Chào mừng bạn đến với bài học lý thuyết về phương trình, bất phương trình mũ và lôgarit dành cho học sinh lớp 11 chương trình Chân trời sáng tạo. Đây là một trong những chủ đề quan trọng của môn Toán, đòi hỏi sự nắm vững kiến thức nền tảng và kỹ năng giải quyết vấn đề.
Tại giaibaitoan.com, chúng tôi cung cấp tài liệu học tập đầy đủ, chi tiết, giúp bạn hiểu rõ các khái niệm, định lý và phương pháp giải bài tập liên quan đến phương trình, bất phương trình mũ và lôgarit.
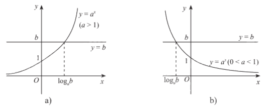
1. Phương trình mũ cơ bản Phương trình mũ cơ bản có dạng \({a^x} = b\)(với \(a > 0,a \ne 1\)).
1. Phương trình mũ cơ bản
Phương trình mũ cơ bản có dạng \({a^x} = b\)(với \(a > 0,a \ne 1\)).
- Nếu b > 0 thì phương trình có nghiệm duy nhất \(x = {\log _a}b\).
- Nếu b \( \le \) 0 thì phương trình vô nghiệm.
Chú ý: Với \(a > 0,a \ne 1\)
a) \({a^x} = {a^\alpha } \Leftrightarrow x = \alpha \).
b) Tổng quát hơn, \({a^{u\left( x \right)}} = {a^{v\left( x \right)}} \Leftrightarrow u\left( x \right) = v\left( x \right)\)
Minh họa bằng đồ thị:

2. Phương trình lôgarit cơ bản
Phương trình lôgarit cơ bản có dạng \({\log _a}x = b\left( {a > 0,a \ne 1} \right)\).
Phương trình luôn có nghiệm duy nhất \(x = {a^b}\).
Chú ý: Với \(a > 0,a \ne 1\)
a) \({\log _a}u\left( x \right) = b \Leftrightarrow u\left( x \right) = {a^b}\).
b) \({\log _a}u\left( x \right) = {\log _a}v\left( x \right) \Leftrightarrow \left\{ \begin{array}{l}u\left( x \right) > 0\\u\left( x \right) = v\left( x \right)\end{array} \right.\).
Có thể thay \(u\left( x \right) > 0\) bằng \(v\left( x \right) > 0\) (chọn bất phương trình đơn giản hơn)
Minh họa bằng đồ thị:

3. Bất phương trình mũ cơ bản
Bất phương trình mũ cơ bản có dạng \({a^x} > b\) (hoặc \({a^x} \ge b,{a^x} < b,{a^x} \le b\)) với \(a > 0,a \ne 1\).
Bảng tổng kết về nghiệm của các bất phương trình trên:

Chú ý:
Nếu a > 1 thì \({a^{u\left( x \right)}} = {a^{v\left( x \right)}} \Leftrightarrow u\left( x \right) > v\left( x \right)\).
Nếu 0 < a < 1 thì \({a^{u\left( x \right)}} > {a^{v\left( x \right)}} \Leftrightarrow u\left( x \right) < v\left( x \right)\).
4. Bất phương trình lôgarit cơ bản
Bất phương trình lôgarit cơ bản có dạng \({\log _a}x > b\)(hoặc \({\log _a}x \ge b,{\log _a}x < b,{\log _a}x \le b\)) với \(a > 0,a \ne 1\).
Bảng tổng kết về nghiệm của các bất phương trình trên:

Chú ý:
Nếu a > 1 thì \({\log _a}u\left( x \right) > {\log _a}v\left( x \right) \Leftrightarrow \left\{ \begin{array}{l}v\left( x \right) > 0\\u\left( x \right) > v\left( x \right)\end{array} \right.\).
Nếu 0 < a < 1 thì \({\log _a}u\left( x \right) > {\log _a}v\left( x \right) \Leftrightarrow \left\{ \begin{array}{l}u\left( x \right) > 0\\u\left( x \right) < v\left( x \right)\end{array} \right.\).

Chương trình Toán 11 Chân trời sáng tạo đi sâu vào các khái niệm về hàm số mũ, hàm số lôgarit, phương trình mũ, phương trình lôgarit, bất phương trình mũ và bất phương trình lôgarit. Việc nắm vững lý thuyết là nền tảng để giải quyết các bài toán thực tế và chuẩn bị cho các kỳ thi quan trọng.
1. Hàm số mũ: Hàm số mũ có dạng y = ax (a > 0 và a ≠ 1). Các tính chất quan trọng của hàm số mũ bao gồm tính đơn điệu (đồng biến hoặc nghịch biến tùy thuộc vào giá trị của a) và giới hạn khi x tiến tới vô cùng.
2. Hàm số lôgarit: Hàm số lôgarit có dạng y = logax (a > 0 và a ≠ 1). Hàm số lôgarit là hàm số nghịch đảo của hàm số mũ. Các tính chất quan trọng của hàm số lôgarit bao gồm tính đơn điệu và giới hạn khi x tiến tới vô cùng.
1. Định nghĩa: Phương trình mũ là phương trình có chứa ẩn số trong số mũ.
2. Phương pháp giải: Các phương pháp giải phương trình mũ thường được sử dụng bao gồm:
1. Định nghĩa: Phương trình lôgarit là phương trình có chứa ẩn số trong biểu thức lôgarit.
2. Phương pháp giải: Các phương pháp giải phương trình lôgarit thường được sử dụng bao gồm:
1. Bất phương trình mũ: Bất phương trình mũ là bất phương trình có chứa ẩn số trong số mũ.
2. Bất phương trình lôgarit: Bất phương trình lôgarit là bất phương trình có chứa ẩn số trong biểu thức lôgarit.
3. Phương pháp giải: Việc giải bất phương trình mũ và bất phương trình lôgarit tương tự như giải phương trình, nhưng cần chú ý đến việc đổi dấu bất phương trình khi lấy lôgarit với cơ số nhỏ hơn 1.
Ví dụ 1: Giải phương trình 2x = 8
Ta có 2x = 23, suy ra x = 3.
Ví dụ 2: Giải phương trình log2(x + 1) = 3
Ta có x + 1 = 23 = 8, suy ra x = 7.
Để nắm vững kiến thức về phương trình, bất phương trình mũ và lôgarit, bạn nên luyện tập thường xuyên với các bài tập khác nhau. Giaibaitoan.com cung cấp một hệ thống bài tập đa dạng, từ cơ bản đến nâng cao, giúp bạn củng cố kiến thức và rèn luyện kỹ năng giải toán.
Hy vọng rằng bài học này đã cung cấp cho bạn những kiến thức cơ bản và hữu ích về lý thuyết phương trình, bất phương trình mũ và lôgarit - Toán 11 Chân trời sáng tạo. Chúc bạn học tập tốt!