Bài toán này thường yêu cầu học sinh vận dụng kiến thức về hàm số, đạo hàm, hoặc các khái niệm khác đã học để tìm ra lời giải chính xác.
Tại giaibaitoan.com, chúng tôi cung cấp lời giải chi tiết, dễ hiểu, giúp bạn nắm vững kiến thức và tự tin giải các bài toán tương tự.
Tính các giới hạn sau :
\(\lim \sqrt {3{n^4} - 10n + 12} \)
Lời giải chi tiết:
\(\lim \sqrt {3{n^4} - 10n + 12} \) \(= \lim {n^2}.\sqrt {3 - {{10} \over {{n^3}}} + {{12} \over {{n^4}}}} \) \(= + \infty \)
Vì
\(\left\{ \begin{array}{l}\lim {n^2} = + \infty \\\lim \sqrt {3 - \frac{{10}}{{{n^3}}} + \frac{{12}}{{{n^4}}}} = \sqrt 3 > 0\end{array} \right.\)
\(\lim \left( {{{2.3}^n} - {{5.4}^n}} \right)\)
Lời giải chi tiết:
\(\lim \left( {{{2.3}^n} - {{5.4}^n}} \right) \) \(= \lim {4^n}\left[ {2{{\left( {{3 \over 4}} \right)}^n} - 5} \right] = - \infty \)
Vì
\(\left\{ \begin{array}{l}\lim {4^n} = + \infty \\\lim \left( {2.{{\left( {\frac{3}{4}} \right)}^n} - 5} \right) = - 5 < 0\end{array} \right.\)
\(\lim \left( {\sqrt {{n^4} + {n^2} + 1} - {n^2}} \right)\)
Lời giải chi tiết:
\(\eqalign{ & \lim \left( {\sqrt {{n^4} + {n^2} + 1} - {n^2}} \right) \cr& = \lim \frac{{\left( {\sqrt {{n^4} + {n^2} + 1} - {n^2}} \right)\left( {\sqrt {{n^4} + {n^2} + 1} + {n^2}} \right)}}{{\sqrt {{n^4} + {n^2} + 1} + {n^2}}} \cr &= \lim \frac{{{n^4} + {n^2} + 1 - {n^4}}}{{\sqrt {{n^4} + {n^2} + 1} + {n^2}}}\cr &= \lim {{{n^2} + 1} \over {\sqrt {{n^4} + {n^2} + 1} + {n^2}}} \cr & = \lim \frac{{{n^2} + 1}}{{\sqrt {{n^4}\left( {1 + \frac{1}{{{n^2}}} + \frac{1}{{{n^4}}}} \right)} + {n^2}}} \cr & = \lim \frac{{{n^2}\left( {1 + \frac{1}{{{n^2}}}} \right)}}{{{n^2}\sqrt {1 + \frac{1}{{{n^2}}} + \frac{1}{{{n^4}}}} + {n^2}}} \cr & = \lim \frac{{{n^2}\left( {1 + \frac{1}{{{n^2}}}} \right)}}{{{n^2}\left( {\sqrt {1 + \frac{1}{{{n^2}}} + \frac{1}{{{n^4}}}} + 1} \right)}}\cr & = \lim {{1 + {1 \over {{n^2}}}} \over {\sqrt {1 + {1 \over {{n^2}}} + {1 \over {{n^4}}}} + 1}} \cr & = \frac{{1 + 0}}{{\sqrt {1 + 0 + 0} + 1}}= {1 \over 2} \cr} \)
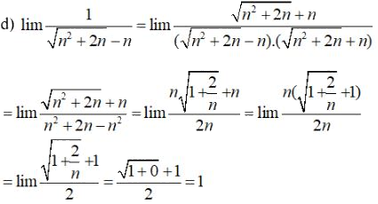
\(\lim {1 \over {\sqrt {{n^2} + 2n} - n}}\)
Lời giải chi tiết:

Bài toán Câu 17 trang 226 trong sách giáo khoa Đại số và Giải tích 11 Nâng cao thường thuộc vào các chủ đề về đạo hàm, ứng dụng đạo hàm để khảo sát hàm số, hoặc các bài toán liên quan đến giới hạn. Để giải quyết bài toán này một cách hiệu quả, học sinh cần nắm vững các kiến thức cơ bản và kỹ năng giải toán liên quan.
Trước khi đi vào giải chi tiết, chúng ta cần ôn lại một số kiến thức lý thuyết quan trọng:
Để giải quyết bài toán này, bước đầu tiên là đọc kỹ đề bài, xác định rõ yêu cầu của bài toán. Thông thường, đề bài sẽ yêu cầu chúng ta:
Sau khi xác định rõ yêu cầu, chúng ta cần phân tích các dữ kiện đã cho trong đề bài để tìm ra hướng giải quyết phù hợp.
(Ở đây sẽ là lời giải chi tiết của bài toán, bao gồm các bước giải, giải thích rõ ràng từng bước, và kết luận. Ví dụ, nếu bài toán yêu cầu tìm cực trị của hàm số f(x), lời giải sẽ bao gồm các bước sau:)
Để giúp bạn hiểu rõ hơn về cách giải bài toán, chúng ta sẽ xem xét một ví dụ minh họa:
Ví dụ: Tìm cực trị của hàm số f(x) = x3 - 3x2 + 2.
Lời giải:
| x | -∞ | 0 | 2 | +∞ |
|---|---|---|---|---|
| f'(x) | + | - | + | |
| f(x) | Đồng biến | Nghịch biến | Đồng biến |
Vậy hàm số f(x) đạt cực đại tại x = 0, f(0) = 2 và đạt cực tiểu tại x = 2, f(2) = -2.
Để củng cố kiến thức và kỹ năng giải toán, bạn nên luyện tập thêm với các bài toán tương tự. Bạn có thể tìm thấy các bài toán này trong sách giáo khoa, sách bài tập, hoặc trên các trang web học toán online.
Câu 17 trang 226 SGK Đại số và Giải tích 11 Nâng cao là một bài toán quan trọng, giúp bạn rèn luyện kỹ năng giải toán và hiểu sâu hơn về các khái niệm toán học. Hy vọng với lời giải chi tiết và ví dụ minh họa trên, bạn đã nắm vững cách giải bài toán này và tự tin giải các bài toán tương tự.