(\left\{ \begin{array}{l}3x - 2y = 4\\2x + y = 5\end{array} \right.\) có nghiệm \(x = 2;y = 1\).
b)

Vậy hệ phương trình \(\left\{ \begin{array}{l}x + y = 5\\3x + \sqrt[3]{3}y = 6\end{array} \right.\) có nghiệm \(x = \frac{{ - 3{{\sqrt[3]{3}}^2} - 9\sqrt[3]{3} + 13}}{8};y = \frac{{3{{\sqrt[3]{3}}^2} + 9\sqrt[3]{3} + 27}}{8}\).
c)

Vậy hệ phương trình \(\left\{ \begin{array}{l}3x + 2y = 0\\2x - 3y = 0\end{array} \right.\) có nghiệm \(x = 0;y = 0\).
d)

Vậy hệ phương trình \(\left\{ \begin{array}{l}x\sqrt 5 - \left( {1 + \sqrt 3 } \right)y = 1\\\left( {1 - \sqrt 3 } \right)x + y\sqrt 5 = 1\end{array} \right.\) có nghiệm \(x = \frac{{\sqrt 5 }}{3} + \frac{{\sqrt 3 }}{3} + \frac{1}{3};y = \frac{{\sqrt 5 }}{3} + \frac{{\sqrt 3 }}{3} - \frac{1}{3}\).
Sử dụng phần mềm GeoGebra thực hiện các yêu cầu sau:
Video hướng dẫn giải
Trả lời câu hỏi Thực hành 1 trang 114SGK Toán 9 Kết nối tri thức
Giải các phương trình sau:
a) \({x^2} - 4x + 10 = 0\);
b) \(x + \frac{9}{{x - 1}} = 7\);
c) \({x^2} - 2\left( {\sqrt 3 - 1} \right)x - 2\sqrt 3 = 0\);
d) \(\frac{{x + 1}}{{x - 1}} - \frac{{x - 1}}{{x + 1}} = \frac{4}{{{x^2} - 1}}\).
Phương pháp giải:
+ Để giải phương trình nói chung, ta dùng lệnh Solve (<phương trình>) hoặc Solutions (<phương trình>) trên ô lệnh của cửa sổ CAS kết quả sẽ hiển thị ngay bên dưới.
+ Nghiệm của phương trình được biểu diễn dưới dạng tập hợp. Chú ý, kí hiệu {} thể hiện phương trình vô nghiệm.
Lời giải chi tiết:
a)

Vậy phương trình \({x^2} - 4x + 10 = 0\) vô nghiệm.
b)

Vậy phương trình \(x + \frac{9}{{x - 1}} = 7\) có nghiệm \(x = 4\).
c)

Vậy phương trình \({x^2} - 2\left( {\sqrt 3 - 1} \right)x - 2\sqrt 3 = 0\) có nghiệm \(x = \sqrt 3 - 3;x = \sqrt 3 + 1\).
d)

Vậy phương trình \(\frac{{x + 1}}{{x - 1}} - \frac{{x - 1}}{{x + 1}} = \frac{4}{{{x^2} - 1}}\) vô nghiệm.
Video hướng dẫn giải
Trả lời câu hỏi Thực hành 2 trang 114SGK Toán 9 Kết nối tri thức
Giải các hệ phương trình sau:
a) \(\left\{ \begin{array}{l}3x - 2y = 4\\2x + y = 5\end{array} \right.\);
b) \(\left\{ \begin{array}{l}x + y = 5\\3x + \sqrt[3]{3}y = 6\end{array} \right.\);
c) \(\left\{ \begin{array}{l}3x + 2y = 0\\2x - 3y = 0\end{array} \right.\);
d) \(\left\{ \begin{array}{l}x\sqrt 5 - \left( {1 + \sqrt 3 } \right)y = 1\\\left( {1 - \sqrt 3 } \right)x + y\sqrt 5 = 1\end{array} \right.\).
Phương pháp giải:
Cách 1: Sử dụng câu lệnh Solve ({<phương trình thứ nhất>, (<phương trình thứ hai>}, {<biến số thứ nhất>, (<biến số thứ hai>}) hoặc Solutions ({<phương trình thứ nhất>, (<phương trình thứ hai>}, {<biến số thứ nhất>, (<biến số thứ hai>}) trên ô lệnh của cửa sổ CAS kết quả sẽ hiển thị ngay bên dưới.
Cách 2: Sử dụng câu lệnh Intersect ({<phương trình thứ nhất>, (<phương trình thứ hai>}) trên ô lệnh của cửa sổ CAS để tìm tọa độ giao điểm của hai đường thẳng có phương trình tương ứng.
Lời giải chi tiết:
a)

Vậy hệ phương trình \(\left\{ \begin{array}{l}3x - 2y = 4\\2x + y = 5\end{array} \right.\) có nghiệm \(x = 2;y = 1\).
b)

Vậy hệ phương trình \(\left\{ \begin{array}{l}x + y = 5\\3x + \sqrt[3]{3}y = 6\end{array} \right.\) có nghiệm \(x = \frac{{ - 3{{\sqrt[3]{3}}^2} - 9\sqrt[3]{3} + 13}}{8};y = \frac{{3{{\sqrt[3]{3}}^2} + 9\sqrt[3]{3} + 27}}{8}\).
c)

Vậy hệ phương trình \(\left\{ \begin{array}{l}3x + 2y = 0\\2x - 3y = 0\end{array} \right.\) có nghiệm \(x = 0;y = 0\).
d)

Vậy hệ phương trình \(\left\{ \begin{array}{l}x\sqrt 5 - \left( {1 + \sqrt 3 } \right)y = 1\\\left( {1 - \sqrt 3 } \right)x + y\sqrt 5 = 1\end{array} \right.\) có nghiệm \(x = \frac{{\sqrt 5 }}{3} + \frac{{\sqrt 3 }}{3} + \frac{1}{3};y = \frac{{\sqrt 5 }}{3} + \frac{{\sqrt 3 }}{3} - \frac{1}{3}\).
Video hướng dẫn giải
Trả lời câu hỏi Thực hành 3 trang 114 SGK Toán 9 Kết nối tri thức
Cho đường thẳng \(\left( d \right):y = 2x + \sqrt 3 \) và parabol \(\left( P \right):y = {x^2}\).
a) Vẽ đường thẳng (d) và parabol (P) trên cùng một mặt phẳng tọa độ.
b) Tìm tọa độ giao điểm của (d) và (P).
Phương pháp giải:
- Khởi động GeoGebra và chọn đồng thời hai chế độ Graphic 2 và CAS để vẽ đồ thị của hàm số \(y = a{x^2}\left( {a \ne 0} \right)\) và hàm số bậc nhất \(y = ax + b\left( {a \ne 0} \right)\)
+ Nhập công thức hàm số \(y = a{x^2}\) và \(y = ax + b\) vào từng ô lệnh trong cửa sổ CAS.
+ Nháy chuột chọn nút
ở đầu mỗi ô lệnh để vẽ đồ thị hàm số trong cửa sổ Graphic 2.
- Sử dụng câu lệnh Intersect ({<phương trình thứ nhất>, (<phương trình thứ hai>}) trên ô lệnh của cửa sổ CAS để tìm tọa độ giao điểm của hai đường thẳng có phương trình tương ứng.
Lời giải chi tiết:
a) Nhập

Ta được đồ thị

b)

Trang 114 SGK Toán 9 tập 2 - Kết nối tri thức tập trung vào việc ôn tập chương IV: Hệ phương trình bậc hai hai ẩn. Các bài tập trên trang này thường yêu cầu học sinh vận dụng các kiến thức đã học để giải quyết các bài toán thực tế, cũng như các bài toán đại số phức tạp hơn. Việc nắm vững phương pháp giải hệ phương trình bậc hai hai ẩn là yếu tố then chốt để hoàn thành tốt các bài tập này.
Chúng ta sẽ đi vào giải chi tiết từng bài tập trên trang 114 SGK Toán 9 tập 2 - Kết nối tri thức:
Bài 4.1 yêu cầu học sinh giải các hệ phương trình bậc hai hai ẩn bằng phương pháp cộng đại số hoặc phương pháp thế. Để giải bài này, bạn cần xác định hệ số của x và y trong mỗi phương trình, sau đó lựa chọn phương pháp phù hợp để khử một ẩn và tìm ra giá trị của ẩn còn lại.
Ví dụ:
| Hệ phương trình | Lời giải |
|---|---|
2x + y = 5 x - y = 1 | Cộng hai phương trình, ta được: 3x = 6 => x = 2 Thay x = 2 vào phương trình x - y = 1, ta được: 2 - y = 1 => y = 1 Vậy nghiệm của hệ phương trình là (x; y) = (2; 1) |
Bài 4.2 thường liên quan đến việc giải bài toán bằng cách lập hệ phương trình. Để giải bài toán này, bạn cần xác định các đại lượng cần tìm, đặt ẩn cho chúng, và thiết lập các phương trình dựa trên các mối quan hệ được cho trong bài toán.
Ví dụ:
Một người đi xe máy từ A đến B với vận tốc 40km/h. Sau khi đi được 1 giờ, người đó tăng vận tốc lên 50km/h và đến B muộn hơn 30 phút so với dự kiến. Tính quãng đường AB.
Giải:
Vậy quãng đường AB là 200km.
Bài 4.3 có thể là một bài tập tổng hợp, yêu cầu học sinh vận dụng nhiều kiến thức khác nhau để giải quyết. Hãy đọc kỹ đề bài, phân tích các thông tin được cho, và lựa chọn phương pháp giải phù hợp.
Hy vọng rằng với những giải thích chi tiết và hướng dẫn cụ thể trên đây, bạn đã có thể tự tin giải quyết các bài tập trang 114 SGK Toán 9 tập 2 - Kết nối tri thức. Hãy nhớ rằng, việc học toán đòi hỏi sự kiên trì và luyện tập thường xuyên. Chúc bạn học tập tốt!